Главная Случайная страница


Полезное:

Как сделать разговор полезным и приятным Как сделать объемную звезду своими руками Как сделать то, что делать не хочется? Как сделать погремушку Как сделать так чтобы женщины сами знакомились с вами Как сделать идею коммерческой Как сделать хорошую растяжку ног? Как сделать наш разум здоровым? Как сделать, чтобы люди обманывали меньше Вопрос 4. Как сделать так, чтобы вас уважали и ценили? Как сделать лучше себе и другим людям Как сделать свидание интересным?


Категории:

АрхитектураАстрономияБиологияГеографияГеологияИнформатикаИскусствоИсторияКулинарияКультураМаркетингМатематикаМедицинаМенеджментОхрана трудаПравоПроизводствоПсихологияРелигияСоциологияСпортТехникаФизикаФилософияХимияЭкологияЭкономикаЭлектроника






Формулы для определения экономических показателей





 

Показатель Формула Критерии оценки целесообразности принятия 2-го варианта
  Приведенные затраты Принимается вариант с Зi min (минимум)  
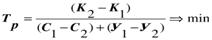
  Срок окупаемости дополнительных капитальных вложений в ППЗ  
  Коэффициент сравнительной экономической эффективности
  Абсолютная экономическая эффективность   Принимается вариант с Э аб max (максимум)  

 

где З i - приведенные затраты i -варианта инженерно-технического решения на ППЗ, руб./год;

Тр - расчетный срок окупаемости дополнительных капитальных вложений в ППЗ, лет;

Е р - расчетный коэффициент сравнительной экономической эффективности;

Э аб - абсолютная экономическая эффективность.

 

Определение экономической эффективности дополнительных капитальных затрат в систему ППЗ производится в следующем порядке:

· формулировка задачи и определение экономической целесообразности дополнительных капитальных затрат на ППЗ;

· выбор базы (эталона) в сопоставлении с которой будет дана экономическая оценка предлагаемых вариантов инженерно-технических решений;

· установление основных показателей в расчетах и определение их величины;

· установление дополнительных показателей (если требуется) и определение их величины;

· выбор экономически целесообразного варианта путем соизмерения основных и дополнительных показателей базового и предлагаемого вариантов;

· определение величины экономического эффекта от внедрения предлагаемого варианта противопожарной защиты.

Формулировка задачи и определение экономической целесообразности дополнительных капитальных затрат в систему ППЗ включает следующие этапы.

Во-первых, дается краткая технико-экономическая характеристика объекта ППЗ.

Во-вторых, дается характеристика существующей системы ППЗ объекта: сведения о капитальных затратах, годовых эксплуатационных расходах на содержание ППЗ объекта, об убытках от пожаров на данном объекте или на объектах аналогичного характера.

В-третьих, основываясь на данных пожарной экспертизы объекта и существующей системы его ППЗ, приводится краткое описание предлагаемого варианта инженерно-технического решения, направленного на снижение потерь от пожаров и расходов на ППЗ объекта.

Весьма важное значение при сравнении вариантов инженерно-технических решений на ППЗ должно уделяться выбору эталона или базы.

В зависимости от характера технико-экономической задачи могут быть следующие виды эталонов.

За эталон принимается решение, отвечающее требованиям противопожарных норм при проектировании зданий и сооружений (СНиП), а также техническим условиям и правилам, связанным с эксплуатацией этих объектов. Если ППЗ объекта не отвечает требованиям норм, то ее необходимо привести в соответствие с этими требованиями и только после этого принимать за эталон.

За эталон принимается лучшая существующая отечественная или зарубежная пожарная техника.

При сравнении вариантов организации пожарной охраны на объектах национальной экономики, а также способов тушения пожаров каждый из вариантов является эталоном для всех других. В этом случае имеется в виду, что варианты сопоставимы и разработаны на основе действующих приказов, наставлений и других нормативных документов.

