Главная Случайная страница


Полезное:

Как сделать разговор полезным и приятным Как сделать объемную звезду своими руками Как сделать то, что делать не хочется? Как сделать погремушку Как сделать так чтобы женщины сами знакомились с вами Как сделать идею коммерческой Как сделать хорошую растяжку ног? Как сделать наш разум здоровым? Как сделать, чтобы люди обманывали меньше Вопрос 4. Как сделать так, чтобы вас уважали и ценили? Как сделать лучше себе и другим людям Как сделать свидание интересным?


Категории:

АрхитектураАстрономияБиологияГеографияГеологияИнформатикаИскусствоИсторияКулинарияКультураМаркетингМатематикаМедицинаМенеджментОхрана трудаПравоПроизводствоПсихологияРелигияСоциологияСпортТехникаФизикаФилософияХимияЭкологияЭкономикаЭлектроника






Примеры расчета опор и фундаментов для роторно-квантовой ветроэнергетической установки





Методика расчета выполнена доктором технических наук академиком РАЕН В. И. Бургу.
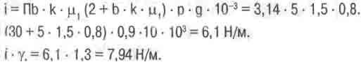
Определяем площадь поверхности ветростанции:

Ветровая нагрузка.

Пульсирующая ветровая нагрузка.

Полная ветровая нагрузка.

Гололедная нагрузка.

Нагрузка от гололеда на трос на уровне фундамента.

Общая нагрузка в трос на уровне фундамента.

Определяем толщину троса.

Принимаем
В качестве фундамента для растяжек принимаем квадратную в основании пирамиду высотой 3 м. Стороны квадрата равны 3 м (рис. 20.5).
Объем бетона
Вес бетона
Устойчивость не обеспечена.


Рис. 20.5. Схема анкерных призм роторно-квантовой
ветроэнергетической установки "Березка" мощностью 800 кВт.

Однако над пирамидой действует грунт весом

Тогда общий вес фундаманта вместе с грунтом

Устойчивость обеспечена.

Расчет центрального фундамента ВЭУ - 800 кВт.
Вес ВЭУ- 800 кВт = 10000 Н.
Вес гололеда = 10000 Н.

Принимаем общий вес 100000 Н; у n = 1,15.

Принимаем расчетное сопротивление грунта R0 = 0,1 мПа.
Бетон В 15 с Rbt = 0,75 мПа; Rbn = 11,0 мПа; R6 = 8,5 мПа;
Арматуру А-2 с Rs = 280 мПа.
Принимаем глубину заложения фундамента Н = 1,20м.

Стороны фундамента а = b = 1 = 1м.
Принимаем а = b = 1,2м.
Давление грунта

Проверяем условия прочности на действие О.
P=‹ 1.5* Rbt*ho

69.4 -1 ‹ 1.5*750*1.13 = 1271 kN.

Максимальный изгибающий момент

Площадь сечения арматуры

Принимаем сетку с 14 стержнями в обоих направлениях площадью

Шаг стержней

Принимаем S = 90 мм.
Процент армирования

На рисунке 20.6. показана схема основного фундамента РКВЭС.
Такой же фундамент принимаем и под другие ветроэнергетические установки мощностью 200-400 кВт.


Рис. 20.6. Схема фундамента роторно-квантовой ветроэнергетической установки
"Березка" мощностью 800 кВт.


 







Date: 2015-07-27; view: 833; Нарушение авторских прав



mydocx.ru - 2015-2026 year. (2.034 sec.) Все материалы представленные на сайте исключительно с целью ознакомления читателями и не преследуют коммерческих целей или нарушение авторских прав - Пожаловаться на публикацию