Главная Случайная страница


Полезное:

Как сделать разговор полезным и приятным Как сделать объемную звезду своими руками Как сделать то, что делать не хочется? Как сделать погремушку Как сделать так чтобы женщины сами знакомились с вами Как сделать идею коммерческой Как сделать хорошую растяжку ног? Как сделать наш разум здоровым? Как сделать, чтобы люди обманывали меньше Вопрос 4. Как сделать так, чтобы вас уважали и ценили? Как сделать лучше себе и другим людям Как сделать свидание интересным?


Категории:

АрхитектураАстрономияБиологияГеографияГеологияИнформатикаИскусствоИсторияКулинарияКультураМаркетингМатематикаМедицинаМенеджментОхрана трудаПравоПроизводствоПсихологияРелигияСоциологияСпортТехникаФизикаФилософияХимияЭкологияЭкономикаЭлектроника






Максвелл ввел понятие полного тока,равного сумме токов проводимости (а также конвекционных токов) и смещения.Плотность полного тока 1 page





Введя понятия тока смещения и полного тока, Максвелл по-новому подошел к рас­смотрению замкнутости цепей переменного тока. Полный ток в них всегда замкнут, т. е. на концах проводника обрывается лишь ток проводимости, а в диэлектрике (вакууме) между концами проводника имеется ток смещения, который замыкает ток проводимости.

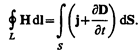
Максвелл обобщил теорему о циркуляции вектора Н (см. (133.10)), введя в ее правую часть полный ток I полн = j полнd S сквозь поверхность S, натянутую на замкнутый контур L. Тогда обобщенная теорема о циркуляции вектора Н запишется в виде

(138.4)

Выражение (138.4) справедливо всегда, свидетельством чего является полное соответст­вие теории и опыта.

§ 139. Уравнения Максвелла для электромагнитного поля

Введение Максвеллом понятия тока смещения привело его к завершению созданной им макроскопической теории электромагнитного поля, позволившей с единой точки зре­ния не только объяснить электрические и магнитные явления, но и предсказать новые, существование которых было впоследствии подтверждено.

В основе теории Максвелла лежат рассмотренные выше четыре уравнения:

1. Электрическое поле (см. § 137) может быть как потенциальным (Е Q), так и вихревым (Е B), поэтому напряженность суммарного поля Е = Е Q + Е B. Так как цир­куляция вектора Е Q равна нулю (см. (137.3)), а циркуляция вектора Е B определяется выражением (137.2), то циркуляция вектора напряженности суммарного поля

Это уравнение показывает, что источниками электрического поля могут быть не только электрические заряды, но и изменяющиеся во времени магнитные поля.

2. Обобщенная теорема о циркуляции вектора Н (см. (138.4)):

Это уравнение показывает, что магнитные поля могут возбуждаться либо движущими­ся зарядами (электрическими токами), либо переменными электрическими полями.

3. Теорема Гаусса для поля D (см. (89.3)):

(139.1)

Если заряд распределен внутри замкнутой поверхности непрерывно с объемной плот­ностью r, то формула (139.1) запишется в виде

4. Теорема Гаусса для поля В (см. (120.3)):

Итак, полная система уравнений Максвелла в интегральной форме:

Величины, входящие в уравнения Максвелла, не являются независимыми и между ними существует следующая связь (изотропные несегнетоэлектрические и неферромагнитные среды):

где e 0 и m 0 — соответственно электрическая и магнитная постоянные, e и m — соответст­венно диэлектрическая и магнитная проницаемости, g — удельная проводимость веще­ства.

Из уравнений Максвелла вытекает, что источниками электрического поля могут быть либо электрические заряды, либо изменяющиеся во времени магнитные поля, а магнитные поля могут возбуждаться либо движущимися электрическими зарядами (электрическими токами), либо переменными электрическими полями. Уравнения Мак­свелла не симметричны относительно электрического и магнитного полей. Это связано с тем, что в природе существуют электрические заряды, но нет зарядов магнитных.

Для стационарных полей (E= const и B= const ) уравнения Максвелла примут вид

т.е. источниками электрического поля в данном случае являются только электрические заряды, источниками магнитного — только токи проводимости. В данном случае электрические и магнитные поля независимы друг от друга, что и позволяет изучать отдельно постоянные электрическое и магнитное поля.

