Главная Случайная страница


Полезное:

Как сделать разговор полезным и приятным Как сделать объемную звезду своими руками Как сделать то, что делать не хочется? Как сделать погремушку Как сделать так чтобы женщины сами знакомились с вами Как сделать идею коммерческой Как сделать хорошую растяжку ног? Как сделать наш разум здоровым? Как сделать, чтобы люди обманывали меньше Вопрос 4. Как сделать так, чтобы вас уважали и ценили? Как сделать лучше себе и другим людям Как сделать свидание интересным?


Категории:

АрхитектураАстрономияБиологияГеографияГеологияИнформатикаИскусствоИсторияКулинарияКультураМаркетингМатематикаМедицинаМенеджментОхрана трудаПравоПроизводствоПсихологияРелигияСоциологияСпортТехникаФизикаФилософияХимияЭкологияЭкономикаЭлектроника






Глава 4. ОРИЕНТИРОВАНИЕ ОПРЕДЕЛЕНИЕ КООРДИНАТ ОБНАРУЖЕННЫХ ОБЪЕКТОВ. ЦЕЛЕУКАЗАНИЕ





 

1. Ориентирование на местности без карты

 

Умение ориентироваться на местности, точно определять и докладывать о местоположении цели – важнейшие условия успешного выполнения разведывательных задач. Очень важно для разведчика найти и обнаружить противника, но если он не сумеет определить, где находится обнаруженный им противник, и доложить об этом, то все его усилия окажутся напрасными.

Широко распространенное, особенно среди молодых разведчиков, представление об ориентировании лишь как об определении сторон горизонта глубоко ошибочно – это только первая составная часть процесса ориентирования. Ориентирование заключается в определении своего положения, положения противника и его объектов* (целей) относительно сторон горизонта, рельефа и местных предметов, а также в выдерживании намеченного маршрута (направления) движения. Без правильного ориентирования невозможно точно определить координаты объектов (целей) и дать целеуказание на них.

Направления на стороны горизонта чаще всего определяют по небесным светилам (Солнцу, Луне, Полярной звезде и др.), некоторым признакам местных предметов и по компасу.

По Солнцу определить стороны горизонта нетрудно, зная, что в полдень (зимой – 13, летом – 14 часов) оно находится на юге. Известно, что видимое перемещение Солнца по небосклону составляет примерно 15° в час. Если, например, в 11 часов спроектировать светило на лилию горизонта и от точки проектирования отложить вправо (по ходу Солнца) 30° (13–11 = 2; 15° ‑2 = 30°), это и будет направлением на юг.

Определить направление на юг можно с помощью часов и Солнца (рис. 62). Для этого нужно встать

 

 

лицом к Солнцу, положить часы, показывающие местное время, циферблатом так, чтобы часовая стрелка была направлена на Солнце. Линия разделяющая пополам угол между часовой стрелкой и направлением на цифру 12 (на территории СССР на цифру 1 зимой или 2 летом), покажет направление на юг.

Этот способ, особенно в южных широтах, недостаточно точный. Для повышения точности определения сторон горизонта в южных районах его нужно несколько видоизменить:

часам придают не горизонтальное, а наклонное положение (для широты 40–50° – под углом 40–50э к горизонту), при этом держат цифрой 12 (1 или 2) от себя;

найдя на циферблате середину дуги между часовой стрелкой и цифрой 12 (1 или 2), прикладывают

здесь спичку, как показано на рисунке, т. е. перпендикулярно циферблату;

не изменяя положения часов, поворачиваются вместе с ними по отношению к Солнцу так, чтобы тень от спички проходила через центр циферблата. В этот момент цифра 12 (1 или 2) будет находиться в направлении на юг.

 

 

 

Можно приближенно определить направление на стороны горизонта по перемещению вершины тени (рис. 63). Для этого на ровной площадке устанавливают палку и отмечают (колышком, камнем) вершину ее тени. Через 15–20 минут отмечают второе положение вершины тени. Прямая от первой отметки ко второй укажет приближенно направление запад– восток, а перпендикуляр к ней – север – юг.

Полярная звезда всегда находится на севере, так как на нее направлена своим северным концом условная ось вращения Земли.

Местоположение Полярной звезды определяется по созвездию Большой Медведицы: мысленно откладывают прямую, проходящую через крайние звезды «ковша», и отмеряют на ней расстояние, равное пятикратному видимому расстоянию между двумя этими звездами. На конце отрезка находится Полярная звезда, являющаяся крайней звездой ручки «ковша», созвездия Малой Медведицы (рис 64) Кроме того, измеряя вертикальный угол от плоскости горизонта на Полярную звезду, можно приближенно определить широту своей точки стояния

 

 

 

По Луне ориентируются относительно сторон горизонта, когда плохо просматривается звездное небо В этом случае направление на юг определяется так же, как по Солнцу и часам, но с предварительным определением времени (часа), когда Солнце будет находиться в том направлении, где в данный момент находится Луна. Чтобы это сделать, необходимо разделить на глаз радиус диска Луны на шесть равных частей и определить, сколько частей составляет поперечник видимого серпа луны. Это число нужно прибавить (когда Луна убывает) или отнять (когда Луна прибывает) от часа наблюдения. При полнолунии берется время наблюдения, Следует знать, что, когда

Луна прибывает, видна правая часть диска, убывает – левая часть диска. Чтобы не спутать, когда нужно прибавлять, а когда вычитать число, определенное видимым поперечником серпа Луны, можно пользоваться мнемоническим правилом (рис. 65).


 

 

 

Полученное после сложения или вычитания число отмечается на циферблате часов. Затем эта отметка совмещается с направлением на Луну. Линия, делящая пополам угол между направлением на Луну и на цифру 12 (на территории СССР на цифру 1 летом или на цифру 2 зимой), покажет направление на юг.

