Главная Случайная страница


Полезное:

Как сделать разговор полезным и приятным Как сделать объемную звезду своими руками Как сделать то, что делать не хочется? Как сделать погремушку Как сделать так чтобы женщины сами знакомились с вами Как сделать идею коммерческой Как сделать хорошую растяжку ног? Как сделать наш разум здоровым? Как сделать, чтобы люди обманывали меньше Вопрос 4. Как сделать так, чтобы вас уважали и ценили? Как сделать лучше себе и другим людям Как сделать свидание интересным?


Категории:

АрхитектураАстрономияБиологияГеографияГеологияИнформатикаИскусствоИсторияКулинарияКультураМаркетингМатематикаМедицинаМенеджментОхрана трудаПравоПроизводствоПсихологияРелигияСоциологияСпортТехникаФизикаФилософияХимияЭкологияЭкономикаЭлектроника






Примечания. 1. Объяснение математики нелокальности электрона до наблюдения дается в следующей сноске





 

1. Объяснение математики нелокальности электрона до наблюдения дается в следующей сноске.

2. Общее уравнение, или паттерн, для частицы описывает тенденцию ее обнаружения в положении x в определенное время t. Если мы называем эту тенденцию волновой функцией, тогда ψ зависит от x и t (является функцией x и t).

 

Рис. 14.5. Волновой паттерн. Надпись на горизонтальной осиВремя

 

Поскольку зависимость иногда носит волноподобный характер, мы можем использовать общее волновое уравнение. В наиболее общей форме оно выглядит так:

 

 

что попросту означает, что ψ – тенденция быть в точке x на экране в момент t – зависит от x и t периодическим образом. (Спасибо Лейбницу и Ньютону за создание дифференциального исчисления!)

В квантовой механике волновое уравнение называется дифференциальным уравнением в частных производных и может быть записано для одной частицы в одном измерении как

 

Волновое уравнение для одной частицы при отсутствии внешних сил

 

Одно из решений волнового уравнения можно записать как

 

ψ = Ae i(ωt-κx)

 

или как любое сложение или суперпозицию этих ψ. Отметьте присутствие в приведенной выше формуле мнимого числа i. Поэтому ψ представляет собой комплексное число. Читатель вспомнит это решение из главы 8 о комплексных числах, которые можно использовать для представления гармоник и музыки. (Математика комплексных чисел лучше всего подходит для систем с колебаниями вследствие обеспечиваемой ею легкости вычисления и выражения подобных движений.) См. примечания 2 и 3 к главе 8.

В любом случае, волновая функция ψ имеет волноподобное решение, которое в общем виде можно выразить экспоненциальной формой

 

ψ = Ae i(ωt-κx)

 

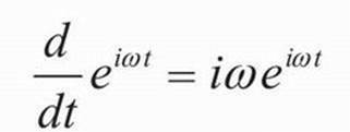
Экспоненциалы делают дифференциальные уравнения очень простыми. При их подстановке сложное на вид уравнение становится алгебраическим, поскольку дифференциал экспоненциальной функции превращает показатель степени числа e в простой множитель.

 

 

Вторая производная делает то же самое, превращая в множитель еще одно iω. Таким образом, дифференцирование экспоненциалов оказывается умножением.

В случае квантовой механики w представляет собой частоту, связанную с классическим выражением для энергии E = hω, где h – постоянная Планка, и h = 2Πк. Волновое число к описывает импульс или момент количества движения электрона p = hk. Если бы мы знали точное волновое число, то знали бы импульс квантового объекта.

Замечательный аспект волнового уравнения, иногда называемый амплитудой, состоит в том, что абсолютный квадрат ψ, который можно получить посредством конъюгации, дает вероятность нахождения частицы в точке x в момент времени t.

Отметьте, что из волновой функции для электрона при отсутствии внешних сил следует равная вероятность его нахождения в любом месте Вселенной! Это означает, что до измерения нам точно не известно, где находится частица. Однако абсолютное значение избавляется от мнимых факторов. Поэтому вероятность ƒ для частицы не меняется в зависимости от пространства или времени. Частица обладает определенной энергией. Вот почему мы иногда говорим, что атом на определенном энергетическом уровне находится в стационарном состоянии.

Квантовая волновая функция и квантовая механика более подробно описаны в Приложении.

3. Математическое выражение результатов конъюгации представляет собой абсолютное действительное значение комплексного числа. Физика интерпретирует это число как представляющее вероятность нахождения частицы в определенной точке на экране.

4. Об этом говорится в главе 8

 

 







Date: 2015-08-15; view: 440; Нарушение авторских прав



mydocx.ru - 2015-2026 year. (1.079 sec.) Все материалы представленные на сайте исключительно с целью ознакомления читателями и не преследуют коммерческих целей или нарушение авторских прав - Пожаловаться на публикацию