Главная Случайная страница


Полезное:

Как сделать разговор полезным и приятным Как сделать объемную звезду своими руками Как сделать то, что делать не хочется? Как сделать погремушку Как сделать так чтобы женщины сами знакомились с вами Как сделать идею коммерческой Как сделать хорошую растяжку ног? Как сделать наш разум здоровым? Как сделать, чтобы люди обманывали меньше Вопрос 4. Как сделать так, чтобы вас уважали и ценили? Как сделать лучше себе и другим людям Как сделать свидание интересным?


Категории:

АрхитектураАстрономияБиологияГеографияГеологияИнформатикаИскусствоИсторияКулинарияКультураМаркетингМатематикаМедицинаМенеджментОхрана трудаПравоПроизводствоПсихологияРелигияСоциологияСпортТехникаФизикаФилософияХимияЭкологияЭкономикаЭлектроника






Принцип неопределенности в теории оптического сигнала





Наблюдаемые физические процессы в оптике часто отождествляются с аналитическими сигналами, что позволяет применять для их описания и анализа развитый математический аппарат теории сигналов. В рамках этой теории принцип неопределенности приобретает смысл закономерности, связывающей локализации сигнала в координатном и частотном пространствах.

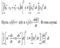
Пусть s 1(t) и s 2 (t) - зависящие от времени комплексные сигналы. Для них справедливо неравенство Шварца:

 

Левая часть неравенства, в случае , что справедливо для реальных физических сигналов, равна квадрату энергии сигнала:

Таким образом:

Если s(ω) - спектральная плотность сигнала s(t), то и . Согласно равенству Парсеваля: , и неравенство примет вид:

Подставляя в неравенство и извлекая квадратный корень, получим соотношение неопределенности для сигнала в окончательном виде:

(5.1)

Если речь идет об оптическом сигнале, то умножением неравенства (4.1) на постоянную Планка η получается классическое соотношение неопределенности Гейзенберга для энергии и времени ΔE⋅Δt ≥ η/ 2, так как ΔE = ηΔω.

Если же одновременно умножить и поделить (5.1) на фазовую скорость света v = c / n, то получится: . Так как vΔt = Δx и , то получается другая классическая форма соотношения неопределенности для координаты и импульса фотона:

.

В случае пространственного двумерного оптического сигнала s(x, y), спектр которого s(u,v) и энергия , аналогично с помощью неравенства Шварца выводятся соотношения: .

Перемножая их, получаем общее соотношение: . Если же сигнал зависит также и от времени: s(x, y;t), то его спектр зависит от частоты: s(u,v;ω), и соответственно, полное соотношение неопределенности:

.

При необходимости учета состояния поляризации сигнала, которая имеет две ортогональные составляющие, левая часть соотношения умножается на 2:

.

Особую важность данные соотношения приобретают в связи с задачей о передаче и преобразовании информации, носителем которой выступает сигнал с ограниченным спектром.

Таким образом, соотношение неопределенности, утверждающее, что частота и интервал дискретизации сигнала не могут быть одновременно сколь угодно малыми, накладывает физическое ограничение на информационную емкость сигнала.







Date: 2015-08-07; view: 724; Нарушение авторских прав



mydocx.ru - 2015-2026 year. (0.595 sec.) Все материалы представленные на сайте исключительно с целью ознакомления читателями и не преследуют коммерческих целей или нарушение авторских прав - Пожаловаться на публикацию