Главная Случайная страница


Полезное:

Как сделать разговор полезным и приятным Как сделать объемную звезду своими руками Как сделать то, что делать не хочется? Как сделать погремушку Как сделать так чтобы женщины сами знакомились с вами Как сделать идею коммерческой Как сделать хорошую растяжку ног? Как сделать наш разум здоровым? Как сделать, чтобы люди обманывали меньше Вопрос 4. Как сделать так, чтобы вас уважали и ценили? Как сделать лучше себе и другим людям Как сделать свидание интересным?


Категории:

АрхитектураАстрономияБиологияГеографияГеологияИнформатикаИскусствоИсторияКулинарияКультураМаркетингМатематикаМедицинаМенеджментОхрана трудаПравоПроизводствоПсихологияРелигияСоциологияСпортТехникаФизикаФилософияХимияЭкологияЭкономикаЭлектроника






Общие показатели естественного движения населения





Естественное движение населения – изменение численности населения за счет рождений и смертей.

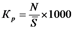
Коэффициент рождаемости , где N – число родившихся живыми за год, - среднегодовая численность населения
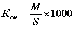
Коэффициент смертности , где М – число умерших за год
Коэффициент естественного прироста населения или Кест.пр = Кр – Ксм Положительный коэффициент характеризует естественный прирост населения, отрицательный – убыль населения.
Коэффициент жизненности Покровского или
Коэффициент естественного оборота населения Где N+M – оборот населения. Показывает число родившихся и умерших на 1000 человек населения в среднем за год
Коэффициент эффективности воспроизводства населения Показывает долю естественного прироста в общем обороте населения
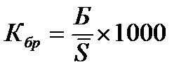
Коэффициент брачности , где Б – число заключенных браков
Коэффициент разводимости , где Р – число зарегистрированных разводов






Date: 2015-07-27; view: 792; Нарушение авторских прав



mydocx.ru - 2015-2026 year. (1.659 sec.) Все материалы представленные на сайте исключительно с целью ознакомления читателями и не преследуют коммерческих целей или нарушение авторских прав - Пожаловаться на публикацию