Главная Случайная страница


Полезное:

Как сделать разговор полезным и приятным Как сделать объемную звезду своими руками Как сделать то, что делать не хочется? Как сделать погремушку Как сделать так чтобы женщины сами знакомились с вами Как сделать идею коммерческой Как сделать хорошую растяжку ног? Как сделать наш разум здоровым? Как сделать, чтобы люди обманывали меньше Вопрос 4. Как сделать так, чтобы вас уважали и ценили? Как сделать лучше себе и другим людям Как сделать свидание интересным?


Категории:

АрхитектураАстрономияБиологияГеографияГеологияИнформатикаИскусствоИсторияКулинарияКультураМаркетингМатематикаМедицинаМенеджментОхрана трудаПравоПроизводствоПсихологияРелигияСоциологияСпортТехникаФизикаФилософияХимияЭкологияЭкономикаЭлектроника






Компарирование мерных лент и рулеток





Мерные ленты и рулетки перед измерением ими линий должны быть проверены. Данная проверка называется компарированием и состоит в установлении действительной длины мерного прибора путем его сравнения с образцовым прибором, длина которого точно известна.

Для компарирования штриховых лент за образцовый мерный прибор принимают одну из лент, имеющихся на производстве, длину которой выверяют в лаборатории Государственного надзора за стандартами и измерительной техникой Государственного комитета стандартов РФ и пользуются ею при сравнении с рабочими лентами. Компарирование шкаловых лент производят на специальных приборах, называемых стационарными компараторами.

Простейший способ компарирования штриховых лент состоит в следующем. На горизонтальной поверхности, например, на полу, укладывают образцовую ленту. Рядом с ней кладут проверяемую ленту так, чтобы их края касались друг друга, а нулевые штрихи совмещались. Жестко закрепив концы с нулевыми штрихами, ленты натягивают с одинаковой силой и измеряют миллиметровой линейкой величину несовпадения конечных штрихов на других концах лент. Данная величина показывает на сколько миллиметров рабочая лента короче или длиннее образцовой и называется поправкой за компарирование Δℓ.

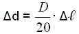
Длина проверяемой 20-метровой ленты не должна отличаться от длины образцовой ленты более чем на ±2 мм. В противном случае в результаты измерения линий вводят поправки. При этом, выполняя измерения линий рабочей лентой, полагают, что её длина равняется 20 м. Поправки определяют по формуле

где D – длина измеренной линии.

Поправку вычитают из результатов измерения, когда рабочая лента короче образцовой, и прибавляют, когда она длиннее.







Date: 2015-09-19; view: 993; Нарушение авторских прав



mydocx.ru - 2015-2026 year. (1.246 sec.) Все материалы представленные на сайте исключительно с целью ознакомления читателями и не преследуют коммерческих целей или нарушение авторских прав - Пожаловаться на публикацию