По местным предметам определение сторон горизонта связано с большими ошибками, поэтому при первой же возможности необходимо уточнить ориентировку более точным способом

Признаки обусловленные расположением предметов относительно Солнца кора большинства деревьев грубее на северной стороне, эластичнее (светлее) – на южной, с севера деревья, камни, деревянные, черепичные и шиферные кровли раньше и обильнее покрываются лишайниками и грибками; муравейники располагаются на южной стороне деревьев, пней и кустов, с севера муравейник круче, с юга – положе, почва с южной стороны больших камней, строений суше, чем с северной, что можно определить на ощупь, у отдельно стоящих деревьев с южной стороны крона более развита

В горах дуб и сосна растут на южных склонах, ель, пихта, тис, бук – на северных, снег быстрее подтаивает с южной стороны и на южных склонах

Степные пчелы селятся на южной стороне камней и стен Их жилища очень прочны и похожи на комья грязи, отброшенные колесами

Алтари православных церквей, часовен и лютеранских кирх обращены на восток, а их главные входы – на запад В католических костелах алтари обращены на запад. Кумирни, пагоды буддийские монастыри фасадами повернуты на юг Приподнятый конец нижней перекладины крестов на куполах христианских церквей обращен к северу, опущенный – к югу,

При ориентировании необходимо учитывать не один, а несколько признаков

По компасу ориентирование относительно сторон горизонта наиболее точное. Этот способ является основным для войсковых разведчиков. При определении сторон горизонта с помощью компаса нужно придать ему горизонтальное положение и освободить тормоз стрелки. После того как стрелка успокоится, ее

 

 

 

коней, покрытый фосфором, укажет направление на север.

В Советской Армии наиболее распространены компас Андрианова и артиллерийский компас (рис. 66).

Компас Андрианова имеет неподвижную шкалу с градуировкой от 0 до 360° (цена деления – 3°) с надписями через 15°, возрастающими по ходу часовой стрелки. В обратном направлении имеются надписи в тысячных через 5‑00. Визирное приспособление подвижно, с его помощью можно визировать направления и снимать азимуты на местности.

Артиллерийский компас отградуирован по ходу часовой стрелки с ценой деления сто тысячных (1‑00). Его визирное приспособление неподвижно, а вращается шкала. Это позволяет, не меняя положений компаса, быстро совмещать нулевое деление лимба с северным концом магнитной стрелки, не сбивая ее. Зеркало на откидной крышке позволяет при визировании на предмет контролировать положение компаса и производить отсчет по шкале.

Нельзя пользоваться компасом вблизи металлических предметов, боевой техники, линий электропередачи, которые вызывают отклонение магнитной стрелки. Удаление от боевой машины (танка) при ориентировании с помощью компаса должно быть не менее 30 м. Для более точного определения направления на север нужно учитывать поправку магнитного склонения (указывается на топографических картах).


Для проверки исправности компаса он кладется на горизонтальную поверхность вдали от металлических предметов, стрелка снимается с тормоза. Когда стрелка успокоится, нужно любым металлическим предметом (ножом, шомполом) отвести стрелку в сторону. Если она после четырех‑пяти колебаний остановится в прежнем положении, компас исправен. Если стрелка остановится в другом положении или долго колеблется, компас неисправен: на него нельзя полагаться при ориентировании.

При отсутствии или поломке компаса его можно изготовить из подручных средств (рис. 67). Для этого намагничивается иголка или отрезок тонкой стальной проволоки, вставляется в кусочек пробки или пенопласта, уравновешивается и опускается в неметаллический сосуд с водой.

 

 

 

В воде иголка развернется на плаву и покажет направление север – юг.

Подготовленная и проверенная на полюсность иголка сохраняет свои магнитные свойства в течение одного‑двух лет. Ее можно иметь с собой постоянно, используя по назначению, а при необходимости пользоваться ею как магнитной стрелкой. При наличии неисправного компаса его стрелка, как правило, тоже долго сохраняет свои магнитные свойства – ее использование в этом способе предпочтительнее, потому что не нужно запоминать полюсность иголки (отрезка проволоки)

 

2. Движение по азимутам

 

С помощью компаса можно определить угол между направлением на север (направлением магнитной стрелки компаса) и направлением на наблюдаемый предмет.

 

 

 

Этот угол, измеренный по ходу часовой стрелки, называется магнитным азимутом (рис. 68). В войсковой разведке магнитным азимутом пользуются при целеуказании, определении и выдерживании направления движения и в других случаях.

Для определения магнитного азимута на предмет (цель) с помощью компаса Андрианова он поднимается в горизонтальном положении с освобожденной магнитной стрелкой на высоту 10–12 см ниже уровня глаз, затем поворотом компаса под северный конец стрелки подводится нулевой штрих лимба, другой рукой, не сбивая положения стрелки и корпуса, поворачивается крышка с визирной линией (линией, проходящей через прорезь и мушку) в направлении на предмет (цель). Совмещение визирной линии с направлением на предмет (цель) достигается многократным переводом взгляда с визирной линии на цель и обратно. Не рекомендуется поднимать для этой цели компас до уровня глаз так как при этом сбивается ориентировка компаса (лимб и стрелка не видны) и точность измерения не повышается, а снижается. Оптимальная точность измерения азимутов с помощью компаса Андрианова 2–3°.


С помощью артиллерийского компаса азимут можно измерить несколько точнее. Для этого компас с откинутой на 45° зеркальной крышкой берется пальцами обеих рук за корпус снизу и поднимается до уровня глаз; по визирной линии, проходящей через центр компаса и прорезь в основании зеркальной крышки, компас направляется на цель; поворотом совмещается нулевой штрих лимба с северным концом стрелки и снимается отсчет угла на лимбе против визирной линии у основания крышки. Это и будет магнитный азимут на цель Контроль ориентировки компаса осуществляется по отражению в зеркале крышки.

