Главная Случайная страница


Полезное:

Как сделать разговор полезным и приятным Как сделать объемную звезду своими руками Как сделать то, что делать не хочется? Как сделать погремушку Как сделать так чтобы женщины сами знакомились с вами Как сделать идею коммерческой Как сделать хорошую растяжку ног? Как сделать наш разум здоровым? Как сделать, чтобы люди обманывали меньше Вопрос 4. Как сделать так, чтобы вас уважали и ценили? Как сделать лучше себе и другим людям Как сделать свидание интересным?


Категории:

АрхитектураАстрономияБиологияГеографияГеологияИнформатикаИскусствоИсторияКулинарияКультураМаркетингМатематикаМедицинаМенеджментОхрана трудаПравоПроизводствоПсихологияРелигияСоциологияСпортТехникаФизикаФилософияХимияЭкологияЭкономикаЭлектроника






Газовая динамика





МиНИСТЕРСТВО ОБРАЗОВАНИЯ И НАУКИ РОССИЙСКОЙ ФЕДЕРАЦИИ

ФЕДЕРАЛЬНОЕ государственное БЮДЖЕТНОЕ образовательное учреждение высшего профессионального образования

«тюменский государственный нефтегазовый университет»

Институт Транспорта

Кафедра транспорта углеводородных ресурсов

 

ГАЗОВАЯ ДИНАМИКА

Методические указания по выполнению

лабораторных и самостоятельных работ по дисциплине «Газовая динамика»

для студентов специальности 130501.65 Проектирование, сооружение и эксплуатация газонефтепроводов и газонефтехранилищ

всех форм обучения

 

Тюмень

ТюмГНГУ


Утверждено редакционно-издательским советом

Тюменского государственного нефтегазового университета

Составитель: Чекардовский С. М., к.т.н., доцент.

 

© Федеральное государственное бюджетное образовательное учреждение высшего профессионального образования

«Тюменский государственный нефтегазовый университет», 2012 г.

Ведение

Изучаемый материал в курсе "Газовая динамика" для специальности 130501.65 «Проектирование, сооружение и эксплуатация газонефтепроводов и газонефтехранилищ» по существу представляет собой прикладную науку, в которой основные законы движения сжимаемых сред используются при решении конкретных инженерных задач, в частности при расчетах компрессоров, газовых турбин, сопел и диффузоров, газопро­водов, эжекторов. Теоретическую основу газодинамики составляют законы механики сплошных сред, физики и термодинамики. При изложении курса широко используются знания высшей математики. Наиболее полно свойства газа раскрываются с учетом их молекулярного строения. Однако при изучении движения газа считают, что эти свойства не зависят от малости рассматриваемого объема. Последнее равносильно заданию физических параметров газа в любой точке пространства, причем эти па­раметры являются функциями координат, т.е. газ считается сплошной средой, но в отличие от таких сплошных сред, как твердое тело и жидкость, газ является существенно сжимае­мой средой. Это свойство газа предопределяет основные отличия закономерностей его движения. Именно сжимаемость порождает новые физические явления, справедливые только для сжимаемых сплошных сред. К ним прежде всего следует отнести сверхзвуковые течения и его свойства, ударные волны и скорость их распространения.

Основные газодинамические понятия и зависимости

Основными параметрами, отражающими состояние газа, являются абсолютное давление p, Па; абсолютная температура T, К и плотность r, кг/м3. При нормальном атмосферном давлении на уровне моря (1,013×105 Па) и температуре 288 К плотность воздуха равна 1,23 кг/м3.

Давление, плотность и температура газа связаны между собой уравнением состояния, которое для идеального газа имеет вид

где R – газовая постоянная (для воздуха R = 287,1 Дж/(кг×К)).

При отсутствии теплообмена с окружающей средой и необратимых потерь механической энергии между параметрами газа существует соотношение, которое называют уравнением изоэнтропической адиабаты:

,

где с – постоянная, которая определяется по параметрам начального состояния газа, – показатель изоэнтропической адиабаты, ср изобарная теплоемкость, Дж/(кг К); с v – изохорная теплоемкость, Дж/(кг×К). Для одноатомных газов показатель адиабаты равен 1,66; для двухатомных, к которым относят и воздух, – 1,4; для многоатомных – 1,33.

