Главная Случайная страница


Полезное:

Как сделать разговор полезным и приятным Как сделать объемную звезду своими руками Как сделать то, что делать не хочется? Как сделать погремушку Как сделать так чтобы женщины сами знакомились с вами Как сделать идею коммерческой Как сделать хорошую растяжку ног? Как сделать наш разум здоровым? Как сделать, чтобы люди обманывали меньше Вопрос 4. Как сделать так, чтобы вас уважали и ценили? Как сделать лучше себе и другим людям Как сделать свидание интересным?


Категории:

АрхитектураАстрономияБиологияГеографияГеологияИнформатикаИскусствоИсторияКулинарияКультураМаркетингМатематикаМедицинаМенеджментОхрана трудаПравоПроизводствоПсихологияРелигияСоциологияСпортТехникаФизикаФилософияХимияЭкологияЭкономикаЭлектроника






Контрольные задания. 1(А) Парашютист массой 65 кг спускается с раскрытым парашютом







1(А) Парашютист массой 65 кг спускается с раскрытым парашютом. Чему равна сила сопротивления воздуха Fc в случае установившейся скорости парашютиста? Какова равнодействующая F сил, действующих на парашютиста?

1) FC = 0, F = 0

2) FC = 650 H, F = 650 H

3) FC = 0, F = 650 H

4) FC = 650 H, F = 0

2(А) Шарик приводят в движение по окружности (см. рис.). Какая из стрелок правильно указывает направление равнодействующей всех сил, действующих на шарик в т.А, если скорость шарика постоянна по модулю?

1) 3)

2) 4)

А

3(А) Две тележки разной массы взаимодействуют посредством упругой пластины (см. рис.). Какие величины, характеризующие тележки, будут одинаковы у обеих тележек после пережигания нити?

 

1) Ускорения, полученные тележками.

2) Скорости в момент сразу же после выпрямления пружины.

3) Пути, пройденные тележками до остановки.

4) Силы, действовавшие на тележки в момент выпрямления пружины.

4(А) Тело движется прямолинейно, изменяя скорость в соответствии с графиком. На каких участках графика модуль силы, действующей на тело, равен 3 Н? Масса тела 3 кг.

1) Д и Б 2) Б и В

3) Г и Д 4) В и Д

5(А) Велосипедист массой 60 кг перестаёт вращать педали. Абсолютная величина силы трения, действующая на велосипед, равна 60 Н. Чему равно ускорение велосипедиста, если координатная ось Ох направлена в сторону движения велосипедиста?

1) 0,1 м/с2 2) 1 м/с2 3) 10 м/с2 4) - 1 м/с2

6(А) Тело массой 80 кг лежит на полу лифта, движущегося равнозамедленно вверх с ускорением 5 м/с2. Определите вес тела в лифте.

1) 80 Н 2) 800 Н 3) 1200 Н 4) 400 Н

7(А) Какой из графиков правильно отражает зависимость модуля силы всемирного тяготения F от расстояния r?

1) 2) 3) 4)

8(А) Два астероида массой m каждый находятся на расстоянии r друг от друга и притягиваются с силой F. Какова сила гравитационного притяжения двух других астероидов, если масса каждого 2m, а расстояние между их центрами 2r?

1) F 2) 2F 3) F/4 4) F/2

9(А) На рисунке приведены условные изображения Земли и летающей тарелки и вектора Fт силы притяжения тарелки Землей. Масса летающей тарелки примерно в 1018 раз меньше массы Земли, и она удаляется от Земли. По какой стрелке (1 или 2) направлена и чему равна по модулю сила, действующая на Землю со стороны летающей тарелки?

1) по стрелке 1, равна Fт

2) по стрелке 2, равна Fт

3) по стрелке 1, в 1018 раз меньше Fт

4) по стрелке 2, в 1018 раз меньше Fт

10(А) Космонавт на Земле притягивается к ней с силой 700 Н. С какой силой он будет притягиваться к Марсу, находясь на его поверхности? Радиус Марса в 2 раза, а масса – в 10 раз меньше, чем у Земли?