Нахождение направлений по указанному азимуту с помощью компаса производится в обратном порядке. Сначала устанавливают на лимбе нужный азимут.

Компас Андрианова ориентируют и примерно определяют указанное направление на местности; затем, повернувшись в том направлении и держа компас на уровне 10–12 см ниже глаз, точно ориентируют его и визируют на местности установленный магнитный азимут. Для того чтобы запомнить это направление на линии визирования, замечают удаленный ориентир, который в последующем не теряют из виду.

Артиллерийский компас держат в руке на уровне глаз и поворачиваются, глядя в зеркало, до тех пор, пока северный конец магнитной стрелки не подойдет к нулевому отсчету лимба; затем на линии визирования замечают ориентир, направление на который и будет направлением установленного на лимбе магнитного азимута.

Движение по азимутам – способ выдерживания направления пути (маршрута) с помощью компаса или гирополукомпаса; он применяется при плохой видимости (ночью, в туман и т. п.) и на местности, бедной ориентирами (в лесу, пустыне и т. п.), а также при отсутствии карт на незнакомой местности.

Данные, необходимые для движения по азимутам (магнитные азимуты направлений между точками поворота на маршруте и расстояния между ними), определяют по крупномасштабной карте. На ней определяют маршрут и точки поворотов у ориентиров, которые можно легко опознать на местности (перекрестки дорог, мосты, отдельные строения).

Расстояния между ориентирами при движении днем пешим порядком не должны превышать 1–2 км, а при движении на машине и выдерживании направлении движения по гирополукомпасу – 6–10 км. Для движения ночью ориентиры по маршруту намечаются чаще.

Дирекционные углы направлений на точки поворотов измеряются транспортиром (рис. 69), артиллерийским кругом или хордоугломером *.

 

 

Измеренные дирекционные углы направлений переводят в магнитные азимуты по формуле

Ам=а‑(±ПН),

где Ам – магнитный азимут; а – дирекционный угол; ПН – поправка направления**.

Данные, необходимые для движения по азимутам, оформляют на карте, специально составленной схеме маршрута (рис. 70) или в таблице (табл. 9).

 

 

* Дирекционный угол – угол между проходящим через данную точку направлением и вертикальной линией координатной сетки

** Поправка направления – угол между вертикальной линией координатной сетки и магнитным меридианом. Указывается на карте под южной стороной рамки в виде схемы с пояснительным текстом.

 

Таблица 9

 

Данные, необходимые для движения по азимутам

 

 

Движение по азимутам начинается с исходной точки, на которой с помощью компаса находят нужный азимут направления движения на местности. В направлении движения желательно выбрать и запомнить возможно более удаленный ориентир. В движении ведут отсчет пройденного расстояния (по спидометру, парами шагов, по времени).

В случае если по прохождении заданного расстояния ориентира не окажется, в точке выхода оставляют знак или одного‑двух разведчиков, а ориентир разыскивают в радиусе, равном 0,1 расстояния, пройденного от предыдущего ориентира.

Для выдерживания направления в движении кроме периодического уточнения направления по компасу используются дополнительные ориентиры: звезды, направление ветра и другие вспомогательные признаки. Для движения по азимуту ночью нужно перед выходом (при подготовке к действиям) подержать компас на яркую электрическую лампу или солнце, чтобы зарядить светящиеся части.

Обход препятствий в зависимости от условий может совершаться одним из следующих способов.

При наличии видимости через препятствие:

заметить ориентир по направлению движения на противоположной стороне препятствия;

обойти препятствие и продолжать движение от замеченного ориентира; ширину препятствия определить любым способом (на глаз, по известной угловой величине ориентира и т. д.) и прибавить к пройденному

расстоянию.

Другой способ, применяемый при отсутствии видимости через препятствие, заключается в том, что обход совершается по прямым направлениям, азимуты и длина которых строго фиксируются для выхода на заданное направление.

 

3. Измерение углов и расстояний на местности

 

Понятие тысячной

 

При измерении углов, определении расстояний и целеуказании войсковые разведчики обычно пользуются системой отсчета, принятой в артиллерии. Сущность ее заключается в том, что при делении окружности на 6000 равных частей длина дуги одной части будет округленно равна 1/1000 радиуса этой окружности. Центральный угол, опирающийся на дугу, равную 1/6000 части окружности, принят за единицу измерения углов и называется делением угломера или тысячной (0‑01).

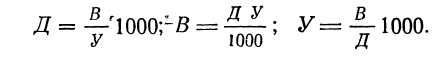
Между линейными и угловыми величинами существует определенная зависимость: Д*У=В* 1000 (для запоминания – «ДУю В Тысячу»), где Д – радиус окружности (расстояние до цели); В – длина дуги (длина, ширина или высота цели); У – угловая величина цели, измеренная в тысячных. Из этого соотношения выводятся формулы тысячной:

 

 

При измерении углов в тысячных называют и записывают вначале число сотен, а затем десятков и единиц тысячных. Сотни отделяются от остальных знаком дефис.

Если сотен и десятков нет, вместо них записываются нули (табл. 10).

Таблица 10

 

Порядок записи и чтения углов в тысячных

 

 

При переходе от делений угломера (тысячных) к градусной мере пользуются соотношениями:

0‑01 = 3,6';

1‑00 = 6°;

1°=0‑17,

а также специальными таблицами (приложение 5).

 

 

Способы измерения углов

 

Угловые измерения выполняются с помощью приборов наблюдения, линейки, прицельных приспособлении стрелкового оружия или визуально (на глаз).