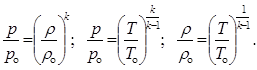
Связь между основными параметрами в различных точках рассматриваемого процесса определяется следующими уравнениями:

Характеристикой энергетического состояния газа является скорость звука в нем. Под скоростью звука в газовой динамике понимают скорость распространения в газе слабых возмущений, и она может быть вычислена по формуле

Зависимость скорости звука от высоты над уровнем моря в свободной атмосфере может быть определена по “стандартной атмосфере” (см. табл. П 3.1).

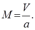
Важнейшим газодинамическим параметром является число Маха – отношение скорости движения газа к местной скорости звука в нем:

Конусом Маха (линией Маха в плоском течении) называют огибающую поверхность звуковых сферических волн. Угол наклона элемента линии Маха b по отношению к вектору скорости потока в данной точке называют углом Маха. Между углом Маха и числом Маха существует следующее соотношение:

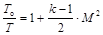
Параметры потока, соответствующие числу Маха, равному единице, называют критическими и обозначают "*": . Параметры неподвижного газа (заторможенного потока) обозначают индексом "о": T о, p о, r о, i o.


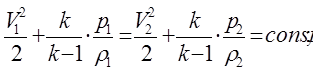
При расчете одномерных адиабатических течений идеального газа главную роль играет уравнение сохранения энергии (уравнение Бернулли):

,

где i – энтальпия газа, Дж/кг,

.

Уравнение энергии применяют в одной из следующих форм:

где – коэффициент скорости; t (l), p (l) и e (l) газодинамические функции (значения их приведены в табл. П 3.2).

Коэффициент скорости и число Маха связаны между собой уравнениями

Задачи

Задача 1. Определить газодинамические функции потока воздуха, движущегося со скоростью V из бака, температура в котором Tо, давление – ро.

Величина Варианты
                   
V, м/с                    
T о, К                    
р о, МПа 0,2 0,3 0,4 0,5 0,6 0,2 0,3 0,4 0,5 0,6

Задача 2. На высоте H самолет достиг скорости V. Какая это скорость, дозвуковая или сверхзвуковая?

Величина Варианты
                   
Н, км                    
V, м/с                    

Задача 3. До и после изоэнтропического сжатия в некотором объеме воздуха произведены измерения скорости звука. Определить порядок изменения плотности воздуха, если скорость звука возросла на х %.

Величина Варианты
                   
x,%                    

Задача 4. Звук работы двигателя зарегистрирован через tс после пролета самолета над пунктом

регистрации. Определить скорость пролета, если высота H.

Величина Варианты
                   
t, с 2,0 2,0 2,0 2,5 2,5 2,5 3,0 3,0 3,0 3,0
H, км                    

Задача 5. Определить максимальную скорость воздуха, при которой его можно рассматривать как несжимаемую жидкость, если допустимо пренебрегать изменениями плотности до x %. Параметры торможения – стандартные на уровне моря.

Величина Варианты
                   
x, %                    

Одномерное изоэнтропическое течение газа

Уравнение сохранения энергии может быть представлено в следующих формах:

Связь между параметрами движущегося и заторможенного газа осуществляется с помощью уравнений:

;

;

;

.

Скорость газа, равную местной скорости звука, называют критической. Параметры потока в точках, где движение происходит с критической скоростью, также называют критическими.

Критические параметры могут быть определены через параметры торможения, если учесть, что при :


.

Уравнение сохранения энергии применяют для определения параметров движущегося газа в различных сечениях. При истечении из бака, внутри которого параметры газа равны р0, T0, a0, r0 скорость истечения рассчитывают по формуле

Максимальная скорость, которая может быть получена лишь при истечении через сопло Лаваля, имеющего как сужающийся, так и расширяющийся участки, при противодавлении р, равном нулю, определяется по выражению

Задачи

Задача 1. В потоке воздуха без ударных волн махметр показывает в одной точке угол Маха b1, в другой – b2. Каково соотношение между статическими давлениями в этих точках?

Величина Варианты
                   
b 1 27,7 27,7 27,7              
b 2                    

Задача 2. Какие параметры (p, t) должен иметь воздух в форкамере сверхзвуковой трубы, чтобы при расчетном расширении он вытекал в атмосферу со скоростью V, м/с при температуре –70˚С? Каково при этом будет соотношение между плотностью воздуха в струе и плотностью воздуха при нормальных условиях?

