Главная Случайная страница


Полезное:

Как сделать разговор полезным и приятным Как сделать объемную звезду своими руками Как сделать то, что делать не хочется? Как сделать погремушку Как сделать так чтобы женщины сами знакомились с вами Как сделать идею коммерческой Как сделать хорошую растяжку ног? Как сделать наш разум здоровым? Как сделать, чтобы люди обманывали меньше Вопрос 4. Как сделать так, чтобы вас уважали и ценили? Как сделать лучше себе и другим людям Как сделать свидание интересным?


Категории:

АрхитектураАстрономияБиологияГеографияГеологияИнформатикаИскусствоИсторияКулинарияКультураМаркетингМатематикаМедицинаМенеджментОхрана трудаПравоПроизводствоПсихологияРелигияСоциологияСпортТехникаФизикаФилософияХимияЭкологияЭкономикаЭлектроника






Интерференция света. Условие получения интерференции. Методы осуществления когерентности в оптике





Интерфере́нция све́та — перераспределение интенсивности света в результате наложения (суперпозиции) нескольких когерентных световых волн. Это явление сопровождается чередующимися в пространстве максимумами и минимумами интенсивности. Её распределение называется интерференционной картиной.

ИНТЕРФЕРЕНЦИЯ СВЕТА - пространственное перераспределение энергии светового излучения при наложении двух или неск. световых волн, частный случай общего явления интерференции волн. Нек-рые явления И. с. исследовались ещё И. Ньютоном в 17 в., но не могли быть им объяснены с точки зрения его корпускулярной теории. Правильное объяснение И. с. как типично волнового явления было дано в нач. 19 в. Т. Юнгом (Th. Young) и О. Френелем (A. Fresnel). Наиб, широко известна И. с., характеризующаяся образованием стационарной (постоянной во времени) интерференционной картины (и. к.) - регулярного чередования в пространстве областей повыш. и пониж. интенсивности света, получающейся в результате наложения когерентных световых пучков, т. е. в условиях постоянной (или регулярно меняющейся) разности фаз. Реже и только в спец. условиях эксперимента наблюдаются явления нестационарной И. с., к к-рым относятся световые биения и эффекты корреляции интенсивностей. Строгое объяснение явлений нестационарной И. с. требует учёта как волновых, так и корпускулярных свойств света и даётся на основе квантовой электродинамики. Стационарная И. с. возникает при наличии когерентности (определ. корреляции фаз) налагающихся волн. Взаимно когерентные световые пучки могут быть получены путём разделения и последующего сведения лучей, исходящих от общего источника света. При этом требование когерентности налагает нек-рые ограничения на угл. размеры источника и на ширину спектра излучения.

Методы получения интерференции света:

А) опыт Юнга: (когерентные источники света - две узкие щели; в результате деления фронта волны световые волны, идущие от щелей, будут когерентными)

Давайте определим положения максимума и минимума:

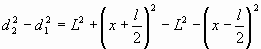
По теореме Пифагора определим d 1 и d 2

;

Найдем разность

Раскрывая скобки и упростив выражение, получаем

Используя формулу сокращенного умножения, получаем . Отсюда

Найдем геометрическую разность хода

Т.к. d2+d1= 2 L, следовательно разность хода равна:

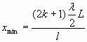
Максимум: , отсюда

Минимум: , отсюда

Опр.: расстояние между двумя максимумами или минимумами называется шириной интерференционной картины (x) - ширина интерференционной картины







Date: 2015-08-06; view: 1809; Нарушение авторских прав



mydocx.ru - 2015-2026 year. (0.504 sec.) Все материалы представленные на сайте исключительно с целью ознакомления читателями и не преследуют коммерческих целей или нарушение авторских прав - Пожаловаться на публикацию