Воспользовавшись известными из векторного анализа теоремами Стокса и Гаусса

можно представить полную систему уравнении Максвелла в дифференциальном форме (характеризующих поле в каждой точке пространства):

Если заряды и токи распределены в пространстве непрерывно, то обе формы уравнений Максвелла — интегральная и дифференциальная — эквивалентны. Однако если имеются поверхности разрыва – поверхности, на которых свойства среды или полей меняются скачкообразно, то интегральная форма уравнений является более общей.

Уравнения Максвелла в дифференциальной форме предполагают, что все величины в пространстве и времени изменяются непрерывно. Чтобы достичь математической эквивалентности обеих форм уравнений Максвелла, дифференциальную форму допол­няют граничными условиями, которым должно удовлетворять электромагнитное поле на границе раздела двух сред. Интегральная форма уравнений Максвелла содержит эти условия. Они были рассмотрены раньше (см. § 90, 134):

(первое и последнее уравнения отвечают случаям, когда на границе раздела нет ни свободных зарядов, ни токов проводимости).

Уравнения Максвелла — наиболее общие уравнения для электрических и магнит­ных полей в покоящихся средах. Они играют в учении об электромагнетизме такую же роль, как законы Ньютона в механике. Из уравнений Максвелла следует, что перемен­ное магнитное поле всегда связано с порождаемым им электрическим полем, а пере­менное электрическое поле всегда связано с порождаемым им магнитным, т. е. элект­рическое и магнитное поля неразрывно связаны друг с другом — они образуют единое электромагнитное поле.


Теория Максвелла, являясь обобщением основных законов электрических и магнит­ных явлений, не только смогла объяснить уже известные экспериментальные факты, что также является важным ее следствием, но и предсказала новые явления. Одним из важных выводов этой теории явилось существование магнитного поля токов смещения (см. § 138), что позволило Максвеллу предсказать существование электромагнитных волн — переменного электромагнитного поля, распространяющегося в пространстве с конечной скоростью. В дальнейшем было доказано, что скорость распространения свободного электромагнитного поля (не связанного с зарядами и токами) в вакууме равна скорости света с = 3×108 м/с. Этот вывод и теоретическое исследование свойств электромагнитных волн привели Максвелла к созданию электромагнитной теории света, согласно которой свет представляет собой также электромагнитные волны. Электромагнитные волны на опыте были получены немецким физиком Г. Герцем (1857—1894), доказавшим, что законы их возбуждения и распространения полностью описываются уравнениями Максвелла. Таким образом, теория Максвелла была экс­периментально подтверждена.

К электромагнитному полю применим только принцип относительности Эйн­штейна, так как факт распространения электромагнитных волн в вакууме во всех системах отсчета с одинаковой скоростью с не совместим с принципом относи­тельности Галилея.

Согласно принципу относительности Эйнштейна, механические, оптические и элект­ромагнитные явления во всех инерциальных системах отсчета протекают одинаково, т. е. описываются одинаковыми уравнениями. Уравнения Максвелла инвариантны относительно преобразований Лоренца: их вид не меняется при переходе от одной инерциальной системы отсчета к другой, хотя величины Е, В, D, Н в них преобразуются по определенным правилам.

Из принципа относительности вытекает, что отдельное рассмотрение электрического и магнитного полей имеет относительный смысл. Taк, если электрическое поле создается системой неподвижных зарядов, то эти заряды, являясь неподвижными относительно одной инерциальной системы отсчета, движутся относительно другой и, следовательно, будут порождать не только электрическое, но и магнитное поле. Аналогично, неподвижный относительно одной инерциальной системы отсчета про­водник с постоянным током, возбуждая в каждой точке пространства постоянное магнитное поле, движется относительно других инерциальных систем, и создаваемое им переменное магнитное поле возбуждает вихревое электрическое поле.

Таким образом, теория Максвелла, ее экспериментальное подтверждение, а также принцип относительности Эйнштейна приводят к единой теории электрических, маг­нитных и оптических явлений, базирующейся на представлении об электромагнитном поле.

 

4 КОЛЕБАНИЯ И ВОЛНЫ

Глава 18 Механические и электромагнитные колебания


§ 140. Гармонические колебания и их характеристики

Колебаниями называются движения или процессы, которые характеризуются опреде­ленной повторяемостью во времени. Колебательные процессы широко распространены в природе и технике, например качание маятника часов, переменный электрический ток и т. д. При колебательном движении маятника изменяется координата его центра масс, в случае переменного тока колеблются напряжение и ток в цепи. Физическая природа колебаний может быть разной, поэтому различают колебания механические, электро­магнитные и др. Однако различные колебательные процессы описываются одинаковы­ми характеристиками и одинаковыми уравнениями. Отсюда следует целесообразность единого подхода к изучению колебаний различной физической природы. Например, единый подход к изучению механических и электромагнитных колебаний применялся английским физиком Д. У. Рэлеем (1842—1919), А. Г. Столетовым, русским инжене­ром-экспериментатором П. Н. Лебедевым (1866—1912). Большой вклад в развитие теории колебаний внесли Л. И. Мандельштам (1879—1944) и его ученики.