Величина Варианты
                   
V, м/с                    

Задача 3. По теневому фотоснимку обтекания иглы сверхзвуковым потоком воздуха измерен угол b между поверхностью слабой конической волны и направлением невозмущенного потока. Термопара, открытая навстречу потоку, показывает температуру Tо. Найти скорость потока.

Величина Варианты
                   
b о                    
T о, К                    

Задача 4. Найти скорость звука, критерий Маха, коэффициент скорости l и значение газодинамической функции t для струи воздуха, вытекающей из баллона со скоростью, равной половине максимальной теоретической скорости истечения. Температура в баллоне Tо.

Величина Варианты
                   
T о, К                    

Задача 5. Какую максимальную скорость воздуха можно получить в сверхзвуковой трубе без подогрева, если учесть, что воздух сжижается при температуре T = 78 K, а истекает из баллона, температура в котором Tо.

Величина Варианты
                   
T о, К                    

 


Определение расхода газа через сопло

Практически важным примером движения газа, которое с хорошим приближением можно считать одномерным и изоэнтропическим, является его истечение из резервуара через сопло, когда давление на его срезе равно давлению во внешней среде, внутри сопла нет скачков уплотнения и в минимальном сечении скорость газа равна скорости звука. При подсчете секундного расхода газа через сопло удобно пользоваться приведенным секундным расходом q:

,

где S* – площадь критического сечения сопла; S – площадь сечения, в котором достигается скорость V.

Приведенный секундный расход является функцией числа Маха (либо коэффициента скорости) и определяется по формулам

или

.

Значения q(M) и q(l) приведены в табл. П 3.2.

Приведенный секундный расход можно также выразить через отношение давлений p:

(1)

При истечении газа через сужающееся (конфузорное) сопло в случае, когда , секундный весовой расход рассчитывают по формуле

, (2)

а когда – по формуле

. (3)

Здесь ра – давление во внешней среде, Па; S – площадь выходного сечения сопла, м2; постоянная ; k – показатель адиабаты; R – газовая постоянная, Дж/(кг К). Для воздуха k = 1,4; R = 287 Дж/(кг К); BG = 0,0405, с×К1/2/м.

Эти формулы можно использовать и при расчете расхода газа через сопло Лаваля. В этом случае S = Sвых (Sвых – площадь выходного сечения сопла). Далее по дозвуковой части табл. П 3.2 определяют безразмерное давление p1д, соответствующее величине данного сопла.

Если , то в формулу (2) необходимо подставить значение . Это равносильно применению формулы (3), в которой S = Sмин. Данное условие означает, что в горле сопла скорость звуковая.

В случае, когда , величина q в формуле (2) должна определяться не соотношением площадей , а рассчитываться по формуле (1) в соответствии со значением .

В некоторых задачах весовой секундный расход вычисляют по формуле

,

где – газодинамическая функция.

Скорость дозвукового потока определяют по уравнению

По данному уравнению можно рассчитать и скорость сверхзвукового потока газа, если известно изоэнтропическое давление торможения сверхзвукового потока (например, давление в резервуаре, из которого происходит истечение).

Задачи

Задача 1. Воздух истекает из баллона в атмосферу через конфузорное сопло с диаметром выходного сечения d. Давление газа в баллоне ро и температура – Tо. Найти массовый секундный расход воздуха через сопло.

Величина Варианты
                   
d, м 0,03 0,04 0,05 0,06 0,07 0,03 0,04 0,05 0,06 0,07
р о, ата                    
T о, K                    

Задача 2. Найти площади входного и выходного сечений S1 и S2 дозвукового диффузора ВРД для полета при числе l1 на высоте H, если максимальный секундный расход воздуха через диффузор Gt равен 200 кг/с; на выходе из диффузора l2 не должна превышать величины, указанной в таблице. Потерями полного давления можно пренебречь. Определить р1 и р2.

Величина Варианты
                   
l 1 0,8 0,7 0,6 0,5 0,9 0,8 0,7 0,6 0,7 0,6
H, км                    
l 2 0,2 0,15 0,1 0,1 0,3 0,2 0,15 0,1 0,15 0,2

Задача 3. Подобрать площадь критического сечения сверхзвукового сопла, обеспечивающую секундный расход воздуха Gt, если истечение расчетное, давление торможения ро = 5 ати, а температура торможения Tо = 288 К.

