Главная Случайная страница


Полезное:

Как сделать разговор полезным и приятным Как сделать объемную звезду своими руками Как сделать то, что делать не хочется? Как сделать погремушку Как сделать так чтобы женщины сами знакомились с вами Как сделать идею коммерческой Как сделать хорошую растяжку ног? Как сделать наш разум здоровым? Как сделать, чтобы люди обманывали меньше Вопрос 4. Как сделать так, чтобы вас уважали и ценили? Как сделать лучше себе и другим людям Как сделать свидание интересным?


Категории:

АрхитектураАстрономияБиологияГеографияГеологияИнформатикаИскусствоИсторияКулинарияКультураМаркетингМатематикаМедицинаМенеджментОхрана трудаПравоПроизводствоПсихологияРелигияСоциологияСпортТехникаФизикаФилософияХимияЭкологияЭкономикаЭлектроника






Затухание контуров преселектора ДВ диапазона





 

Исходя из величины коэффициента перекрытия (2.1) принимаем решение о преселекторе с перестраиваемыми по частоте контурами.

Определим основные колебательные системы:

Обобщенная расстройка

Резонансная кривая одиночного контура

(2.9)

Резонансная кривая двухконтурного полосового фильтра (ДПФ)

(2.10)

 

При малой зависимости от частоты по диапазону входного сопротивления УРЧ: ,

зависимость эквивалентного затухания от частоты, при заданном эквивалентном затухании на минимальной частоте диапазона, согласно рекомендации [4]:

(2.11)

Эквивалентное затухание на минимальной частоте диапазона выберем из соображения обеспечения заданного ослабления на краях полосы пропускания преселектора. Распределим ослабление на краях полосы следующим образом:

, .

В качестве рабочих рассмотрим два варианта построения избирательных систем преселектора:

· Одноконтурная входная цепь и одиночный контур на выходе УРЧ:

В этом случае для обеспечения заданного ослабления на краях полосы пропускания

необходимо выбрать эквивалентное затухание на максимальной и минимальной

частотах диапазона »5, » 2, при этом для обеспечения заданной избирательности по зеркальному каналу потребуется fпр=1.6 М гц, что в свою очередь приведет к селективной системе в тракте ПЧ с затуханием»50 Дб/октаву (~ восемь LC - систем).

Для понижения промежуточной частоты необходимо увеличивать эквивалентную добротность контуров преселектора, что для данной селективной системы приведет к ослаблению на краях полосы пропускания менее – 2 Дб.

Принимаем решение использовать в преселекторе ДПФ.

· Одноконтурная входная цепь и двухконтурный полосовой фильтр на выходе УРЧ:

Для получения максимально плоской вершины, согласно рекомендации [3], принимаем эквивалентное затухание одиночного контура в два раза больше эквивалентного затухания каждого из контуров ДПФ. При этом для обеспечения заданного ослабления на краях полосы пропускания и избирательности по зеркальному каналу, остается две степени свободы: эквивалентное затухание на минимальной частоте диапазона и обобщенный параметр связи между контурами ДПФ. Выберем эти параметры исходя только из обеспечения заданного ослабления на краях полосы пропускания, а затем определим необходимую fпр, для обеспечения избирательности по зеркальному каналу.

Область допустимых значений h =f(1/dэ.дв.min), обеспечивающих заданное ослабление на краях полосы пропускания, приведена на рисунке 2.2. Согласно данным рисунка 2.2, выбираем значения искомых параметров:

hдв=2, =21, при этом согласно формуле (2.11) » 9.

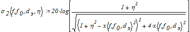
Выражение для избирательной системы ДВ диапазона:

(2.12)

,

где

- вычислено по формуле (2.9);

- вычислено по формуле (2.10);

- вычислено по формуле (2.11);

Резонансная кривая контуров ДВ диапазона (2.12), настроенных на минимальную частоту (наихудший случай при обеспечении заданного ослабления на краях полосы пропускания), приведена на рисунке 2.3

Рисунок 2.2 – Область допустимых значений h и 1/dэ.дв.min, обеспечивающих заданное ослабление на краях полосы пропускания Рисунок 2.3 – Резонансная кривая контуров ДВ диапазона (Дб).

 







Date: 2015-07-27; view: 775; Нарушение авторских прав



mydocx.ru - 2015-2026 year. (1.182 sec.) Все материалы представленные на сайте исключительно с целью ознакомления читателями и не преследуют коммерческих целей или нарушение авторских прав - Пожаловаться на публикацию