Главная Случайная страница


Полезное:

Как сделать разговор полезным и приятным Как сделать объемную звезду своими руками Как сделать то, что делать не хочется? Как сделать погремушку Как сделать так чтобы женщины сами знакомились с вами Как сделать идею коммерческой Как сделать хорошую растяжку ног? Как сделать наш разум здоровым? Как сделать, чтобы люди обманывали меньше Вопрос 4. Как сделать так, чтобы вас уважали и ценили? Как сделать лучше себе и другим людям Как сделать свидание интересным?


Категории:

АрхитектураАстрономияБиологияГеографияГеологияИнформатикаИскусствоИсторияКулинарияКультураМаркетингМатематикаМедицинаМенеджментОхрана трудаПравоПроизводствоПсихологияРелигияСоциологияСпортТехникаФизикаФилософияХимияЭкологияЭкономикаЭлектроника






Фурье-образы наиболее часто встречающихся в оптике двумерных сигналов и их свойства





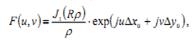
1.Форма сигнала – круг радиусом R, распределение амплитуды равномерное Физический аналог – дифракция Фраунгофера плоской волны на круглом отверстии. Фурье-образ такого сигнала (с точностью до постоянного множителя): где – функция Бесселя первого рода первого порядка, Δx0 и Δy0 – смещение сигнала по осям X и Y соответственно. J1 является действительной и четной функцией, поэтому при отсутствии смещения (Δx0 = Δy0 = 0) Фурье-образ также действительный и четный. При наличии смещения в Фурье-образе возникают дополнительные осцилляции, частота которых пропорциональна смещению. Действительная часть остается четной, мнимая часть является нечетной. Смещение является чисто фазовой добавкой, и модуль Фурье-образа не изменяется, так что вид дифракционной картины, пропорциональный его квадрату, сохраняется (рис. 2.2).

2.Форма сигнала – эллипс с полуосями a и b, амплитуда постоянная Физический аналог – дифракция Фраунгофера плоской волны на эллиптическом отверстии. Фурье-образ такого сигнала (с точностью до постоянного множителя): , где – функция Бесселя первого рода первого

порядка; Δx0 и Δy0 – смещение сигнала по осям x и

y соответственно.

При отсутствии смещения Фурье-образ также действительный и четный.

Эллиптичность приводит к “деформации” Фурье-образа. Он разворачивается

на 90° относительно ориентации исходного эллипса

 







Date: 2015-08-07; view: 546; Нарушение авторских прав



mydocx.ru - 2015-2026 year. (0.389 sec.) Все материалы представленные на сайте исключительно с целью ознакомления читателями и не преследуют коммерческих целей или нарушение авторских прав - Пожаловаться на публикацию