Величина Варианты
                   
G t, кг/с                    

 

Задача 4. Задано соотношение площадей выходного и минимального сечений сопла S 1/ S мин. При каких соотношениях давлений р a/ р о можно применить для расчета массового секундного расхода воздуха через сопло формулу

Величина Варианты
                   
S 1/ S мин                    

Задача 5. В сечении 1 дозвуковой части идеального сопла Лаваля известны: давление в потоке р1, температура торможения Tо1, приведенная скорость l1. Требуется определить приведенную скорость l2 и давление воздуха в сечении 2, где T2 задана.

Величина Варианты
                     
р 1×10-5, Па                      
T о1, K                      
l 1 0,6 0,7 0,5 0,6 0,7 0,8 0,5 0,6 0,7 0,6  
T 2, K                      
                       
Tо, K                      

 

Прямые скачки уплотнения

Торможение плоского сверхзвукового потока газа происходит посредством скачков уплотнения. Торможение на скачке является адиабатическим, но неизоэнтропическим процессом. На скачке скорость (V), число Маха (M), коэффициент скорости (l) - уменьшаются, а плотность (r), абсолютное давление (р) и абсолютная температура (T) - уве­личиваются.

Из параметров торможения не претерпевает разрыва на скачках температура торможения (Tо) и связанные с нею Vmax, ао, а*, iо, ро/rо. Давление торможения и плотность торможения уменьшаются на скачках. Величина - коэффициент восстановления полного давления, характеризует необратимые потери механической энергии на скачке (индексом “1” отмечены параметры потока до скачка, а индексом “2” – после скачка).

При переходе через прямой скачок направление потока газа не изменяется.

Основное соотношение, используемое при расчете изменений скорости в прямом скачке, имеет вид

.

Давления и плотности до и после скачка связаны зависимостью

.

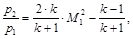
Для чисел Маха имеем:

.

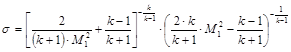
Коэффициент восстановления давления торможения s определяется по числу Маха до скачка M1 на основании следующей зависимости:

,

а при использовании в качестве аргумента коэффициента скорости l1 формула примет вид

.

Коэффициент восстановления давления торможения может быть найден и с помощью приведенного секундного расхода q(l):

.

Статические давления и плотности на скачке подчиняются соотношениям

Отношение давления торможения после скачка к статическому давлению до скачка определяют по формуле Релея:

Течение газа с учетом трения

Качественные выводы о влиянии трения и изменения сечения газохода на скорость одномерного потока газа могут быть сделаны на основании уравнения:

(1)

где l, S и – коэффициент скорости газа, площадь поперечного сечения и координата данного сечения трубы, выраженная в калибрах трубы, соответственно; lтр – коэффициент сопротивления трубы.

Для адиабатического течения газа в цилиндрической трубе коэффициент скорости находят по уравнению

, (2)

которое является интегралом уравнения (1) при dS = 0 и .

В уравнении (2) l1 – коэффициент скорости в начальном сечении трубы, – приведенная длина трубы.

Скорость газа на входе определяет величину

.

Предположим, что l1<1. Тогда, если

то

то

, то течение с числом l1 на входе невозможно.

При l1 > 1 возможны следующие варианты:

торможение посредством скачков уплотнения приведет к на выходе

Задачи

Задача 1. В трубу длиной калибров воздух втекает с безразмерной скоростью l1. Приняв коэффициент трения , определить режим истечения из трубы (l < 1, l = 1, l > 1).

Величина Варианты
                   
, калибров                    
l 1 0,4 0,5 0,6 0,3 0,4 0,5 0,6 0,6 0,5 0,4

Задача 2. Найти длину трубы, из которой воздух будет истекать со скоростью звука, если на входе в трубу безразмерная скорость l1, коэффициент трения lтр.

Величина Варианты
                   
l 1 0,6 0,7 0,5 0,6 0,7 0,5 0,6 0,7 0,5 0,6
l тр×102 0,5       1,5 1,5 2,5   1,5  

Задача 3. Поток воздуха входит в трубу длиной калибров. Найти минимальную сверхзвуковую скорость на входе, при которой в трубе появится скачок уплотнения. Считать .

Величина Варианты
                   
, калибров                    

Задача 4. Воздух течет через сопло Лаваля с дозвуковой скоростью. Площадь выходного сечения сопла S2 в n раз больше площади минимального сечения S1. Трубкой полного напора в выходном сечении определено давление ро2 = 1,085 ата. В минимальном сечении через отверстие в стенке измерено давление р1 = 0,978 ата. Определить коэффициент восстановления давления торможения между минимальным и выходным сечениями.