Шкалы и сетки оптических прицелов, биноклей, буссолей, дальномеров и других приборов наблюдения отградуированы в тысячных (делениях угломера).

 

 

В зрительной трубе бинокля имеются две взаимно перпендикулярные шкалы для измерения горизонтальных и вертикальных углов (рис. 71). Цена малого деления равна 0‑05, большого – 0‑10. Вертикальная шкала рассчитана на 0‑20, горизонтальная у биноклей Б‑6 и Б‑8 – на 1‑00, Б‑12 – 0‑80 и Б‑15 – 0‑60.

Для измерения угла между ориентиром и целью совмещают какой‑либо штрих горизонтальной шкалы. С ориентиром, подсчитывают число делений до цели, умножают полученное число на пять и получают значение измеряемого угла в тысячных. На рис. 71 горизонтальный угол между основанием горы и деревом равен 0‑15, а вертикальный угол между вершиной и основанием дерева – 0‑10. Если же предметы, между которыми нужно измерить угол, не помещаются в поле зрения бинокля, то его измеряют по частям, перемещая последовательно сетку бинокля и измеряя углы отрезками между намеченными точками; сумма всех измеренных углов и будет равна углу между двумя

 

 

Для устройства самодельной угломерной шкалы (рис. 72) следует заметить биноклем или буссолью на местности две удаленные точки с расстояния между ними 2‑00, а затем вытянуть руку с линейкой (карандашом, записной книжкой, расческой и т. п.) вперед на полную длину и отметить на ней по замеченным точкам угловое расстояние 2‑00. Отмеченный участок делится и градуируется через 0‑05, и получается угломерная шкала, которую рекомендуется иметь каждому разведчику. Чтобы с ее помощью измерить угол между ориентиром и целью, нужно вытянуть полностью вперед руку с линейкой и заметить по нанесенной шкале угловое расстояние между ними

Для измерения углов в тысячных может служить любая линейка с миллиметровыми делениями: один миллиметр на расстоянии 50 см от глаза соответствует углу 0‑02.

 

Способы определения расстояния

 

Наибольшую точность при измерении расстояний на местности дают штатные средства: лазерные, оптические дальномеры, дальномеры саперные типа ДСП и другие средства разведки. Однако в войсковой разведке наблюдают и обнаруживают цели определяют их положение на местности и дают целеуказание практически все входящие в состав разведывательных органов. Поэтому каждому разведчику необходимо овладеть несколькими способами определения дальности до цели.

По угловой величине предметов (целей), линейные размеры которых известны, нетрудно определить расстояние, пользуясь формулой тысячной.

Например, наблюдаемый в бинокль танк «Леопард‑1АТ» (высотой 2,65 м) покрывается по высоте маленьким штрихом (0‑02,5) горизонтальной шкалы. Расстояние до танка

 

 

Если линейные размеры цели (предмета) не известны, следует вблизи цели выбрать местный предмет, размеры которого известны или легко определимы, и определить расстояние до этого предмета.

Способ определения дальности до цели по ее угловым размерам является основным для разведчиков, и им необходимо хорошо овладеть. Для этого нужно знать линейные размеры различных объектов, целей и предметов (табл. 11) или иметь эти данные под рукой (на планшете, в записной книжке и т. п.).

Рекомендуется определять расстояние, измеряя угловую величину высоты цели (предмета), так как она не всегда будет занимать фронтальное или фланговое по отношению к разведчику положение, особенно в движении, а значит, видимая часть цели в таком положении не будет соответствовать се длине или ширине.

 

Таблица 11.

 

Линейные размеры некоторых объектов

 

 

Глазомерно определить расстояние способен разведчик, который постоянной тренировкой выработал у себя способность мысленно представлять и уверенно отличать на местности расстояния в 200 м, 500 м, 1 км. Этими запомнившимися отрезками пользуются как своего рода масштабом глазомера. При измерении расстояний выбирают наиболее подходящий масштаб глазомера и мысленно откладывают его на местности по направлению на объект, расстояние до которого определяется. При этом следует учитывать, что с увеличением расстояния кажущаяся величина отрезка в перспективе сокращается по мере удаления.

Точность глазомерного определения расстояния невелика и зависит от тренированности и опытности наблюдателя, условий наблюдения и величины определяемого расстояния. При определении расстояний до 1 км ошибка колеблется в пределах 10–20 %, при больших расстояниях ошибки бывают так велики, что практически глазомерное определение их нецелесообразно.

На глазомерное определение расстояний влияют условия наблюдения. Более крупные предметы кажутся ближе однородных, но имеющих меньшие размеры. Предметы яркой окраски (белой, желтой, красной) кажутся ближе темных (черных, коричневых, синих, зеленых), также и при резкой разнице в окраске предмета и фона (например, темный предмет на снегу). Ярко освещенные и хорошо видимые предметы кажутся ближе затемненных (в тени, в пыли, в тумане); в пасмурные дни предметы кажутся дальше. Когда солнце находится позади разведчика, расстояние скрадывается, светит в глаза – кажется большим, чем в действительности. Складки местности (долины рек, впадины, овраги), невидимые или не полностью видимые наблюдателем, скрадывают расстояние. Чем меньше предметов на рассматриваемом участке (при наблюдении через водное пространство, ровный луг, степь, пашню) тем расстояния кажутся меньше. При наблюдении лежа предметы кажутся ближе, чем при наблюдении стоя. При наблюдении снизу вверх (к вершине возвышенности) предметы кажутся ближе, а при наблюдении сверху вниз – дальше.