Колебания называются свободными (или собственными), если они совершаются за счет первоначально сообщенной энергии при последующем отсутствии внешних воз­действий на колебательную систему (систему, совершающую колебания). Простейшим типом колебаний являются гармонические колебания — колебания, при которых колеб­лющаяся величина изменяется со временем по закону синуса (косинуса). Рассмотрение гармонических колебаний важно по двум причинам: 1) колебания, встречающиеся в природе и технике, часто имеют характер, близкий к гармоническому; 2) различные периодические процессы (процессы, повторяющиеся через равные промежутки времени) можно представить как наложение гармонических колебаний. Гармонические колеба­ния величины s описываются уравнением типа

(140.1)

где А — максимальное значение колеблющейся величины, называемое амплитудой колебания, w 0круговая (циклическая) частота, j — начальная фаза колебания в мо­мент времени t= 0, (w 0 t + j) — фаза колебания в момент времени t. Фаза колебания определяет значение колеблющейся величины в данный момент времени. Так как косинус изменяется в пределах от +1 до –1, то s может принимать значения от до –А.

Определенные состояния системы, совершающей гармонические колебания, повто­ряются через промежуток времени Т, называемый периодом колебания, за который фаза колебания получает приращение 2 p, т. е.

откуда

(140.2)

Величина, обратная периоду колебаний,

(140.3)

т. е. число полных колебаний, совершаемых в единицу времени, называется частотой колебаний. Сравнивая (140.2) и (140.3), получим

Единица частоты — герц (Гц): 1 Гц — частота периодического процесса, при кото­рой за 1 с совершается один цикл процесса.

Запишем первую и вторую производные по времени от гармонически колеблющей­ся величины s:


(140.4)

(140.5)

т. е. имеем гармонические колебания с той же циклической частотой. Амплитуды величин (140.4) и (140.5) соответственно равны Аw 0 и Аw . Фаза величины (140.4) отличается от фазы величины (140.1) на p/ 2, а фаза величины (140.5) отличается от фазы величины (140.1) на p. Следовательно, в моменты времени, когда s= 0, d s/ d t приобрета­ет наибольшие значения; когда же s достигает максимального отрицательного значе­ния, то d2 s/ d t 2 приобретает наибольшее положительное значение (рис. 198).

Из выражения (140.5) следует дифференциальное уравнение гармонических колебаний

(140.6)

(где s = A cos (w 0 t + j)). Решением этого уравнения является выражение (140.1).

Гармонические колебания изображаются графически методом вращающегося век­тора амплитуды, или методом векторных диаграмм. Для этого из произвольной точ­ки О, выбранной на оси х, под углом j, равным начальной фазе колебания, откладыва­ется вектор А, модуль которого равен амплитуде А рассматриваемого колебания (рис. 199). Если этот вектор привести во вращение с угловой скоростью w 0, равной циклической частоте колебаний, то проекция конца вектора будет перемещаться по оси х и принимать значения от –А до +А, а колеблющаяся величина будет изменяться со временем по закону s=A cos (w 0 t + j). Таким образом, гармоническое колебание мож­но представить проекцией на некоторую произвольно выбранную ось вектора амп­литуды А, отложенного из произвольной точки оси под углом j, равным начальной фазе, и вращающегося с угловой скоростью w 0 вокруг этой точки.

В физике часто применяется другой метод, который отличается от метода враща­ющегося вектора амплитуды лишь по форме. В этом методе колеблющуюся величину представляют комплексным числом. Согласно формуле Эйлера, для комплексных чисел

(140.7)

где — мнимая единица. Поэтому уравнение гармонического колебания (140.1) можно записать в комплексной форме:

(140.8)

Вещественная часть выражения (140.8)

представляет собой гармоническое колебание. Обозначение Re вещественной части условимся опускать и (140.8) будем записывать в виде

В теории колебаний принимается, что колеблющаяся величина s равна вещественной части комплексного выражения, стоящего в этом равенстве справа.