В номенклатуру основных показателей входят:

· капитальные затраты на ППЗ;

· эксплуатационные (текущие) расходы на ППЗ;

· себестоимость (затраты) изготовления единицы новой техники, оборудования и т. д.;

· экономический ущерб от пожаров;

· фактор времени.

Порядок расчета основных показателей рассмотрен в темах 4, 5, 6 настоящего учебно-методического пособия.

К дополнительным показателям относятся:

· коэффициенты - планировочный, объемный, застройки, использования территории и т.д.;

· прочность, объемный вес, срок службы, возгораемость, огнестойкость, удельный расход материалов;

· мощность, производительность, вес на единицу мощности, удельное давление на грунт, удельный расход топлива и электроэнергии и др.

 

Система показателей, применяемых при расчетах экономической эффективности инженерно-технических решений в области обеспечения пожарной безопасности, приведена на рисунке.

 

Необходимость в дополнительных показателях обуславливается: во-первых, на случай отсутствия основных показателей (например, при сравнении разрабатываемого варианта пожарной машины с зарубежным образцом, стоимость которого неизвестна);


во-вторых, когда основные показатели равноценны и выявить преимущество того или иного варианта затруднительно. В этих случаях дополнительные показатели рассматриваются как основные и решающие для выбора лучшего варианта.

Сравнение вариантов противопожарной защиты, находящихся в равноценных условиях, определяется по формуле приведенных затрат. Расчет приведенных затрат производится по каждому варианту технического или хозяйственного решения. Лучшим в экономическом смысле является вариант, имеющий меньшие приведенные затраты. При сравнении вариантов противопожарной защиты следует обязательно учитывать влияние фактора времени на эффективность использования капитальных вложений.

Если капитальные затраты различаются по продолжительности их освоения или распределению по годам освоения либо по тому и другому одновременно, то расчет экономической эффективности производится по следующим формулам:

 

или

 

где К t - капитальные затраты на конец t-го года, руб.;

К 0 - капитальные затраты на начало года, руб.;

t - число лет, определяющее результаты и затраты данного года от начала расчетного года; Е - норматив приведения (0,1).

По первой формуле осуществляется приведение разновременных капитальных затрат к последнему году их реализации. Приведение разновременных капитальных затрат к началу года определяется по второй формуле.

С экономической точки зрения эти формулы равноценны и поэтому безразлично, к какому моменту времени будут приводиться капитальные затраты - к конечному или начальному году.

Важнейшим показателем сравнительной эффективности противопожарной защиты является экономический эффект, который определяется разностью приведенных затрат и отражает экономию ресурсов вложений, которая может быть обеспечена при реализации выбранного путем сравнительного анализа варианта.

Основной расчетной формулой определения величины экономического эффекта от внедрения лучшего варианта противопожарной защиты является

 

 

 

где ЭГ - годовой экономический эффект, руб./год;

У, С - годовая экономия от внедрения лучшего варианта противопожарной защиты, то есть фактическая экономия от уменьшения размера эксплуатационных расходов и ущерба от пожаров соответственно, руб./год;

ЕН·К - размер нормативной экономии, которая должна быть получена от использования дополнительных капитальных затрат на противопожарную защиту, руб./год.

Следует особо отметить, что капитальные вложения, связанные с обеспечением пожарной безопасности объектов национальной экономики, требующих дополнительных затрат, могут быть практически реализованы лишь при обосновании экономической эффективности. Поэтому экономическая оценка капитальных вложений на обеспечение пожарной безопасности - важнейшая сторона изучаемой экономической дисциплины.

 

 

 







Date: 2015-07-27; view: 1443; Нарушение авторских прав



mydocx.ru - 2015-2026 year. (1.345 sec.) Все материалы представленные на сайте исключительно с целью ознакомления читателями и не преследуют коммерческих целей или нарушение авторских прав - Пожаловаться на публикацию