Главная Случайная страница


Полезное:

Как сделать разговор полезным и приятным Как сделать объемную звезду своими руками Как сделать то, что делать не хочется? Как сделать погремушку Как сделать так чтобы женщины сами знакомились с вами Как сделать идею коммерческой Как сделать хорошую растяжку ног? Как сделать наш разум здоровым? Как сделать, чтобы люди обманывали меньше Вопрос 4. Как сделать так, чтобы вас уважали и ценили? Как сделать лучше себе и другим людям Как сделать свидание интересным?


Категории:

АрхитектураАстрономияБиологияГеографияГеологияИнформатикаИскусствоИсторияКулинарияКультураМаркетингМатематикаМедицинаМенеджментОхрана трудаПравоПроизводствоПсихологияРелигияСоциологияСпортТехникаФизикаФилософияХимияЭкологияЭкономикаЭлектроника






Определение численности населения и его распределения по территории страны





Население представляет собой совокупность людей, проживающих на определенной территории.

Наличное население (НН) Категория населения, объединяющая людей, фактически находящихся на момент переписи в данном населенном пункте: НН = ПН – ВО + ВП, где ПН – постоянное население, ВО – временно отсутствующие, ВП – временно проживающие Учитывается для обеспечения транспортом, торговыми предприятиями, гостиницами и т.д.
Постоянное население (ПН) Категория населения, объединяющая людей, для которых данный населенный пункт представляет место обычного проживания, независимо от их фактического местонахождения в момент учета: ПН = НН – ВП + ВО Необходимо знать для строительства жилья, школ, детских учреждений и т.д.
Временно отсутствующие (ВО) Это лица, имеющие постоянное место жительства в данном населенном пункте, которые на момент учета отсутствуют. Их отсутствие не должно превышать 6 месяцев.
Временно проживающие (ВП) Это лица, находящиеся на момент учета в данном населенном пункте, но имеющие постоянное место жительства в другом населенном пункте.
Численность населения на конец года Sк.г. = Sн.г. + N – M + П – В, где Sн.г.– численность населения на начало года, N– число родившихся, M– число умерших, П численность прибывших в данный населенный пункт, В – численность выбывших из данного населенного пункта
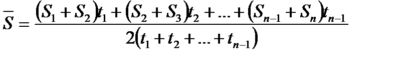
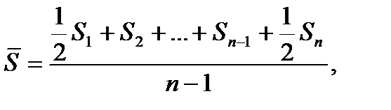
Среднегодовая численность населения В моментном ряду (на определенную дату) за равные периоды определяется по формуле средней хронологической простой: где n – число уровней (дат), S1, …, n – численность населения на определенную дату. В моментном ряду с неравноотстоящими уровнями определяется по формуле средней хронологической взвешенной: Если известны данные на начало и конец года определяется по средней арифметической простой: В интервальном ряду с неравноотстоящими уровнями определяется по формуле средней арифметической взвешенной: где – средняя численность населения i-го периода, ti – длительность i-го периода времени
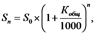
Перспективная численность населения (прогноз) где S0 – численность населения на начало прогноза, n – число периодов прогноза, Кобщ – коэффициент общего прироста населения (Кобщ = Кр – Ксм + Кмех.пр)
Плотность населения Отношение численности населения к занимаемой им площади, т.е. сколько человек проживает на одном квадратном километре: где – среднегодовая численность населения на данной территории, П – площадь территории, км2
     






Date: 2015-07-27; view: 797; Нарушение авторских прав



mydocx.ru - 2015-2026 year. (1.122 sec.) Все материалы представленные на сайте исключительно с целью ознакомления читателями и не преследуют коммерческих целей или нарушение авторских прав - Пожаловаться на публикацию