1) 70 Н 2) 210 Н 3) 140 Н 4) 280 Н

11(А) Искусственный спутник обращается по круговой орбите на высоте 600 км от поверхности планеты со скоростью 3,4 км/с. Радиус планеты равен 3400 км. Чему равно ускорение свободного падения на поверхности планеты?

1) 3,0 км/с2 3) 4,0 м/с2

2) 9,8 м/с2 4) 9,8 км/с2

12(А) Средняя плотность планеты Плюк равна средней плотности планеты Земля, а радиус Плюка в два раза больше радиуса Земли. Во сколько раз первая космическая скорость для Плюка больше, чем для Земли?

1) 1 2) 2 3) 1,41 4) 4

13(А) На полу лифта, движущегося равнозамедленно вниз с ускорением а, лежит груз массой m. Каков вес этого груза?

1) Р = 0 3) Р = mg

2) Р = m(g+a) 4) Р = m(g-a)

14(А) Автомобиль массой 2 т движется со скоростью 30 м/с: а) по плоскому мосту;

б) по выпуклому мосту радиусом 100 м. Определите отношение силы давления автомобиля на плоский мост к силе давления автомобиля на выпуклый мост.

1) 0,1 2) 1 3) 10 4) 100

15(А) К пружине подвешен груз массой 0,1кг. При этом пружина удлинилась на 2,5см. Каким будет удлинение пружины при добавлении ещё двух грузов по 0,1 кг?

1) 5 см 2) 10 см 3) 7,5 см 4) 12,5 см

16(А) Две пружины растягиваются одинаковыми силами F. Жесткость первой пружины k1 в 1,5 раза больше жесткости второй пружины k2. удлинение первой пружины равно х1, а удлинение второй равно

1) 0,5 х1 2) 0,67 х1 3) 1,5 х1 4) 2 х1

17(А) Зависимость длины пружины l от приложенной к одному из ее концов силы представлена на графике. Жесткость пружины равна…

1) 0,5 Н/м

2) 0,25 Н/м

3) 2 Н/м

4) 500 Н/м

18(А) Жесткость каждой из двух пружин равна k. Какова жесткость пружины, составленной из этих пружин, соединенных параллельно?

1) 2k 2) 4k 3) k/2 4) k/4

19(А) У первой грани бруска в форме параллелепипеда площадь и коэффициент трения о стол в 2 раза больше, чем у второй грани. Согласно закону сухого трения при переворачивании бруска с первой грани на вторую сила трения бруска о стол…


1) не изменится

2) уменьшится в 2 раза

3)уменьшится в 4 раза

4) увеличится в2 раза

20(А) При исследовании зависимости силы трения скольжения Fтр от силы нормального давления Fд были получены следующие данные:

Fтр, Н 0,2 0,4 0,6 0,8
Fд, Н 1,0 2,0 3,0 4,0

Из результатов исследования можно заключить, что коэффициент трения скольжения равен

1) 0,2 2) 2 3) 0,5 4) 5

21(А) Брусок массой 0,2 кг покоится на наклонной плоскости (см. рис.). Коэффициент трения между поверхностями бруска и плоскости равен 0,5. Сила трения равна…

1) 0,5 Н 3) 1,7 Н

2) 1 Н 4) 2 Н

30°

22(А) Лифт спускается равномерно со скоростью 2 м/с. Вес человека в лифте равен 700 Н. Какова масса человека?

1) 87,5 кг 2) 58,3 кг 3) 70 кг 4) среди ответов 1- 3 нет правильного

23(А) Ящик массой 100 кг равномерно тащат по полу с помощью веревки. Веревка образует угол 60° с полом. Коэффициент трения между ящиком и полом 0,4. Определите силу натяжения веревки, под действием которой движется ящик.

1) 472,6 Н 2) 800 Н 3) 461,8 Н 4) 591 Н

24(А) Брусок массой 0,5 кг прижат к вертикальной стене силой 10 Н, направленной горизонтально и перпендикулярно стене. Коэффициент трения скольжения между бруском и стеной равен 0,4. Какую минимальную силу надо приложить к бруску по вертикали, чтобы равномерно поднимать его вертикально вверх?

