Главная Случайная страница


Полезное:

Как сделать разговор полезным и приятным Как сделать объемную звезду своими руками Как сделать то, что делать не хочется? Как сделать погремушку Как сделать так чтобы женщины сами знакомились с вами Как сделать идею коммерческой Как сделать хорошую растяжку ног? Как сделать наш разум здоровым? Как сделать, чтобы люди обманывали меньше Вопрос 4. Как сделать так, чтобы вас уважали и ценили? Как сделать лучше себе и другим людям Как сделать свидание интересным?


Категории:

АрхитектураАстрономияБиологияГеографияГеологияИнформатикаИскусствоИсторияКулинарияКультураМаркетингМатематикаМедицинаМенеджментОхрана трудаПравоПроизводствоПсихологияРелигияСоциологияСпортТехникаФизикаФилософияХимияЭкологияЭкономикаЭлектроника






Правила дифференцирования





Правила дифференцирования

Производная сложной функции

Производная функции в точке

Наибольшее и наименьшее значения функции на отрезке

Экстремум функции

Дифференциал функции

Правила дифференцирования

Производная суммы двух функций:

Производная произведения постоянной и функции:

Производная произведения двух функций:

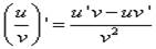
Производная частного двух функций:

Производная сложной функции:


Таблица производных основных элементарных функций:

Пример:

 

1.Производная функции

равна …

2.Производная функции

равна …

3.Производная функции

равна …

   

4.Производная функции равна

2. Производная сложной функции производная сложной функции находится по формуле . Пример: 1.Производная равна … 2.Производная равна … 3.Производная равна … 4.Производная равна … 5.Производная равна … 6.Производная равна … 7.Производная равна … 8. Установите соответствие между функциями и их производными. 1. 1. 2. 2. 3. 3. 3. Производная функции в точке Продифференцировать и подставить вместо x значение Пример1: Пример2:      

1.Если , то принимает значение, равное …-1

2.Если , то принимает значение, равное …3

3.Если , то принимает значение, равное …1

4.Если то принимает значение, равное …2

5.Если , то принимает значение, равное … 5

6. Дана функция . Установите соответствие между производными функции в соответствующих точках и их значениями.

1. 1. -11
2. 2. 0
3. 3. 5

7. Угловой коэффициент касательной к графику функции в точке равен … .6

 







Date: 2015-09-02; view: 533; Нарушение авторских прав



mydocx.ru - 2015-2026 year. (1.186 sec.) Все материалы представленные на сайте исключительно с целью ознакомления читателями и не преследуют коммерческих целей или нарушение авторских прав - Пожаловаться на публикацию