Главная Случайная страница


Полезное:

Как сделать разговор полезным и приятным Как сделать объемную звезду своими руками Как сделать то, что делать не хочется? Как сделать погремушку Как сделать так чтобы женщины сами знакомились с вами Как сделать идею коммерческой Как сделать хорошую растяжку ног? Как сделать наш разум здоровым? Как сделать, чтобы люди обманывали меньше Вопрос 4. Как сделать так, чтобы вас уважали и ценили? Как сделать лучше себе и другим людям Как сделать свидание интересным?


Категории:

АрхитектураАстрономияБиологияГеографияГеологияИнформатикаИскусствоИсторияКулинарияКультураМаркетингМатематикаМедицинаМенеджментОхрана трудаПравоПроизводствоПсихологияРелигияСоциологияСпортТехникаФизикаФилософияХимияЭкологияЭкономикаЭлектроника






Тригонометрическое нивелирование





Тригонометрическое нивелирование – определение превышения между точками с помощью наклонного визирного луча (рис. 73).

В точке А устанавливают теодолит, в точке В – рейку. Рулеткой или рейкой измеряют высоту теодолита. Используя вертикальный круг теодолита, определяют угол наклона визирной оси трубы ν при её наведении на какую-либо точку рейки. Расстояние от этой точки до пятки рейки называется высотой визирования l. Длину линии АВ измеряют лентой или дальномером.

Рис. 73. Тригонометрическое нивелирование.

Из рис. 73 имеем:

h + l = h΄ + V,

h = h΄ + V – l,

т.к. h΄ = S∙tgν,

то

h = S∙tgν + V – l.

Если зрительную трубу наводить на рейке на высоту теодолита, то V = l и превышение вычисляют по формуле

h = S∙tgν.

Если расстояние измерялось лентой, то горизонтальное проложение линии АВ равно S = D∙cosν.

Тригонометрическое нивелирование становится очень производительным, когда расстояния измеряются дальномером.

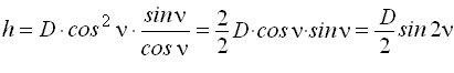
В случае использования нитяного дальномера S = D∙cos 2 ν, тогда

.

Теодолит, снабженный вертикальным кругом и нитяным дальномером называется тахеометром, а совокупность геодезических измерений для определения планового и высотного положения точек, называется тахеометрической съемкой.

 







Date: 2015-09-19; view: 806; Нарушение авторских прав



mydocx.ru - 2015-2026 year. (0.894 sec.) Все материалы представленные на сайте исключительно с целью ознакомления читателями и не преследуют коммерческих целей или нарушение авторских прав - Пожаловаться на публикацию