По степени видимости (различимости) некоторых объектов и целей можно приближенно определить расстояние до них (табл. 12). Следует иметь в виду, что расстояния, на которых различаются отдельные предметы, зависят от индивидуальных особенностей каждого разведчика. В табл. 12 указаны предельные расстояния, с которых становятся заметны те или иные предметы. Таким образом, если разведчик увидел трубу на крыше дома, то это не значит, что до него ровно 3 км; это говорит о том, что до дома не более 3 км.

 

Таблица 12

 

Видимость некоторых предметов

 

 

По звуку и вспышке выстрела (пуска ракеты) определить расстояние несложно. Точность этого способа довольно высока и зависит от точности отсчета времени. Так как свет распространяется практически мгновенно, а звук распространяется со скоростью 331 м/с (при температуре окружающей среды 0 С), по разнице времени между обнаружением вспышки выстрела и приходом звука этого выстрела определяется расстояние до источника звука. Для этого в момент вспышки нужно включить секундомер; с приходом звука остановить его и, просчитав число секунд (с точностью до 0,1 с), умножить его на скорость звука. Полученный результат и будет расстоянием до источника звука в метрах. Например, разведчик засек вспышку при старте ракеты, звук донесся через 20,6 с. Значит, расстояние до пусковой установки равно 330X20,6 = 6798 м.

Следует учесть, что летом скорость звука несколько выше и составляет до 340 м/с, а зимой ниже – около 320 м/с

Каждый разведчик должен уметь без секундомера определить количество секунд. Рекомендуется делать это отсчитывая про себя числа 501, 502, 503… и т. д. Каждое число при произношении занимает примерно 1 с. Для приобретения навыков необходимо темп отсчета сначала потренировать по секундомеру.

 

4. Работа с картой

 

Организовать и выполнять задачи разведки без топографической карты в современных условиях невозможно. Топографические карты отображают элементы и детали местности, местные предметы и их расположение в системе координат. По карте изучается местность, ставятся задачи разведчикам, осуществляется ориентирование на местности, указывается положение обнаруженных объектов (дается целеуказание) и организуется их огневое поражение. При работе на местности карта должна быть ориентирована относительно сторон горизонта по компасу или по местным предметам.

 

 

Карта ориентируется по компасу на местности, бедной ориентирами (в лесу, пустынно‑степных районах), а также когда разведчик даже приближенно не знает точку твоего стояния Для этого компас с освобожденной магнитной стрелкой накладывают центром на одну из вертикальных линий километровой сетки карты (риг 73) так, чтобы штрихи 0 и 180 лимба компаса или линейки артиллерийского компаса совпадали с этой линией; затем поворачивают карту до тех пор, пока северный конец магнитной стрелки не отклонится от нулевого деления лимба на величину поправки направления, указанную на нижнем обрезе листа карты.

Таким же образом можно ориентировать карту, приложив компас к боковой (западной или восточной) рамке карты, но при этом северный конец магнитной стрелки должен отклониться на величину магнитного склонения.

По местным предметам ориентировать карту можно, когда хотя бы приближенно известна точка стояния и опознаны отдельные ориентиры (местные предметы). В этом случае карту поворачивают так, чтобы направление точка стояния – ориентир, мысленно проведенное по карге (или обозначенное на карте линейкой или карандашом), совместилось с соответствующим направлением на местности (рис. 74). Если разведчик находится вблизи линейного опознанного ориентира (прямолинейный участок дороги, линия связи, просека, берег канала и т п), можно совместить направление этого ориентира на карте (повернув ее) с направлением на местности. При этом рекомендуется проверить, чтобы расположение местных предметов на карте справа и слева от линейного ориентира соответствовало их расположению на местности.

 

 

После ориентирования карты рекомендуется опознать на ней ориентиры (местные предметы, элементы рельефа), различимые на местности и нанесенные на карту, то есть карта сличается с местностью. Иногда при сличении карты с местностью возникает необходимость найти на карте предмет, видимый на местности. Для этого нужно через точку стояния по ориентированной карте свизировать направление на видимый предмет, после нею на линии визирования на карте отыскать условный знак этого предмета.

 

Определение на карте своего местонахождения (точки стояния) является зачастую для разведчиков начальным моментом в работе с картой, будь то определение координат разведуемого объекта (цели) или направления движения, разведка местности или подготовка донесения о результатах разведки. Точку стояния можно определить различными способами. При выборе способа учитываются условия обстановки (в том числе условия работы с картой, близость противника и наличие приборов), требуемая точность и условия видимости. Рассмотрим несколько таких способов

Проще всего определить точку стояния на карте разведчику, находящемуся рядом с каким‑либо местным предметом, изображенным на карте (перекресток дорог, отдельный камень или дом и т. п.). В этом случае место расположения на карте условного знака предмета и будет искомой точкой стояния.

Глазомерный способ применяется обычно на среднепересеченной, богатой ориентирами местности, когда разведчик находится на контурах или вблизи от ориентиров. При этом необходимо сориентировать карту и опознать на карте два‑три ближайших местных предмета. Затем по глазомерно определенным расстояниям и направлениям до опознанных ориентиров наметить точку стояния на карте. Точность при определении точки стояния этим способом невысокая и тем меньше, чем дальше ориентиры. Так, при расположении от ориентиров на удалении до 500 м ошибка может быть около 100 м и более (на карте масштаба 1: 100 000).

Определение точки стояния промером расстояний применяется при движении вдоль дороги или другого линейного ориентира и преимущественно на закрытой местности или в условиях ограниченной видимости. Расстояние измеряется по спидометру или шагами от любого ориентира, расположенного у дороги, до определяемой точки стояния. Затем это расстояние откладывается на карте от условного знака ориентира вдоль дороги в соответствующем направлении.