Величина Варианты
                   
n 1,7 1,8 1,9 2,0 1,9 1,8 1,7 1,6 1,5 2,0

 

Задача 5. Конический переходник 1–2 соединяет трубы диаметром D 1 и D 2. В сечении 1 давление торможения р о1, а безразмерная скорость l 1. Найти R – силу воздействия на фундамент в сечении 1, возникающую за счет течения воздуха по переходнику. Потери давления торможения отразить, положив

 

Величина Варианты
                   
D 1, мм                    
D 2, мм                    
р о1, ата       3,5     3,5     3,5
l 1 0,8 0,8 0,7 0,75 0,7 0,8 0,7 0,75 0,7 0,8

 

Течение газа при наличии энергообмена

В практическом занятии рассматривается одномерное течение газа, происходящее либо с добавлением энергии извне (подогрев, работа компрессора), либо с отводом энергии во внешнюю среду. Качественная сторона задач такого типа описывается уравнением

,

где dQ – теплота, сообщаемая газу или отнимаемая у него; dL – механическая работа, совершаемая газом (dL > 0), либо работа, совершаемая над газом (dL < 0).

Для течений с подводом и отводом теплоты в цилиндрических трубах имеют место следующие зависимости:

уравнение неразрывности:

;

уравнение сохранения полного импульса:

и их следствия:

;

;

;

.

Для определения результирующих сил, действующих на газопроводы, применяют теорему импульсов в векторной форме:

,

либо (для труб с прямолинейной осью) в одной из скалярных форм:

;

;

,

где f(l) и r(l) – газодинамические функции, содержащиеся в табл. П 3.2.

Если обозначить полный секундный импульс газа в данном сечении , то формулы для определения функций z(l), f(l) и r(l) будут следующими:

;

;

.

Задачи

Задача 1. Скорость газа, текущего по цилиндрической трубе, возрастает от V1 до V2 за счет подогрева. Найти величину понижения давления в газе, если плотность газа до подогрева r1.

Величина Варианты
                   
V 1, м/с                    
V 2, м/с                    
r 1, кг/м3 2,4 3,0 3,5 2,0 2,5 2,5 3,0 3,0 3,0 3,0

Задача 2. Поток воздуха нагревается в цилиндрической трубе за счет теплоты сгорания топлива, расход которого составляет 5% от расхода воздуха. До подогрева скорость воздуха V1, давление р1, температура торможения Tо1. Найти скорость и давление газа в сечении трубы, где температура торможения Tо2 = 1500 К.

Принять k = 1,33; R = 291 Дж/(кг К). Трением пренебречь.

Величина Варианты  
                     
  V 1, м/с                    
  р 1, МПа 1,0 1,2 1,0 1,0 1,0 1,0 1,5 1,5 1,5 2,0
  T о1, К                    
                                             

Задача 3. Найти реакцию потока газа на стенки канала ПВРД при скорости полета V на высоте H. Площадь потока, захватываемого двига­телем, S = 0,7 м2, показатель адиабаты k = 1,3, температура торможения газов на выходе из двигателя 2000 К.

Принять lвых = 0,98×lвх. Различие расхода газа на входе в двигатель и выходе из него не учитывать.

Величина Варианты
                   
V, км/час                    
H, км                    

 

Задача 4. На входе в цилиндрическую трубу ско­рость потока воздуха V 1 при значении числа Маха, рав­ном M 1. Поток в трубе ускоряется компрессором без те­плообмена с окружающей средой. С какой скоростью воздух истекает из трубы, если на выходе из нее число Маха принимает значение М 2?

 

Величина Варианты
                   
V 1, м/с                    
М 1   0,7 0,6 1,2 1,3 1,4 1,3 1,5    
М 2       3,5 3,5 3,5        

Задача 5. В результате отвода теплоты от воздуха, движущегося по цилиндрической трубе, давление, измеряемое на стенке трубы, уменьшилось на участке охлаждения в N раз. Найти число Маха потока в конце участка охлаждения, если в начале участка M = 2,16.

