Главная Случайная страница


Полезное:

Как сделать разговор полезным и приятным Как сделать объемную звезду своими руками Как сделать то, что делать не хочется? Как сделать погремушку Как сделать так чтобы женщины сами знакомились с вами Как сделать идею коммерческой Как сделать хорошую растяжку ног? Как сделать наш разум здоровым? Как сделать, чтобы люди обманывали меньше Вопрос 4. Как сделать так, чтобы вас уважали и ценили? Как сделать лучше себе и другим людям Как сделать свидание интересным?


Категории:

АрхитектураАстрономияБиологияГеографияГеологияИнформатикаИскусствоИсторияКулинарияКультураМаркетингМатематикаМедицинаМенеджментОхрана трудаПравоПроизводствоПсихологияРелигияСоциологияСпортТехникаФизикаФилософияХимияЭкологияЭкономикаЭлектроника






Основные свойства преобразования Фурье





Знание основных свойств преобразования Фурье позволяет значительно упростить анализ основных закономерностей пространственного спектра.

Чтобы показать, что функция f (x) и F (u) связаны интегральным преобразованием будем писать f (x) ⇔ F (u).

1. Свойства линейности. Пусть F 1(u) и F 2(u) Фурье-образы функций f 1(x) и f 2(x) соответственно, а a 1 и a 2 - произвольные комплексные числа. В этом случае Фурье-образ функции f (x) = a 1 f 1(x) + a 2 f 2(x) равен

Таким образом, спектр пространственных частот сложного объекта любой произвольной формы можно получить как сумму спектров простых геометрических фигур, пространственные спектры которых известны, что значительно упрощает вычислительные процедуры.

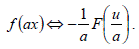
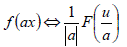
2. Изменение масштаба. Пусть a действительное число, тогда

.

Если a >0, то

если a <0,

Это свойство является очень важным для дифракции. Оно позволяет связать изменение размера изделия с изменением периода пространственного спектра.

Показывает их обратно пропорциональную зависимость.

3. Свойства сдвига. Если функцию f (x) сдвинуть на величину a, то мы получим

Из этого выражения следует, что смещение функции f(x) на величину a приводит лишь к дополнительному вращению фазы на величину ua, а модуль Фурье-образа остается неизменным.

Из этого свойства следует одно из основных достоинств приборов и устройств, основанных на дифракции - инвариантность к смещениям исследуемого объекта. (По определению: система, создающая изображение, является пространственно инвариантной, если изображение точечного источника меняет только положение, но не свою функциональную форму по мере того, как этот источник пробегает поле предмета) 11 Существует и обратное свойство

т.е. умножение исходной функции на exp(± ju0x) приводит к сдвигу Фурье- образа.

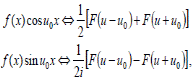
4. Свойство интерференции. Если имеются две одинаковые функции смещенные друг относительно друга на величину 2a, то

Следовательно, расстояние между последовательными нулевыми значениями функции равно π/a. Измеряя это расстояние можно определить постоянную a.

5. Свойства симметрии. Это свойство определяет четность преобразования Фурье и его удобно представить в виде таблицы 1.

Таблица 2.1

Функция f(x) Функция F(u) Функция [F(u)]2
Вещественная и четная Вещественная и четная Вещественная и четная
Вещественная и нечетная Мнимая и нечетная Вещественная и четная
Мнимая и четная Мнимая и четная Вещественная и четная
Мнимая и нечетная Вещественная и нечетная Вещественная и четная
Комплексная и четная Комплексная и четная Вещественная и четная
Комплексная и нечетная Комплексная и нечетная Вещественная и четная

6. Свойство спектров, взаимно дополнительных экранов. Рассмотрим свойство преобразования Фурье, присущее функциям, попарно дополняющим друг друга, т.е. таким у которых прозрачные части одного в точности совпадают с непрозрачными частями другого.

Для таких функций f(x) + fдоп(x) = 1.

Пропускание объекта fдоп(x) = 1 - f(x).

Его Фурье-спектр Fдоп(u) = δ (u) − F(u).

Таким образом, спектры, дополняющих друг друга бинарных объектов отличаются аддитивным членом, сконцентрированным на оптической оси (в начале координат).

 







Date: 2015-08-07; view: 716; Нарушение авторских прав



mydocx.ru - 2015-2026 year. (0.354 sec.) Все материалы представленные на сайте исключительно с целью ознакомления читателями и не преследуют коммерческих целей или нарушение авторских прав - Пожаловаться на публикацию