Главная Случайная страница


Полезное:

Как сделать разговор полезным и приятным Как сделать объемную звезду своими руками Как сделать то, что делать не хочется? Как сделать погремушку Как сделать так чтобы женщины сами знакомились с вами Как сделать идею коммерческой Как сделать хорошую растяжку ног? Как сделать наш разум здоровым? Как сделать, чтобы люди обманывали меньше Вопрос 4. Как сделать так, чтобы вас уважали и ценили? Как сделать лучше себе и другим людям Как сделать свидание интересным?


Категории:

АрхитектураАстрономияБиологияГеографияГеологияИнформатикаИскусствоИсторияКулинарияКультураМаркетингМатематикаМедицинаМенеджментОхрана трудаПравоПроизводствоПсихологияРелигияСоциологияСпортТехникаФизикаФилософияХимияЭкологияЭкономикаЭлектроника






Пример_051-03





Тема 5. Движение тел переменной массы

Введение

Уравнения движения

Задание 5.1. Численное интегрирование одномерных уравнений движения

Выполнение задания

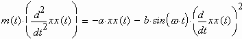
Проинтегрировать численно одномерные уравнения движения с учетом начальных условий, если известна аналитическая зависимость силы, действующей на тело, и массы тела от времени:

Масса:

а) ,

б) ,

в) ,

г) ,

д) ,

Сила:

а) ,

б) ,

в) ,

г) ,

д) ,

е) ,

ж) ,

з) .

Построить графики решений уравнений движения. Исследовать решения, изменяя начальные условия или параметры движения.

Сравнить результаты со случаем движения с постоянной массой.

· Пример_051-01

· Аналитические вычисления

·

·

·

· Время движения

·

·

·

· Задаваемые параметры

·

·

·

·

·

·

·

·

·

·

·

·

·

·

·

·

·

·

·

·

·

·

·

·

·

·

·

·

·

· Графики

·

Пример_051-02

Аналитические вычисления

Задаваемые параметры

Графики

Пример_051-03

Аналитические вычисления

Время движения

Задаваемые параметры

Графики







Date: 2015-07-27; view: 275; Нарушение авторских прав



mydocx.ru - 2015-2026 year. (1.368 sec.) Все материалы представленные на сайте исключительно с целью ознакомления читателями и не преследуют коммерческих целей или нарушение авторских прав - Пожаловаться на публикацию