Главная Случайная страница


Полезное:

Как сделать разговор полезным и приятным Как сделать объемную звезду своими руками Как сделать то, что делать не хочется? Как сделать погремушку Как сделать так чтобы женщины сами знакомились с вами Как сделать идею коммерческой Как сделать хорошую растяжку ног? Как сделать наш разум здоровым? Как сделать, чтобы люди обманывали меньше Вопрос 4. Как сделать так, чтобы вас уважали и ценили? Как сделать лучше себе и другим людям Как сделать свидание интересным?


Категории:

АрхитектураАстрономияБиологияГеографияГеологияИнформатикаИскусствоИсторияКулинарияКультураМаркетингМатематикаМедицинаМенеджментОхрана трудаПравоПроизводствоПсихологияРелигияСоциологияСпортТехникаФизикаФилософияХимияЭкологияЭкономикаЭлектроника






Пример_051-04





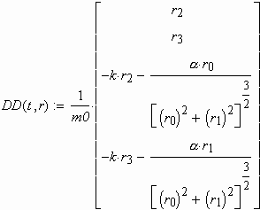
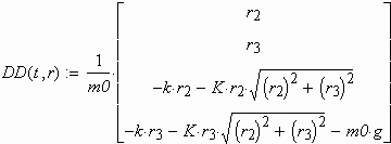
Аналитические вычисления

Задаваемые параметры

Графики

Задание 5.2. Численное интегрирование двумерных уравнений движения

Выполнение задания

Проинтегрировать численно двумерные уравнения движения с учетом начальных условий, если известна аналитическая зависимость силы, действующей на тело, и массы тела от времени:

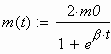
Масса:

а) ,

б) ,

в) ,

г) ,

д) ,

Сила:

а) ,

б) ,

в) ,

г) ,

д)

Построить графики решений уравнений движения. Исследовать решения, изменяя начальные условия или параметры движения.

Пример_052-01

Аналитические вычисления

Задаваемые параметры (интегрирование с разными параметрами)

Графики

Пример_052-02

Аналитические вычисления

Задаваемые параметры (интегрирование с разными параметрами)

Графики

 







Date: 2015-07-27; view: 268; Нарушение авторских прав



mydocx.ru - 2015-2026 year. (1.216 sec.) Все материалы представленные на сайте исключительно с целью ознакомления читателями и не преследуют коммерческих целей или нарушение авторских прав - Пожаловаться на публикацию