Главная Случайная страница


Полезное:

Как сделать разговор полезным и приятным Как сделать объемную звезду своими руками Как сделать то, что делать не хочется? Как сделать погремушку Как сделать так чтобы женщины сами знакомились с вами Как сделать идею коммерческой Как сделать хорошую растяжку ног? Как сделать наш разум здоровым? Как сделать, чтобы люди обманывали меньше Вопрос 4. Как сделать так, чтобы вас уважали и ценили? Как сделать лучше себе и другим людям Как сделать свидание интересным?


Категории:

АрхитектураАстрономияБиологияГеографияГеологияИнформатикаИскусствоИсторияКулинарияКультураМаркетингМатематикаМедицинаМенеджментОхрана трудаПравоПроизводствоПсихологияРелигияСоциологияСпортТехникаФизикаФилософияХимияЭкологияЭкономикаЭлектроника






Ускорение точки





Векторный и координатный способы задания движения точки.

При векторном способе движение точки задается радиусом-вектором r = r ( t), проведенным из неподвижной точки О, При векторном способе движение точки задается радиусом-вектором r = r ( t), проведенным из неподвижной точки О. При координатном способе движение точки задается ее уравнениями движения: x = x (t), y = y (t), z = z (t). Оба способа тесно связаны: r ( t) = i x (t) + j y (t) + k z (t). Траекторию движения точки найдем, исключив время t из уравнений движения. Например, x = x (t) Ю t = t (x); y = y (t) Ю y [ t (x)] = y (x), z = z (t) Ю z [ t (x)] = z (x).

Скорость точки

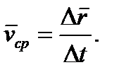
Средняя скорость равна отношению приращения радиуса-вектора D r = r 2r 1 к приращению времени D t = t2t1:

Мгновенную скорость получим предельным переходом: или Подставив r (t), получим откуда

 

Ускорение точки.

Среднее ускорение равно отношению приращения скорости D v = v 2v 1 к приращению времени D t = t2t1: Мгновенное ускорение получим предельным переходом:


Или Подставив в (4) скорость (3), получим


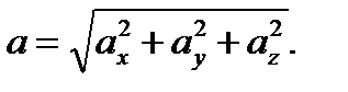
Отсюда Модуль ускорения

Направляющие косинусы: cos aa = ax /a,cos ba = ay /a, cos g a = az /a. cos2 aa + cos2 ba + cos2 ga = 1.

4. Естественный способ описания движения точки

v = vtt.
vt = ds/dt.
s = s (t)
Система отсчета при е. с. о. д. На известной траектории движения точки задают начало отсчета 0, а также положительное и отрицательное направления отсчета, рис.1. Расстояние s по траектории от начала отсчета 0до точки М называется дуговой координатой. Зависимость определяет закон движения точки. Скорость точки. Орт t касательной Т, проведенной к траектории в точке, определяет положительное направление отсчета. Алгебраическое значение скорости, как проекция ее на касательную, равна

Скорость положительна, если ее направление совпадает с направлением орта t, и отрицательна в противном случае: vt = ± v. Вектор скорости 5. 5.Естественная система координат, е.с.к. Е. с. к. образуют три взаимно перпендикулярные оси, проведенные из точки: касательная T, нормаль N, проведенная к центру кривизны траектории, и бинормаль В с ортами осей соответственно t, n и b. Плоскости I (T, N), II (N, BIII (T, B)называются соответственно соприкасающаяся, нормальная и спрямляющая. Система координат – правая, подвижная, в начале которой находится точка М: b = t ´ n.

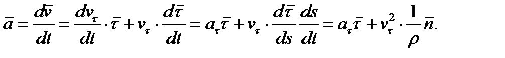
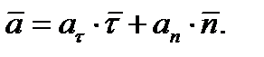
6. Ускорение точки при е. с. о. д.

Дифференцируя скорость (2) по t, получим

Или где

Касательное ускорение a t,рис.5, характеризует быстроту изменения вектора скорости по величине, а нормальное a nпо направлению. a t ^ a n. Оба ускорения расположены в соприкасающейся плоскости, бинормальная составляющая ускорения a b = 0.

Модуль ускорения вычисляется по формуле Пифагора: Угол g (см. рис.5) – по формуле:







Date: 2015-09-03; view: 394; Нарушение авторских прав



mydocx.ru - 2015-2026 year. (0.178 sec.) Все материалы представленные на сайте исключительно с целью ознакомления читателями и не преследуют коммерческих целей или нарушение авторских прав - Пожаловаться на публикацию