Главная Случайная страница


Полезное:

Как сделать разговор полезным и приятным Как сделать объемную звезду своими руками Как сделать то, что делать не хочется? Как сделать погремушку Как сделать так чтобы женщины сами знакомились с вами Как сделать идею коммерческой Как сделать хорошую растяжку ног? Как сделать наш разум здоровым? Как сделать, чтобы люди обманывали меньше Вопрос 4. Как сделать так, чтобы вас уважали и ценили? Как сделать лучше себе и другим людям Как сделать свидание интересным?


Категории:

АрхитектураАстрономияБиологияГеографияГеологияИнформатикаИскусствоИсторияКулинарияКультураМаркетингМатематикаМедицинаМенеджментОхрана трудаПравоПроизводствоПсихологияРелигияСоциологияСпортТехникаФизикаФилософияХимияЭкологияЭкономикаЭлектроника






Основные законы электрических цепей





На рис. 1.7 изображен участок цепи с сопротивлением R. рис. 1.7

Ток, протекающий через сопротивление R, пропорционален падению напряжения на сопротивлении и обратно пропорционален величине этого сопротивления. (закон Ома)

Падением напряжения на сопротивлении называется произведение тока, протекающего через сопротивление, на величину этого сопротивления.

Основными законами электрических цепей, наряду с законом Ома, являются законы баланса токов в разветвлениях (первый закон Кирхгофа) и баланса напряжений на замкнутых участках цепи (второй закон Кирхгофа). В соответствии с первым законом Кирхгофа, алгебраическая сумма токов в любом узле цепи равна нулю:

Возьмем схему на рис. 1.8 и запишем для нее уравнение по первому закону Кирхгофа.

рис. 1.8

Токам, направленным к узлу, присвоим знак "плюс", а токам, направленным от узла - знак "минус". Получим следующее уравнение:

или

Согласно второму закону Кирхгофа, алгебраическая сумма ЭДС вдоль любого замкнутого контура равна алгебраической сумме падений напряжений в этом контуре

рис. 1.9

Возьмем схему на рис. 1.9 и запишем для внешнего контура этой схемы уравнение по второму закону Кирхгофа.

Для этого выберем произвольно направление обхода контура, например, по часовой стрелке. ЭДС и падения напряжений записываются в левую и правую части уравнения со знаком "плюс", если направления их совпадают с направлением обхода контура, и со знаком "минус", если не совпадают.

При определении тока в ветви, содержащей источник ЭДС, используют закон Ома для активной ветви.

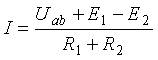
Возьмем ветвь, содержащую сопротивления и источники ЭДС. Ветвь включена к узлам a-b, известно направление тока в ветви (рис. 1.10).

рис. 1.10

Возьмем замкнутый контур, состоящий из активной ветви и стрелки напряжения Uab, и запишем для него уравнение по второму закону Кирхгофа. Выберем направление обхода контура по часовой стрелке.

Получим

Из этого уравнения выведем формулу для тока

В общем виде:

где ∑R - сумма сопротивлений ветви;

∑E - алгебраическая сумма ЭДС.

ЭДС в формуле записывается со знаком "плюс", если направление ее совпадает с направлением тока и со знаком "минус", если не совпадает.

 







Date: 2015-07-27; view: 400; Нарушение авторских прав



mydocx.ru - 2015-2026 year. (1.202 sec.) Все материалы представленные на сайте исключительно с целью ознакомления читателями и не преследуют коммерческих целей или нарушение авторских прав - Пожаловаться на публикацию