Главная Случайная страница


Полезное:

Как сделать разговор полезным и приятным Как сделать объемную звезду своими руками Как сделать то, что делать не хочется? Как сделать погремушку Как сделать так чтобы женщины сами знакомились с вами Как сделать идею коммерческой Как сделать хорошую растяжку ног? Как сделать наш разум здоровым? Как сделать, чтобы люди обманывали меньше Вопрос 4. Как сделать так, чтобы вас уважали и ценили? Как сделать лучше себе и другим людям Как сделать свидание интересным?


Категории:

АрхитектураАстрономияБиологияГеографияГеологияИнформатикаИскусствоИсторияКулинарияКультураМаркетингМатематикаМедицинаМенеджментОхрана трудаПравоПроизводствоПсихологияРелигияСоциологияСпортТехникаФизикаФилософияХимияЭкологияЭкономикаЭлектроника






Нахождение решений двойственных задач





 

Практическая ценность наличия пары двойственных задач многозначна. Прежде всего с точки зрения методики решения ЗЛП приемнение двойственной задачи позволяет в отдельных случаях упростить решение и в частности свести его к графическому построению. Например, если:

а) количество неизвестных в прямой задаче более двух;

б) количество ограничений в прямой задаче равно двум,

то такая задача не может быть решена графически. Однако она будет иметь двойственную задачу типа:

а) количество неизвестных в двойственной задаче равно двум;

б) количество ограничений в двойственной задаче более двух,

и такая задача может быть решена графическим методом. Однако в этом случае можно получить только значение функции цели, но оптимальный план прямой задачи получить таким методом нельзя.

Независимо от структуры задач как прямой, так и двойственной, имеется возможность, решая первую, получить одновременно решение и второй. Не останавливаясь на теоретических положениях, рассмотрим методику поиска решений двойственной пары. Для этого рассмотрим следующий пример.

З а д а ч а 10. Для задачи, состоящей в определении максимального значения функции

при условиях ,

,

,

.

Составить двойственную задачу и найти ее решение.

Заметим, что эта задача уже рассматривалась выше при обосновании метода решения ЗЛП с помощью симплекс-таблицы (см. задачу 5).

Р е ш е н и е. Двойственная задача по отношению к исходной состоит в нахождении минимума функции

при шести ограничениях ,

,

,

, , .

Воспроизведем конечную симплекс-таблицу решения прямой задачи.

Таблица 12

Симплекс-таблица к задаче 10

i Базис Сб Р0 С1=9 С2=10 С3=16 С4=0 С5=0 С6=0 ti
Р1 Р2 Р3 Р4 Р5 Р6
                     
  Р2 Р3 Р6 zjj     1/4 5/4     1/9 -1/18 -1/6 2/9 2/9 -1/6 5/24 -1/8 5/3 5/3    

 

Прямая задача на первом этапе имела три единичных вектора Р4, Р5, Р6, (т.е. в базис входили переменные х4, х5, х6). Заметим также, что количество базисных переменных при решении прямой задачи всегда равно количеству ограничений, а соответственно всегда равно количеству неизвестных в двойственной задаче.

Как известно, прямая задача имела оптимальный план Х*=(0;8;20;0;0;96), а функция цели принимала значение

.

Двойственная задача будет иметь следующее решение:

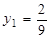
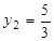
, , ,

а функция цели будет равна:

.

П р а в и л о. Если среди векторов Р1; Р2; …; Рn+k, составленных из коэффициентов при неизвестных в системе уравнений в прямой задаче имеется m единичных, то оптимальный план двойственной задачи – это значения чисел zj в столбцах первичных единичных векторов, а функция цели двойственной задачи равна значению функции цели прямой задачи.

Для рассмотренной задачи:

 

, , ,

 

чьи числовые значения в табл.12 выделены жирно.

 

 







Date: 2015-09-18; view: 543; Нарушение авторских прав



mydocx.ru - 2015-2026 year. (0.421 sec.) Все материалы представленные на сайте исключительно с целью ознакомления читателями и не преследуют коммерческих целей или нарушение авторских прав - Пожаловаться на публикацию