Величина Варианты
                   
N 1,8 2,0 2,2 1,8 2,0 2,2 2,4 1,8 2,0 2,2

Задача 6. Определить максимальное повышение температуры торможения воздуха при подогреве его в трубе без изменения параметров потока в начальном сечении, если начальная температура торможения To = 400 К, а начальная безразмерная скорость воздуха l1.

Величина Варианты
                   
l 1 0,3 0,4 0,5 0,2 0,3 0,4 0,5 0,2 0,3 0,3

Задача 7. На входе в цилиндрическую подогревательную трубу поток воздуха имеет температуру торможения To1 = 300 К и безразмерную скорость l1 = 0,5. Найти температуру торможения To2 после подогрева, обеспечивающую на выходе из трубы безразмерную скорость l2.

Величина Варианты
                   
l 2 0,9 0,8 0,7 0,9 0,9 0,8 0,7 0,9 0,8 0,7

 

Приложение

Физические свойства воздуха

t, оС r, кг/м3 n ×106, м2 t, оС r, кг/м3 n ×106, м2
  1,247 14,16   1,060 18,97
  1,205 15,06   1,029 20,02
  1,165 16,00   1,000 21,09
  1,128 16,96   0,972 22,10
  1,093 17,95   0,946 23,13

Таблица П 1.6

Положение центра тяжести плоских фигур
и формулы моментов инерции относительно оси,
проходящей через центр тяжести

Форма пластины Центр тяжести Момент инерции

Таблица П 1.7

Эквивалентная равномерно-зернистая шероховатость

Материал и вид трубы Состояние трубы Dэ, мм
Тянутые из цветных металлов Новые, технически гладкие 0–0,002
Бесшовные стальные Новые и чистые 0,01–0,02
После эксплуатации 0,15–0,3
Стальные сварные Новые и чистые 0,03–0,1
С незначительной коррозией после очистки 0,1–0,2
Умеренно заржавевшие 0,3–0,7
Старые заржавевшие 0,8–1,5
Сильно заржавевшие 2–4
Оцинкованные железные Новые чистые 0,1–0,2
После нескольких лет эксплуатации 0,4–0,7
Чугунные Новые асфальтированные 0–0,16
Новые без покрытия 0,2–0,5
Бывшие в употреблении 0,5–1,5
Асбоцементные Новые 0,05–0,1

Таблица П 1.8

Коэффициент формы поперечного сечения

Форма поперечного сечения d э А
Квадрат со стороной а а  
Равносторонний треугольник со стороной а 0,58 а  
Кольцевой просвет шириной 2 а  
Прямоугольник со сторонами a и b:    
2 а  
1,6 а  
1,3 а  

 

Таблица стандартной атмосферы

H, м P H, мм рт. ст. T oH, К D n H×104, м2 а H, м/с  
  760,0 288,0 1,000 0,144 340,2  
  716,0 284,75 0,953 0,150 338,3  
  674,1 281,5 0,907 0,155 336,4  
    634,2 278,25 0,864 0,161 334,4
    596,2 275,0 0,822 0,168 332,5
    560,1 271,75 0,781 0,175 330,5
    525,8 268,5 0,742 0,182 328,5
    493,2 265,25 0,705 0,189 326,5
    462,2 262,0 0,669 0,197 324,5
    432,9 258,75 0,634 0,206 322,5
    405,1 255,5 0,601 0,214 320,5
    378,7 252,25 0,569 0,224 318,4
    353,8 249,0 0,538 0,234 316,3
    330,2 245,75 0,509 0,244 314,3
    307,8 242,5 0,481 0,255 312,2
    286,8 239,25 0,454 0,267 310,1
    266,9 236,0 0,429 0,280 308,0
    248,1 232,75 0,404 0,293 305,9
    230,5 229,5 0,381 0,307 303,7
    213,8 226,25 0,358 0,323 301,6
    198,2 223,0 0,337 0,339 299,4
                         

Принятые обозначения: H – высота над уровнем моря; Р H – давление воздуха на соответствующей высоте; T оH – температура торможения на высоте H; D - относительная плотность воздуха при параметрах торможения; n H - коэффициент кинематической вязкости воздуха; а H – скорость звука в воздухе.

Таблица П 3.2







Date: 2015-08-15; view: 2544; Нарушение авторских прав



mydocx.ru - 2015-2026 year. (1.241 sec.) Все материалы представленные на сайте исключительно с целью ознакомления читателями и не преследуют коммерческих целей или нарушение авторских прав - Пожаловаться на публикацию