Точность при этом может быть очень высокой и зависит от величины ошибки измерения расстояния на местности и откладывания его на карте. По расстоянию и направлению точка стояния определяется обычно на открытой, бедной ориентирами местности, когда опознан только один ориентир, показанный на карте. Порядок действий при этом может быть следующий:

с помощью бинокля, дальномера, на глаз или промером шагами определяется расстояние до опознанного ориентира и магнитный азимут на него;

азимут переводится в обратный *, а затем в дирекционный угол **;

на карте от ориентира с помощью транспортира по дирекционному углу прочерчивается направление, на котором откладывается измеренное (определенное) расстояние полученная точка и будет искомой точкой стояния.

Обратной засечкой точка стояния определяется на открытой местности, но когда вдалеке видны два‑три опознанных ориентира. Компасом измеряются магнитные азимуты на ориентиры; азимуты переводятся в обратные, а затем в дирекционные углы. Затем от ориентиров на карте по дирекционным углам прочерчиваются направления, пересечение которых дает точку стояния. При расстоянии до ориентиров около 5 км ошибка определения точки стояния может достигать 600 м (при пользовании компасом). Более точной результат получится, если пользоваться точными углоизмерительными приборами (буссолью ПАБ‑2М, дальномером).

При недостатке времени и наличии не менее трех ориентиров, обозначенных на карте и опознанных на местности, следует сориентировать карту по компасу, свизировать на местности и прочертить через ориентиры на карте направления, пересечение которых даст точку стояния.

Засечкой по одному ориентиру точку стояния можно определить при нахождении на дороге или другом линейном контуре. Следует отыскать на местности любой ориентир, чтобы угол засечки был не менее 20°. По компасу или линейному контуру местности сориентировать карту, а затем, приложив линейку к ориентиру на карте, свизировать направление на ориентир на местности. Пересечение линейки (линии визирования) с линейным контуром и будет точкой стояния.

 

_____________________________________________________________________________

* Обратный азимут отличается от прямого на 180°. Например: Ам = 330°, обратный азимут будет (330°–180°) = 150°; Ам = 30°, обратный азимут– (180°+30°) =210°

**Измеренный на местности магнитный азимут какого‑либо направления переводится в дирекционный угол а этого направления по формуле а = Ам + (±ПН).

 

 

Определить точку стояния способом Болотова (рис 75) можно при наличии не менее трех опознанных ориентиров. Карту при этом можно не ориентировать. На листе прозрачной бумаги из одной точки, намеченной произвольно, свизировать и прочертить направления на выбранные на местности ориентиры. Наложить этот лист на карту так, чтобы все три прочерченных направления прошли через соответствующие ориентиры на карте. Перенести (переколоть) центральную, первоначально намеченную на листе точку на карту. Это и будет точка стояния. Нанесение обнаруженного объекта на карту – один из важнейших моментов в работе разведчика. От того, насколько точно объект (цель) будет нанесен на карту, зависит точность определения его координат Ошибка в определении координат объекта (цели) разведчиком может ввести в заблуждение командира (начальника), принимающего решение на поражение этого объекта (цели), и вызвать огонь средств поражения по пустому месту Поэтому, работая с картой, разведчик должен быть предельно внимательным и точным во всех измерениях

Обнаружив объект (цель), разведчик должен определить по разведывательным признакам, что обнаружено. Не прекращая наблюдения за объектом и не обнаруживая себя, нанести объект (цель) на карту.

Для нанесения объекта (цели) на карту существует несколько способов:

глазомерно объект наносится на карту, если он

находится вблизи опознанного ориентира;

по расстоянию и направлению – ориентировать карту и найти на ней свою точку стояния; свизировать на карте направление на обнаруженный объект и прочертить линию; определить расстояние до объекта и отложить на карте от точки стояния Полученная точка и будет показывать положение объекта на карте. Если таким образом (графически) невозможно решить задачу (мешает противник, дождь, сильный ветер и т. п.), нужно точно измерить азимут на объект, затем перевести его в дирекционный угол и прочертить по карте из точки стояния направление, на котором отложить расстояние до объекта;

способом прямой засечки объект наносится на карту с двух‑трех точек, с которых можно вести наблюдение за ним Для этого из каждой из этих точек прочерчиваются по ориентированной карте направления на объект (цель), пересечение которых определит его местонахождение;

при нахождении объекта на линии местности (дороге, опушке леса, линии электропередачи и т. д) достаточно свизировать линию на карте из одной точки до пересечения ее с линейным контуром, на котором расположен объект;

по расстоянию и магнитному азимуту определить расстояние до объекта (цели); измерить магнитный азимут на него; на карте из точки стояния с помощью транспортира прочертить этот азимут (с учетом поправки направления) и на линии отложить расстояние до объекта (цеди) Это и будет его местонахождением.

 

5. Определение координат и целеуказание

 

В зависимости от характера выполняемой задачи, условий обстановки и местности, размеров обнаруженного объекта и его важности определяют прямоугольные или географические координаты.

 

 

Прямоугольные координаты точек (объектов) на местности определяются по оцифровке координатных линий, образующих южную и западную стороны квадрата карты, в котором расположена точка (рис. 76). Координаты могут быть полными и сокращенными.

Полные координаты включают полные значения абсциссы X (5414 км 750 м) и ординаты V (24‑я зона, 708 км 250 м). Сокращенные координаты применяют при работе на ограниченной территории, изображенной на одном листе карты. В этом случае определяют десятки и единицы километров (квадрат), сотни, десятки и единицы метров (положение точки в квадрате).

Географические координаты точки определяют от ближайших к ней параллели и меридиана, широта (В) и долгота (L) которых известны (рис. 77). Широта отсчитывается по меридиану (южная и северная внутренние рамки карты) в обе стороны от экватора от 0 до 90°. Широты точек, расположенных к северу от экватора, называются северными, а к югу – южными.

