Главная Случайная страница


Полезное:

Как сделать разговор полезным и приятным Как сделать объемную звезду своими руками Как сделать то, что делать не хочется? Как сделать погремушку Как сделать так чтобы женщины сами знакомились с вами Как сделать идею коммерческой Как сделать хорошую растяжку ног? Как сделать наш разум здоровым? Как сделать, чтобы люди обманывали меньше Вопрос 4. Как сделать так, чтобы вас уважали и ценили? Как сделать лучше себе и другим людям Как сделать свидание интересным?


Категории:

АрхитектураАстрономияБиологияГеографияГеологияИнформатикаИскусствоИсторияКулинарияКультураМаркетингМатематикаМедицинаМенеджментОхрана трудаПравоПроизводствоПсихологияРелигияСоциологияСпортТехникаФизикаФилософияХимияЭкологияЭкономикаЭлектроника






Б) бипризма Френеля (когерентные источники - мнимые источники света, которые получились на продолжении расходящегося пучка лучей)





- ширина интерференционной картины

Демонстрация опыта с бипризмой Френеля [6, c. 18]

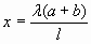
В) бизеркала Френеля (свет, излучаемый источником света от обоих зеркал распространяется в виде двух пучков, исходящих из точек S1 и S2, которые являются мнимыми источниками света)

- ширина интерференционной картины

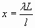
Г) зеркало Ллойда (когерентные источники - сам источник света и его мнимое изображение)

Демонстрация опыта с зеркалом Ллойда [6, 19]

- ширина интерференционной картины

Д) кольца Ньютона

Демонстрация колец Ньютона [6, c. 21-22]

Е) интерференция в тонких пленках (когерентные волны от одного источника возникают при отражении света от передней и задней поверхностей тонких пленок)

Опыт показывает, что когда два независимых источника света, например две свечи, или даже два различных участка одного и того же светящегося тела посылают световые волны в одну область пространства, то мы не наблюдаем интерференции и констатируем сложение интенсивностей. После изложенного в предыдущих параграфах мы не можем, конечно, считать результаты такого опыта доказательством несостоятельности волновых представлений о свете. Отсутствие устойчивой (наблюдаемой) интерференционной картины может обозначать только, что наши источники не посылают когерентных волн. Это означает, следовательно, что посылаемые источниками волны — немонохроматические. То обстоятельство, что даже с наилучшими в смысле монохроматичности источниками (свечение разреженных газов) мы не можем получить интерференции от независимых источников, есть доказательство того, что ни один источник не излучает строго монохроматического света. Сказанное относится ко всем нелазерным источникам света. Однако высокая монохроматичность лазерного излучения допускает наблюдение интерференции световых пучков, излучаемых двумя разными лазерами.

Нетрудно понять физическую причину немонохроматичности реального нелазерного излучения, а следовательно, и некогерентности волн, испускаемых двумя независимыми источниками света.. Действительно, испускание света происходит вследствие атомных процессов, и в двух самостоятельных источниках света мы будем иметь дело с излучением атомов, не связанных друг с другом. В каждом из таких атомов процесс излучения длится очень короткое время, обрываясь вследствие потери энергии в результате излучения или помех и взаимодействий с окружающими атомами. Даже в наиболее благоприятных случаях, когда мешающее действие окружающих атомов сведено к минимуму (свечение сильно разреженных газов), длительность «правильного» излучения не превышает стомиллионных долей секунды. После прекращения свечения атом может вновь начать испускать световые волны, но, конечно, уже с новой начальной фазой. Поэтому разность фаз между излучениями двух таких независимых атомов будет изменяться при начале всякого нового акта испускания, т. е. через чрезвычайно короткие промежутки времени: такие источники излучают некогерентные волны, и мгновенные интерференционные картины, ими даваемые, сменяются настолько быстро и беспорядочно, что мы можем наблюдать только среднюю картину, т. с. равномерное распределение освещенности.







Date: 2015-08-06; view: 1044; Нарушение авторских прав



mydocx.ru - 2015-2026 year. (2.043 sec.) Все материалы представленные на сайте исключительно с целью ознакомления читателями и не преследуют коммерческих целей или нарушение авторских прав - Пожаловаться на публикацию