Главная Случайная страница


Полезное:

Как сделать разговор полезным и приятным Как сделать объемную звезду своими руками Как сделать то, что делать не хочется? Как сделать погремушку Как сделать так чтобы женщины сами знакомились с вами Как сделать идею коммерческой Как сделать хорошую растяжку ног? Как сделать наш разум здоровым? Как сделать, чтобы люди обманывали меньше Вопрос 4. Как сделать так, чтобы вас уважали и ценили? Как сделать лучше себе и другим людям Как сделать свидание интересным?


Категории:

АрхитектураАстрономияБиологияГеографияГеологияИнформатикаИскусствоИсторияКулинарияКультураМаркетингМатематикаМедицинаМенеджментОхрана трудаПравоПроизводствоПсихологияРелигияСоциологияСпортТехникаФизикаФилософияХимияЭкологияЭкономикаЭлектроника






Интегрирование подстановкой





Пример1.Неопределенный интеграл равен …

Решение:
Обращаем внимание, что подстановка приводит рассматриваемый интеграл к табличному:
Найдем дифференциал от обеих частей подстановки: , тогда Подставим получившиеся выражения в исходный интеграл:

Заменив его выражением из подстановки, получим:

 

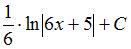
Пример2. Неопределенный интеграл равен …

Решение:
Обращаем внимание, что подстановка приводит рассматриваемый интеграл к табличному:
Для этого нужно найти дифференциал от обеих частей подстановки: , из которой выражается : . Подставляя получившиеся выражения в исходный интеграл, получаем

Заменив его выражением из подстановки, имеем

 

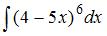
Пример3.

 

Решение:
Подстановка приводит рассматриваемый интеграл к табличному: Найдем дифференциал от обеих частей подстановки: , тогда Подставим получившиеся выражения в исходный интеграл: Заменив его выражением из подстановки, получим:

 

1.Неопределенный интеграл равен …

2.Неопределенный интеграл равен …

3.Неопределенный интеграл

4.Неопределенный интеграл равен …

5. Неопределенный интеграл равен …

 

6. Установите соответствие между интегралами и методами их вычисления.

 

1. непосредственное интегрирование

2. метод замены переменной

3. метод интегрирования по частям

 

1) (1); 2) (3); 3) (2)

7. Установите соответствие между интегралами и методами их вычисления.

1. непосредственное интегрирование
2. метод замены переменной
3. метод интегрирования по частям

1) (2); 2) (3); 3) (1)

 

8. В результате подстановки интеграл имеет вид:

1) 2) (и) 3) 15 4)

 

9. Неопределенный интеграл равен …

 







Date: 2015-09-02; view: 1066; Нарушение авторских прав



mydocx.ru - 2015-2026 year. (0.636 sec.) Все материалы представленные на сайте исключительно с целью ознакомления читателями и не преследуют коммерческих целей или нарушение авторских прав - Пожаловаться на публикацию