Главная Случайная страница


Полезное:

Как сделать разговор полезным и приятным Как сделать объемную звезду своими руками Как сделать то, что делать не хочется? Как сделать погремушку Как сделать так чтобы женщины сами знакомились с вами Как сделать идею коммерческой Как сделать хорошую растяжку ног? Как сделать наш разум здоровым? Как сделать, чтобы люди обманывали меньше Вопрос 4. Как сделать так, чтобы вас уважали и ценили? Как сделать лучше себе и другим людям Как сделать свидание интересным?


Категории:

АрхитектураАстрономияБиологияГеографияГеологияИнформатикаИскусствоИсторияКулинарияКультураМаркетингМатематикаМедицинаМенеджментОхрана трудаПравоПроизводствоПсихологияРелигияСоциологияСпортТехникаФизикаФилософияХимияЭкологияЭкономикаЭлектроника






Продолжение таблицы П.4





 

№ п/п Эскиз расположения Проводников Коэффициент контура ЭДУ Примечание
  Проводники ко- нечной длины, расположенные в одной плоскости под прямым углом  
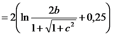
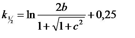
  Ø2r Ø2r где ; Проводники круглые, расположенные в одной плоскости под прямым углом k1=k1/2+k1/3  
    Ø2r где ; Проводники круглые, расположенные в одной плоскости под прямым углом
    Параллельные проводники одинаковой длины

 

Приложение 5.


Рис. П.5. Значение коэффициента

формы для параллельных шин [2].

 

 

Таблица П.6

Значения индуктивностей и взаимоиндуктивностей некоторых контуров при постоянном токе и низкой частоте

№п/п Эскиз контуров Индуктивность или взаимоиндуктивность Примечание
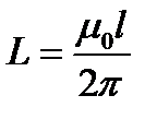
  Провод прямо-линейный кругового сечения длины ℓ Второй провод бесконечно удалён
  То же но прямоугольного сечения
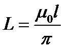
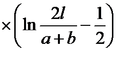
  Двухпроводная линия длины ℓ
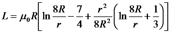
  При любых R и r при R» r Круговое кольцо кругового сечения
  Круговое кольцо прямугольного сечения
  Два круговых кольца, расположенных в параллельных плоскостях

 







Date: 2015-07-27; view: 469; Нарушение авторских прав



mydocx.ru - 2015-2026 year. (0.743 sec.) Все материалы представленные на сайте исключительно с целью ознакомления читателями и не преследуют коммерческих целей или нарушение авторских прав - Пожаловаться на публикацию