Главная Случайная страница


Полезное:

Как сделать разговор полезным и приятным Как сделать объемную звезду своими руками Как сделать то, что делать не хочется? Как сделать погремушку Как сделать так чтобы женщины сами знакомились с вами Как сделать идею коммерческой Как сделать хорошую растяжку ног? Как сделать наш разум здоровым? Как сделать, чтобы люди обманывали меньше Вопрос 4. Как сделать так, чтобы вас уважали и ценили? Как сделать лучше себе и другим людям Как сделать свидание интересным?


Категории:

АрхитектураАстрономияБиологияГеографияГеологияИнформатикаИскусствоИсторияКулинарияКультураМаркетингМатематикаМедицинаМенеджментОхрана трудаПравоПроизводствоПсихологияРелигияСоциологияСпортТехникаФизикаФилософияХимияЭкологияЭкономикаЭлектроника






Непосредственное интегрирование (Неопределенный интеграл и первообразная)





ТАБЛИЦА ИНТЕГРАЛОВ

1. , кроме n=-1 2.

3. 4.

5. 6.

7. 8.

9. 10.

11. 12.

13. 14.

15. 16.

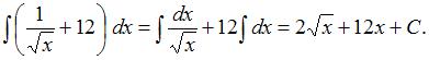
Пример

Решение:
Напоминаем, что интеграл суммы двух функций равен сумме интегралов этих функций и постоянный множитель можно выносить за знак неопределенного интеграла:
Тогда, используя формулу , получим:

1.Неопределенный интеграл
   

 

  равен …
       

2. …(используй формулу 10)

3. Неопределенный интеграл равен …

 

4. Неопределенный интеграл

5. Неопределенный интеграл

6. Неопределенный интеграл равен …

 

7. Неопределенный интеграл равен …

8. Множество всех первообразных функции имеет вид…

9. Множество всех первообразных функции имеет вид…

       
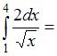
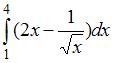
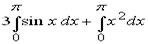
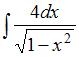
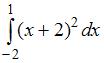
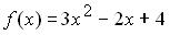
  2.Определенный интеграл. Формула Ньютона-Лейбница Формула Ньютона – Лейбница имеет вид: Пример1 1.Определенный интеграл равен …6 2.Определенный интеграл …56   3.Определенный интеграл … 4 4. Определенный интеграл …6     3. Свойства определенного интеграла Пример.Определенный интеграл равен … Решение: Обращаем внимание, что, используя свойства интеграла и , исходный интеграл можно представить в виде разности двух   1.Определенный интеграл равен …-2   2.Используя свойства определённого интеграла интеграл можно привести к виду: 3.Определенный интеграл равен …0   4. Определенный интеграл …..60        

 

 

5. Определенный интеграл равен … 0

 

6. Определенный интеграл равен …9

7. Определенный интеграл равен …10

8. Определенный интеграл равен …13

 

 

9. …12; 10. … 20;

11. Определенный интеграл равен …1

 







Date: 2015-09-02; view: 352; Нарушение авторских прав



mydocx.ru - 2015-2026 year. (0.111 sec.) Все материалы представленные на сайте исключительно с целью ознакомления читателями и не преследуют коммерческих целей или нарушение авторских прав - Пожаловаться на публикацию