Главная Случайная страница


Полезное:

Как сделать разговор полезным и приятным Как сделать объемную звезду своими руками Как сделать то, что делать не хочется? Как сделать погремушку Как сделать так чтобы женщины сами знакомились с вами Как сделать идею коммерческой Как сделать хорошую растяжку ног? Как сделать наш разум здоровым? Как сделать, чтобы люди обманывали меньше Вопрос 4. Как сделать так, чтобы вас уважали и ценили? Как сделать лучше себе и другим людям Как сделать свидание интересным?


Категории:

АрхитектураАстрономияБиологияГеографияГеологияИнформатикаИскусствоИсторияКулинарияКультураМаркетингМатематикаМедицинаМенеджментОхрана трудаПравоПроизводствоПсихологияРелигияСоциологияСпортТехникаФизикаФилософияХимияЭкологияЭкономикаЭлектроника






Активные элементы схемы замещения





Любой источник энергии можно представить в виде источника ЭДС или источника тока. Источник ЭДС - это источник, характеризующийся электродвижущей силой и внутренним сопротивлением. Идеальным называется источник ЭДС, внутреннее сопротивление которого равно нулю.

Рис. 1.3

На рис. 1.3 изображен источник ЭДС, к зажимам которого подключено сопротивление R.

Ri - внутреннее сопротивление источника ЭДС.

Стрелка ЭДС направлена от точки низшего потенциала к точке высшего потенциала, стрелка напряжения на зажимах источника U12 направлена в противоположную сторону от точки с большим потенциалом к точке с меньшим потенциалом.

 

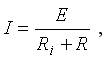
Ток

 

(1.2)

 

(1.3)

У идеального источника ЭДС внутреннее сопротивление Ri = 0, U12 = E.

Из формулы (1.3) видно, что напряжение на зажимах реального источника ЭДС уменьшается с увеличением тока. У идеального источника напряжение на зажимах не зависит от тока и равно электродвижущей силе.

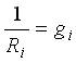
Возможен другой путь идеализации источника: представление его в виде источника тока.

Источником тока называется источник энергии, характеризующийся величиной тока и внутренней проводимостью.

Идеальным называется источник тока, внутренняя проводимость которого равна нулю.

Поделим левую и правую части уравнения (1.2) на Ri и получим

 

, где - ток источника тока;

 

- внутренняя проводимость

У идеального источника тока gi = 0 и J = I.

Ток идеального источника не зависит от сопротивления внешней части цепи. Он остается постоянным независимо от сопротивления нагрузки. Условное изображение источника тока показано на рис. 1.4.

Любой реальный источник ЭДС можно преобразовать в источник тока и наоборот. Источник энергии, внутреннее сопротивление которого мало по сравнению с сопротивлением нагрузки, приближается по своим свойствам к идеальному источнику ЭДС.

Рис. 1.4

Если внутреннее сопротивление источника велико по сравнению с сопротивлением внешней цепи, он приближается по своим свойствам к идеальному источнику тока.







Date: 2015-07-27; view: 523; Нарушение авторских прав



mydocx.ru - 2015-2026 year. (0.155 sec.) Все материалы представленные на сайте исключительно с целью ознакомления читателями и не преследуют коммерческих целей или нарушение авторских прав - Пожаловаться на публикацию