 

 

Долготы точек отсчитываются от начального меридиана к востоку и западу и называют соответственно восточными и западными. Счет их ведется от 0 до 180° в каждую сторону.

Целеуказание по карте включает определение по карте и передачу по техническим средствам связи или каким‑либо другим способам данных о местоположении целей (объектов) на местности. В зависимости от обстановки и характера решаемых задач местоположение целей (объектов), нанесенных на карту, указывают различными способами: по квадратам координатной (километровой) сетки, прямоугольными, географическими координатами, от ориентира и полярными координатами.

По квадратам координатной сетки указывают приближенное местоположение цели (объекта), когда достаточно знать, в каком квадрате координатной сетки карты цель находится (рис. 78). В письменном документе (донесении) квадрат указывают в скобках после наименования объекта, например:

При устном докладе вначале называют квадрат, а затем наименование объекта, например: квадрат 5017, мост.

Положение цели в квадрате может уточняться двумя способами (см.: рис. 78):

 

 

«по улитке» – квадрат делят на девять частей, которые обозначают цифрами; цифру, уточняющую местоположение объекта внутри квадрата, добавляют при целеуказании к обозначению квадрата, например КНП (5015 и 7);

по буквам – квадрат делят на четыре части, ко торые обозначают буквами, например минометная батарея (4916‑Б).

Прямоугольными координатами целеуказание выполняется наиболее точно. При этом местоположение цели может быть указано полными или сокращенными координатами.

Географические координаты применяются при целеуказании по мелкомасштабным картам, на которых нет координатной сетки.

Целеуказание от ориентиров применяют, когда район разведки небольшой и не требуется высокой точности при определении координат.

В районе действий выбирают три‑четыре ориентира, присваивают им условные наименования, которые подписывают на карте. Затем через каждый ориентир проводят оси координат (взаимно перпендикулярные линии), параллельные линиям километровой сетки.

При указании цели называют ближайший к ней ориентир и расстояния до нее (в масштабе карты) по перпендикулярам. Например: «Береза, юг – 400, запад – 600, танк в окопе» (рис. 79). Данные целеуказания записываются так: «Танк (Береза, ю400, з600)». Целеуказание от ориентира можно давать также указанием расстояния до цели и направления на н ее. Например: «Голова танковой колонны – 2 км северо‑западнее Береза».

 

 

Целеуказание в полярных координатах производится, когда принимающий целеуказание точно знает положение наблюдателя и установлено единое понимание начала отсчета (полярная ось). Началом отсчета может служить направление на север (Ам = 0°), основное направление стрельбы (например, 30–00) или любое произвольно назначенное направление. Координаты цели указываются углом, отсчитываемым от направления полярной оси по ходу часовой стрелки до направления на цель, и расстоянием до нее от наблюдателя в метрах (рис. 80). Например: «Азимут 22°, 5100 м, ПТРК в окопе»; «Вправо 4‑37, 3100 м, танк в окопе».

Одним из видоизмененных способов целеуказания полярными координатами является целеуказание от ориентиров, рассмотренное в первой главе.

 

 

Доклад о результатах разведки должен быть кратким и ясным. Доклад не должен иметь различных толкований после его расшифровки (обработки). В нем указывается: что, когда и где обнаружено, характер действий обнаруженной цели, где находится ведущий разведку и что он решил делать в дальнейшем. При этом, если время обнаружения цели соответствует времени доклада об этом, в донесении оно может опускаться, например: «Шесть 155‑мм самоходных гаубиц на огневой позиции (46250, 83900). Нахожусь (4684 и 9), продолжаю наблюдение». Для того чтобы принимающий и передающий лучше понимали друг друга при докладе и целеуказании, существует ряд правил, которыми рекомендуется пользоваться при составлении и расшифровке донесений (рис. 81):

 

 

рубежи и районы, занимаемые своими войсками, указывать, начиная с правого фланга (против хода часовой стрелки), а противника – с его левого фланга (по ходу часовой стрелки); рубежи указывать двумя, районы – тремя‑четырьмя точками (от фронта в тыл);

районы, занимаемые взводом и ротой, указывать по карте масштаба 1: 100 000 одной точкой, на картах более крупною масштаба тремя точками, батальона и выше – тремя точками;

опорные пункты и районы обороны указывать тремя точками взводные опорные пункты одной точкой (центр);

колонны указывать двумя точками – сначала голову, затем хвост или только голову с указанием направления движения;

огневые позиции артиллерийских и минометных батарей и взводов, стартовые позиции огневых взводов оперативно‑тактических и тактических ракет указывать одной точкой, районы ракетных батарей и дивизионов – тремя точками;

командные пункты до бригады включительно указывать одной точкой, выше – тремя‑четырьмя точками, отдельные элементы крупных командных пунктов указывать одной точкой;

переправу указывать одной точкой, участок переправ – двумя точками, расположенными на исходном берегу;

направление указывать двумя точками, начиная от исходной;

маршрут указывать несколькими точками от исходной до конечной.

 

6. Особенности ориентирования при движении на боевых машинах

 

Важнейшим условием успешного выполнения задач разведки, особенно при действиях в составе разведывательных органов в ходе марша, рейда, является умелое ориентирование в движении на боевых машинах.

Для этого до начала движения изучается маршрут и готовятся необходимые данные для движения. При этом на карте намечают через каждые 3–5 км и обводят кружком черного цвета контрольные ориентиры; подписывают километраж возрастающим итогом. На участках маршрута, где ориентирование затруднено (при выезде из леса, населенного пункта, в пустыне и т. п.), определяют и записывают азимуты направления движения. При необходимости рекомендуется поднимать маршрут темно‑коричневым цветом сплошной линией рядом с условным знаком дороги, по которой намечается движение. Линия проводится, не забивая условных знаков. Внутри кружков, обозначающих контрольные ориентиры, а также у мостов линию маршрута не проводят.