1) 9 Н 2) 7 Н 3) 5 Н 4) 4 Н

25(А) По графикам зависимости модуля силы трения от модуля силы реакции опоры определите соотношение между коэффициентами трения.

1) μ2 = 2μ1

2) μ1 = 4μ2

3) μ1=2μ2

4) μ2=4μ1

26(А) Два шара связаны нитью, перекинутой через неподвижный блок. Массы шаров 2 и 6 кг. Определите силу упругости нити.

1) 30 Н 2) 5 Н 3) 10 Н 4) 90 Н

27(В) Для того, чтобы орбитальная станция двигалась по круговой орбите некоторого радиуса вокруг планеты Альфа, она должна иметь скорость 5 км/с. Масса планеты Бета в 4 раза больше массы планеты Альфа. Найдите скорость движения станции вокруг планеты Бета, если станция движется по орбите того же радиуса.

28(В) Наклонная плоскость образующая угол 250 имеет длину 2 м. Тело, двигаясь равноускоренно, соскользнуло с этой плоскости за 2 с. Определите коэффициент трения.

29(В) Два бруска массой m1= 7 кг и m2= 3кг связаны невесомой нерастяжимой нитью, перекинутой через невесомый блок (см. рис.). Брусок 1 может без трения скользить по наклонной плоскости, образующей с горизонтом угол 300. Найти ускорение брусков, если систему предоставить саму себе.

 

m1

m2

30(В) Ведерко с водой вращают в вертикальной плоскости на веревке длиной 40 см. С какой наименьшей скоростью нужно его вращать, чтобы при прохождении через высшую точку, вода из него не выливалась? Ответ выразить в м/с.

31(В) Определите модуль

равнодействующей всех сил,

приложенных к материальной

точке А. Все векторы сил

лежат в одной плоскости. Модуль вектора силы F1 = 5 Н.

32(В) Брусок массой 400 г под действием груза массой 100 г проходит из состояния покоя путь 80 см за 2 с. Найти коэффициент трения.


 

33(В) Через неподвижный блок перекинута нить, к концам которой подвешены грузы массой по 250 г каждый. На один из грузов положили гирьку массой 10 г. На каком расстоянии друг от друга окажутся грузы через 2 с, если в начале движения они находились на одной высоте? Ответ выразите в сантиметрах и округлите до целого числа.

34(С) К покоящемуся на шероховатой горизонтальной поверхности телу приложена нарастающая с течением времени горизонтальная сила тяги F = bt, где b – постоянная величина. На рисунке представлен график зависимости ускорения тела от времени действия силы. Определить коэффициент трения скольжения. а, м/с2

 

t, с

 

35(С) Масса планеты составляет 0,2 от массы Земли, диаметр планеты втрое меньше, чем диаметр Земли. Чему равно отношение периода обращения искусственного спутника планеты к периоду обращения искусственного спутника Земли? Спутники двигаются по круговым орбитам на небольшой высоте.


Ответы к контрольным заданиям.

10А 11А 12А
                       
13А 14А 15А 16А 17А 18А 19А 20А 21А 22А 23А 24А
                       
25А 26А 27А 28В 29В 30В 31В 32В 33В 34В 35С  
      0,35 0,5 м/с² 2 м/с 2,5Н 0,2 78 см 0,2 0,43  
                                     

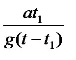
34(С) Для момента начала движения (t1 = 2 с) записать соотношение между приложенной силой и максимальной силой трения покоя:

bt1 = µmg (1)

Для момента времени t > t1, соответствующего движению, записать второй закон Ньютона в проекции на ось Ох:

ma = bt - µmg (2)

Выразив из (1) b и подставив его в (2) получаем:

µ = (3)

По графику для t >2 с найти значение ускорения и подставить в (3)

 

 



 







Date: 2015-08-15; view: 4304; Нарушение авторских прав



mydocx.ru - 2015-2026 year. (1.028 sec.) Все материалы представленные на сайте исключительно с целью ознакомления читателями и не преследуют коммерческих целей или нарушение авторских прав - Пожаловаться на публикацию