§ 141. Механические гармонические колебания

Пусть материальная точка совершает прямолинейные гармонические колебания вдоль оси координат х около положения равновесия, принятого за начало координат. Тогда зависимость координаты х от времени t задается уравнением, аналогичным уравнению (140.1), где s=x:

(141.1)

Согласно выражениям (140.4) в (140.5), скорость v и ускорение а колеблющейся точки соответственно равны

(141.2)

Сила F=ma, действующая на колеблющуюся материальную точку массой т, с учетом (141.1) и (1412) равна

Следовательно, сила пропорциональна смещению материальной точки из положения равновесия и направлена в противоположную сторону (к положению равновесия).

Кинетическая энергия материальной точки, совершающей прямолинейные гармони­ческие колебания, равна

(141.3)

или

(141.4)

Потенциальная энергия материальной точки, совершающей гармонические колеба­ния под действием упругой силы F, равна

(141.5)

или

(141.6)

Сложив (141.3) и (141.5), получим формулу для полной энергии:

(141.7)

Полная энергия остается постоянной, так как при гармонических колебаниях справе­длив закон сохранения механической энергии, поскольку упругая сила консервативна.

Из формул (141.4) и (141.6) следует, что Т и П изменяются с частотой 2w0, т. е. с частотой, которая в два раза превышает частоту гармонического колебания. На рис. 200 представлены графики зависимости x, T и П от времени. Так как ásin2añ = ácos2añ = 1/2, то из формул (141.3), (141.5) и (14l.7) следует, что á T ñ = áПñ = ½ E.

§ 142. Гармонический осциллятор. Пружинный, физический и математический маятники

Гармоническим осциллятором называется система, совершающая колебания, описыва­емые уравнением вида (140.6);

(142.1)

Колебания гармонического осциллятора являются важным примером периодического движения и служат точной или приближенной моделью во многих задачах классичес­кой и квантовой физики. Примерами гармонического осциллятора являются пружин­ный, физический и математический маятники, колебательный контур (для токов и на­пряжений столь малых, что элементы контура можно было бы считать линейными; см. §146).

1. Пружинный маятник — это груз массой т, подвешенный на абсолютно упругой пружине и совершающий гармонические колебания под действием упругой силы F = –kx, где k — жесткость пружины. Уравнение движения маятника

Из выражений (142.1) и (140.1) следует, что пружинный маятник совершает гармоничес­кие колебания по закону х=А соs (w0 t + j) с циклической частотой

(142.2)

и периодом

(142.3)

Формула (142.3) справедлива для упругих колебаний в пределах, в которых выполняет­ся закон Гука (см. (21.3)), т. е. когда масса пружины мала по сравнению с массой тела. Потенциальная энергия пружинного маятника, согласно (141.5) и (142.2), равна

2. Физический маятник — это твердое тело, совершающее под действием силы тяжести колебания вокруг неподвижной горизонтальной оси, проходящей через точку О, не совпадающую с центром масс С тела (рис. 201).

Если маятник отклонен из положения равновесия на некоторый угол a, то в соот­ветствии с уравнением динамики вращательного движения твердого тела (18.3) момент M возвращающей силы можно записать в виде

(142.4)

где J — момент инерции маятника относительно оси, проходящей через точку подве­са О, l – расстояние между ней и центром масс маятника, Ft= –mg sina» –mga. — возвращающая сила (знак минус обусловлен тем, что направления Ft и a всегда противоположны; sin a» a соответствует малым колебаниям маятника, т.е. малым отклонениям маятника из положения равновесия). Уравнение (142.4) можно записать в виде

Принимая

(142.5)

получим уравнение

идентичное с (142.1), решение которого (140.1) известно:

(142.6)

Из выражения (142.6) следует, что при малых колебаниях физический маятник совершает гармонические колебания с циклической частотой w0 (см. (142.5)) и периодом

(142.7)

где L=J/ (ml) приведенная длина физического маятника.

Точка О' на продолжении прямой ОС, отстоящая от точки О подвеса маятника на расстоянии приведенной длины L, называется центром качаний физического маятника (рис. 201). Применяя теорему Штейнера (16.1), получим

т. е. ОО' всегда больше ОС. Точка подвеса О маятника и центр качаний О' обладают свойством взаимозаменяемости: если точку подвеса перенести в центр качаний, то прежняя точка О подвеса

станет новым центром качаний, и период колебаний физичес­кого маятника не изменится.

3. Математический маятник — это идеализированная система, состоящая из материальной точки массой т, подвешенной на нерастяжимой невесомой нити, и колеб­лющаяся под действием силы тяжести. Хорошим приближением математического маятника является небольшой тяжелый шарик, подвешенный на тонкой длинной нити. Момент инерции математического маятника

(142.8)

где l — длина маятника.

