Главная Случайная страница


Полезное:

Как сделать разговор полезным и приятным Как сделать объемную звезду своими руками Как сделать то, что делать не хочется? Как сделать погремушку Как сделать так чтобы женщины сами знакомились с вами Как сделать идею коммерческой Как сделать хорошую растяжку ног? Как сделать наш разум здоровым? Как сделать, чтобы люди обманывали меньше Вопрос 4. Как сделать так, чтобы вас уважали и ценили? Как сделать лучше себе и другим людям Как сделать свидание интересным?


Категории:

АрхитектураАстрономияБиологияГеографияГеологияИнформатикаИскусствоИсторияКулинарияКультураМаркетингМатематикаМедицинаМенеджментОхрана трудаПравоПроизводствоПсихологияРелигияСоциологияСпортТехникаФизикаФилософияХимияЭкологияЭкономикаЭлектроника






Решение матричных игр методами линейного программирования





 

Для парных игр разработан достаточно простой аналитический метод решения, базирующийся на основных положениях линейного программирования с привлечением принципов двойственности ЗЛП.

Рассмотрим игру m×n, определяемую матрицей А. Предположим, что ее решение возможно только в смешанных стратегиях. Тогда, согласно теореме 3, для оптимальной стратегии первого игрока и цены игры v выполняется неравенство

, при j=1…n.

Предположим, что v>0. Теперь разделим левую и правую части этого неравенства на v и получим

, при j=1…n.

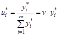
Положим . Тогда

, при j=1…n, yi* ≥ 0.

Используя введенное обозначение, перепишем дополнительное условие в виде:

.

Так как первый игрок стремится получить максимальный выигрыш, то он должен обеспечить минимум величины . С учетом этого, определение оптимальной смешанной стратегии первого игрока сводится к нахождению минимального значения функции

min

при условиях , при j=1…n,

yi* ≥ 0.

Аналогичные рассуждения показывают, что определение оптимальной стратегии второго игрока сводится к нахождению максимального значения функции

max

при условиях

или , i=1…m

,

где .

Таким образом, чтобы найти решение данной игры, определяемой матрицей А, нужно составить следующую двойственную пару ЗЛП и найти их решение

- прямая задача: найти максимальное значение функции

max

при условиях , i=1…m

,

- двойственная задача: найти минимальное значение функции

min

при условиях , j=1…n,

.

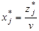
Используя решение этой двойственной пары, получаем формулы для расчета смешанных стратегий и цены игры:

; ; ; (27)

i=1…m; j=1…n.

Итак, процесс нахождения решения игры с использованием методов линейного программирования, включает следующие этапы:

1) составляют пару двойственных задач линейного программирования, эквивалентных данной матричной игре;

2) определяют оптимальные планы двойственных задач;

3) используя формулы (27), находят решение игры.

Таким образом, для всякой матричной игры всегда можно записать симметричную пару двойственных задач. Справедливо и обратное: для всякой симметричной пары двойственных задач можно записать матричную игру. Схема этого построения следующая.

Пусть задана симметричная пара двойственных задач:

прямая задача: max; ; ;

двойственная задача: min; ; .

Этой симметричной паре двойственных задач можно поставить в соответствие игру, определяемую матрицей:

 

,

где индекс (Т) означает операцию транспонирования.

З а д а ч а 21. Построить игру, определяемую следующей парой двойственных задач:

прямая задача: max,

,

,

Х ≥ 0;

двойственная задача: min,

,

,

Y ≥ 0.

Р е ш е н и е. Запишем все элементы будущей матрицы игры. Они следующие:

- матрица коэффициентов в прямой задаче ;

- матрица коэффициентов в двойственной задаче ;

- вектор-столбец свободных членов в

ограничениях прямой задачи ;

- транспонированный столбец ,

- вектор-строка свободных членов ,

- транспонированная вектор-строка .

Следовательно, исходной симметричной паре двойственных задач можно поставить в соответствие матричную игру, определяемую матрицей:

.

Важно заметить, что любая игра имеет смешанную оптимальную стратегию, но не каждая ЗЛП имеет решение.

В качестве примера рассмотрим задачу 19, видоизменив матрицу игры.

З а д а ч а 22. Найти решение игры, заданное матрицей

 

  В1 В2 В3
А1      
А2      
А3      

 

Р е ш е н и е. Прежде всего определим максимин и минимакс. Для этого напишем вектора:

; .

Следовательно, , . Так как седловой точки в этой задаче нет, будем искать решение в смешанных стратегиях. Составим двойственную пару ЗЛП:

- прямая задача: найти максимум функции

при ограничениях ,

,

,

;

- двойственная задача: найти минимум функции

при ограничениях ,

,

,

.

Очевидно, из двух задач проще решить прямую задачу, так как у нее ограничения состоят из неравенств типа “≤ ”, а в таком случае очень просто ограничения переписать в виде равенств с добавлением еще трех переменных х4, х5, х6 и получением трех единичных векторов Р4, Р5, Р6.

Решение этой ЗЛП выполняется в три итерационных шага и имеет вид:

; .

Цену игры определим из (27). Например,

.

Тогда смешанная стратегия для первого игрока определится так:


, , .

Для второго игрока смешанная стратегия будет составлять:

, , .

Окончательный ответ: цена игры равна ; игроки имеют смешанные стратегии . .

Решение задачи 21 показывает, как незначительное изменение в структуре матрицы игры может привести к существенному изменению содержания и объема решения задачи.

 







Date: 2015-09-18; view: 801; Нарушение авторских прав



mydocx.ru - 2015-2026 year. (0.964 sec.) Все материалы представленные на сайте исключительно с целью ознакомления читателями и не преследуют коммерческих целей или нарушение авторских прав - Пожаловаться на публикацию