После того как маршрут будет намечен и поднят, его рекомендуется заучить настолько твердо, чтобы суметь воспроизвести его графически по памяти. Это особенно необходимо, если предстоит вести разведку (совершать марш) ночью.

В исходном пункте ориентируют карту и сличают ее с местностью. Найдя на местности первый ориентир, двигаются по направлению к нему. Достигнув его и убедившись, что путь верен, опознают в направлении движения следующий ориентир и продолжают Движение. Если с какой‑либо точки очередной ориентир не виден, то двигаются по азимуту, а свое место на хождение на маршруте контролируют промером по спидометру. Карту при движении держат ориентированной, опознают на ней наблюдаемые местные предметы и по ним мысленно фиксируют свое положение на маршруте, обращая особое внимание на рельеф (высоты, гребни, дно лощин, а также подъемы и спуски). Пользование картой в боевой машине требует определенных навыков: во время движения при тряске и толчках бывает трудно различать на карте мелкие, но часто очень важные детали местности Ориентиры нужно успевать отыскивать на карте, когда они находятся впереди, так как вблизи они очень быстро исчезают из поля зрения. Для карты рекомендуется изготовить специальный планшет, обеспечивающий удобство при работе с ней в любом положении при ориентировании и убирающийся, когда в нем нет необходимости.

В лесу для ориентирования используют перекрестки дорог и просек, характерные высоты, лощины, овраги и промоины, мосты на дорогах, лесные поляны/ вырубки, различные постройки, изгибы рек и ручьев, озера и другие характерные ориентиры. Если на карте показана нумерация лесных кварталов, то по квартальным столбам, стоящим на перекрестках просек, можно точно определить свое местоположение. На этих столбах подписываются номера кварталов, границы которых сходятся в точке, где поставлен столб. Просеки обычно имеют направления север – юг и восток – запад. Кварталы нумеруются в СССР с запада на восток, начиная от северной опушки леса, а в Германии и в Польше – в обратном порядке, с востока на запад.

В населенных пунктах, особенно в крупных, ориентироваться значительно труднее. При их изучении по карте в качестве ориентиров выбирают и отмечают главные улицы, реки, мосты, площади, парки, стадионы, церкви, перекрестки магистральных улиц, промышленные объекты и железнодорожные линии. Нужно точно замечать место въезда и следить за своим движением внутри населенного пункта, изменяя ориентировку карты при каждом повороте, во время движения считать кварталы, заранее пронумерованные на карте.

Ночью при ориентировании не рекомендуется пользоваться внутренним освещением боевой машины, для освещения карты нужно иметь карманный фонарь с красным светофильтром, при этом не следует пользоваться желтым, красным и оранжевыми карандашами, которые незаметны при таком освещении. В качестве ориентиров выбирают и используют Предметы, силуэты которых хорошо выделяются на фоне ночного неба (вышки, фабричные трубы, церкви, водонапорные башни, опушки леса, отдельные высоты). Ориентирами могут служить реки, озера и пруды, поверхность которых заметна на темном фоне окружающей местности. Наиболее надежны линейные ориентиры, пересекающие направление движения.

Во время движения личный состав ведет наблюдение в своих секторах и докладывает о замеченных ориентирах. Механик‑водитель, наблюдая в прибор ночного видения, кроме доклада о появлении очередных ориентиров сообщает командиру показания спидометра. Командир отделения может заранее указывать механику‑водителю ожидаемый впереди ориентир и поворотную точку. Например: «Через 500 м пересечение с шоссейной дорогой – поворот направо». Механик‑водитель, доложив командиру о появлении шоссейной дороги, по его команде совершает поворот.

Выбрав ориентир в направлении движения, нужно заметить на корпусе машины какую‑нибудь деталь в створе с линией движения и, не меняя своего положения, следить, чтобы во время движения эта деталь оставалась на л инии наблюдения Если в качестве ориентиров используются небесные светила, следует учитывать, что они постоянно перемещаются по небосводу, и через каждые 10–15 минут нужно уточнять направление.

Ориентируясь в движении по показаниям спидометра, учитывают дорожные условия. Так, в труднопроходимом лесу, в пустыне, в распутицу пробуксовывание гусениц и колес может искажать показания спидометра до 50 %.

При невнимательном сличении карты с местностью и высоких скоростях движения возможна потеря ориентировки. Чтобы ее восстановить, нужно остановиться, как можно точнее сориентировать карту и попытаться определить на ней точку стояния по местным предметам и рельефу. Если это не удалось, определяют по компасу примерное значение азимута направления движения от последнего точно опознанного ориентира (с учетом поворотов), прочерчивают это направление по карте и откладывают от опознанного ориентира расстояние, отсчитанное по спидометру.

Иногда ориентировку можно восстановить по какому‑либо линейному ориентиру (железной дороге, реке, шоссе, каналу), который нельзя не заметить. Выйдя к нему, ориентируют карту, а затем двигаются до встречи с каким‑либо другим ориентиром, обозначенным на карте (мост, характерный поворот дороги, пересечение с линией электропередачи и т. п.), который укажет точное местонахождение

Если восстановить ориентировку не удалось, нужно доложить старшему командиру (начальнику), с его разрешения вернуться по следу до последнего опознанного ориентира и снова продолжать движение либо действовать по его указанию.

 







Date: 2015-09-18; view: 1049; Нарушение авторских прав



mydocx.ru - 2015-2026 year. (0.441 sec.) Все материалы представленные на сайте исключительно с целью ознакомления читателями и не преследуют коммерческих целей или нарушение авторских прав - Пожаловаться на публикацию