Так как математический маятник можно представить как частный случай физичес­кого маятника, предположив, что вся его масса сосредоточена в одной точке — центре масс, то, подставив выражение (142.8) в формулу (1417), получим выражение для периода малых колебаний математического маятника

(142.9)

Сравнивая формулы (142.7) и (142.9), видим, что если приведенная длина L физичес­кого маятника равна длине l математического маятника, то периоды колебаний этих маятников одинаковы. Следовательно, приведенная длина физического маятника — это длина такого математического маятника, период колебаний которого совпадает с пери­одом колебаний данного физического маятника.

§ 143. Свободные гармонические колебания в колебательном контуре

Среди различных электрических явлений особое место занимают электромагнитные колебания, при которых электрические величины (заряды, токи) периодически изменя­ются и которые сопровождаются взаимными превращениями электрического и магнит­ного полей. Для возбуждения и поддержания электромагнитных колебаний использует­ся колебательный контур — цепь, состоящая из включенных последовательно катушки индуктивностью L, конденсатора емкостью С и резистора сопротивлением R.

Рассмотрим последовательные стадии колебательного процесса в идеализирован­ном контуре, сопротивление которого пренебрежимо мало ( 0). Для возбуждения в контуре колебаний конденсатор предварительно заряжают, сообщая его обкладкам заряды ± Q. Тогда в начальный момент времени t= 0 (рис. 202, а) между обкладками конденсатора возникнет электрическое поле, энергия которого Q 2 (см. (95.4)). Если замкнуть конденсатор на катушку индуктивности, он начнет разряжаться, и в контуре потечет возрастающий со временем ток I. В результате энергия электрического поля будет уменьшаться, а энергия магнитного поля катушки (она равна воз­растать.

Так как 0, то, согласно закону сохранения энергии, полная энергия

таккак она на нагревание не расходуется. Поэтому в момент t= ¼ T, когда конден­сатор полностью разрядится, энергия электрического поля обращается в нуль, а энер­гия магнитного поля (а следовательно, и ток) достигает наибольшего значения (рис. 202, б). Начиная с этого момента ток в контуре будет убывать; следовательно, начнет ослабевать магнитное поле катушки, и в ней индуцируется ток, который течет (согласно правилу Ленца) в том же направлении, что и ток разрядки конденсатора. Конденсатор начнет перезаряжаться, возникнет электрическое поле, стремящееся осла­бить ток, который в конце концов обратится в нуль, а заряд на обкладках конденсатора достигнет максимума (рис. 202, в). Далее те же процессы начнут протекать в обратном направлении (рис. 202, г) и система к моменту времени t=Т придет в первоначальное состояние (рис. 202, а). После этого начнется повторение рассмотренного цикла разряд­ки и зарядки конденсатора. Если бы потерь энергии не было, то в контуре совершались бы периодические незатухающие колебания, т.е. периодически изменялись (колеба­лись) бы заряд Q на обкладках конденсатора, напряжение U на конденсаторе и сила тока I, текущего через катушку индуктивности. Следовательно, в контуре возникают электрические колебания, причем колебания сопровождаются превращениями энергий электрического и магнитного полей.

Электрические колебания в колебательном контуре можно сопоставить с механи­ческими колебаниями маятника (рис. 202 внизу), сопровождающимися взаимными превращениями потенциальной и кинетической энергий маятника. В данном случае энергия электрического поля конденсатора (Q 2 / (2 C)) аналогична потенциальной энер­гии маятника, энергия магнитного поля катушки (LQ 2 / 2) кинетической энергии, сила тока в контуре — скорости движения маятника. Индуктивность L играет роль массы т, а сопротивление контура — роль силы трения, действующей на маятник.

Согласно законуОма, для контура, содержащего катушку индуктивностью L, конденсатор емкостью С и резистор сопротивлением R,

где IR— напряжение на резисторе, Uc=Q/C— напряжение на конденсаторе, – э.д.с. самоиндукции, возникающая в катушке при протекании в ней переменного тока ( – единственная э.д.с. в контуре). Следовательно,

(143.1)

Разделив (143.1) на L и подставив получим дифференциальное уравнение колебаний заряда Q в контуре:

(143.2)







Date: 2015-08-15; view: 564; Нарушение авторских прав



mydocx.ru - 2015-2026 year. (0.461 sec.) Все материалы представленные на сайте исключительно с целью ознакомления читателями и не преследуют коммерческих целей или нарушение авторских прав - Пожаловаться на публикацию