Главная Случайная страница


Полезное:

Как сделать разговор полезным и приятным Как сделать объемную звезду своими руками Как сделать то, что делать не хочется? Как сделать погремушку Как сделать так чтобы женщины сами знакомились с вами Как сделать идею коммерческой Как сделать хорошую растяжку ног? Как сделать наш разум здоровым? Как сделать, чтобы люди обманывали меньше Вопрос 4. Как сделать так, чтобы вас уважали и ценили? Как сделать лучше себе и другим людям Как сделать свидание интересным?


Категории:

АрхитектураАстрономияБиологияГеографияГеологияИнформатикаИскусствоИсторияКулинарияКультураМаркетингМатематикаМедицинаМенеджментОхрана трудаПравоПроизводствоПсихологияРелигияСоциологияСпортТехникаФизикаФилософияХимияЭкологияЭкономикаЭлектроника






Модуль 1.Деньги





 

1. Дайте определение денег

2. Раскройте этапы развития денег

3. Сформулируйте основные функции денег

4. Раскройте основное назначение мировых денег.

5. Поэтапно определите эволюцию денег

6. Раскройте роль и назначение денег в современных условиях

7. Дайте характеристику основных форм денег

8. Определите преимущество каждого вида денег

9. Дайте определение денежного обращения.

10. Раскройте сущность наличного и безналичного обращения.

11. Перечислите формы безналичных расчетов и основной порядок их применения.

12. Сформулируйте основные принципы организации безналичных расчетов.

13. Определите статистический показатель денежной массы.

14. Дайте определение скорости обращения денег.

15. Определите денежные факторы, влияющие на инфляцию.

16. Определите неденежные факторы, влияющие на инфляцию.

17. Перечислите виды денежных реформ.

18. Определите комплекс мер, с помощью которых государство воздействует на инфляционные процессы.

 

 

Задача 1. Рассчитайте оборачиваемость денег, размещенных на расчетном счете. Денежные агрегаты равны ; ;

Задача 2. Определите количество денег, необходимых в качестве средства обращения. Сумма цен по реализованным товарам (услугам, работам) – 4500 млрд. руб. Сумма цен товаров (услуг, работ), проданных с рассрочкой платежа, срок оплаты которых не наступил, - 42 млрд. руб. Сумма платежей по долгосрочным обязательствам, сроки которых наступили, - 172 млрд. руб. Сумма взаимно погашающихся платежей – 400 млрд. руб. Среднее число оборотов денег за год – 10.

 

Задача 3. Рассчитайте скорость оборота денег. Денежная масса наличных и безналичных денег – 400 млрд. руб. Валовой национальный продукт – 4080 млрд. руб.

 

Модуль 2. Кредит

 

1.Дайте определение кредита.

2.Рассмотритеосновные формы кредита.

3. Дайте характеристику функций кредита.

4.Перечислите факторы, влияющие на уровень ставки ссудного процента.

5. Дайте определение кредитной системы.

6. Охарактеризуйте кредитную систему России в целом и по регионам.

7. Перечислите основные функции и операции Центрального банка.

8. Перечислите основные функции коммерческих банков.

9. Определите источники формирования ресурсов коммерческого банка.

10. Охарактеризуйте основные источники привлечения средств коммерческих банков.

Задача 4. Банк выдал кредит в размере 5 млн. руб. на полгода по простой ставке процента 120% годовых.

Определите сумму кредита и процента за него. Для решения задачи используем формулу для исчисления простой ставки процента

,

где - сумма выданного кредита с процентами за его использование;

- сумма кредита;

- простая ставка процента.

 

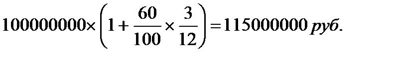
Задача 5. ООО «Лика» открывает депозитный вклад в размере 100 млн. руб. на срок три месяца с начислением процентов в конце срока действия договора из расчета 60% годовых. Требуется определить сумму денег, которую клиент получит в банке по окончании срока договора.

Для решения задачи используем формулу:

,

где БС – будущая сумма после начисления процентов,

НС – настоящая сумма денег,

in – простая процентная ставка,

n – количество лет.

Задача 6. Банк принимает депозиты на полгода по ставке 10% годовых. Определите проценты, выплаченные банком на вклад 150 тыс. руб.

Для решения задачи используем формулу:

,

где i – сумма процентов,

n – количество лет,

P – сумма, на которую начисляются проценты.

Ответы к задачам

Задача 1. Скорость оборота денег:

Задача 2. Количество денег, необходимых в качестве средства обращения:

Задача 3. Скорость оборота денег:

Задача 4.

Сумма процентов, полученная банком за кредит, будет равна:

 

Задача 5. Подставим данные в формулу:

 

Задача 6. Подставляя данные в формулу, получим сумму процентов:

 

 

 

 

 

 

Макарова Наталия Сергеевна

 







Date: 2015-08-24; view: 543; Нарушение авторских прав



mydocx.ru - 2015-2026 year. (0.675 sec.) Все материалы представленные на сайте исключительно с целью ознакомления читателями и не преследуют коммерческих целей или нарушение авторских прав - Пожаловаться на публикацию