Главная
Случайная страница
Полезное:
Как сделать разговор полезным и приятным
Как сделать объемную звезду своими руками
Как сделать то, что делать не хочется?
Как сделать погремушку
Как сделать так чтобы женщины сами знакомились с вами
Как сделать идею коммерческой
Как сделать хорошую растяжку ног?
Как сделать наш разум здоровым?
Как сделать, чтобы люди обманывали меньше
Вопрос 4. Как сделать так, чтобы вас уважали и ценили?
Как сделать лучше себе и другим людям
Как сделать свидание интересным?
Категории:
АрхитектураАстрономияБиологияГеографияГеологияИнформатикаИскусствоИсторияКулинарияКультураМаркетингМатематикаМедицинаМенеджментОхрана трудаПравоПроизводствоПсихологияРелигияСоциологияСпортТехникаФизикаФилософияХимияЭкологияЭкономикаЭлектроника
|
Медный эмалированный провод ПЭВ-1
| Номинальный диаметр провода по меди, мм
| Расчетное сечение, мм2
| Количество витков в 1 см2
| Максимальный наружный диаметр, мм
| Сопротивление постоянному току, Ом/км
| Вес 1 км провода, кг
| | 0,06
0,07
0,08
0,09
0,10
0,11
0,12
0,13
0,14
0,15
0,16
0,17
0,18
0,19
0,20
0,21
0,23
0,25
0,27
0,29
0,31
0,33
0,35
0,38
0,41
0,44
0,47
0,49
0,51
0,53
0,55
0,57
0,59
0,62
0,64
0,67
| 0,002827
0,003848
0,005027
0,006362
0,007854
0,009498
0,01131
0,01327
0,01539
0,01767
0,02011
0,02270
0,02545
0,02835
0,03142
0,03464
0,04155
0,04909
0,05726
0,06605
0,07548
0,08553
0,09621
0,1134
0,1320
0,1521
0,1735
0,1886
0,2043
0,2206
0,2376
0,2552
0,2734
0,3019
0,3217
0,3526
| 10,750
8,684
7,125
5,866
5,000
4,250
3,700
3,200
| 0,085
0,095
0,105
0,115
0,125
0,135
0,145
0,155
0,165
0,18
0,19
0,20
0,21
0,22
0,23
0,24
0,27
0,29
0,31
0,33
0,35
0,37
0,39
0,42
0,45
0,48
0,51
0,53
0,56
0,58
0,60
0,62
0,64
0,67
0,69
0,72
|
93,0
85,9
79,5
73,7
68,7
64,1
58,0
54,5
49,7
| 0,028
0,038
0,049
0,062
0,075
0,091
0,107
0,124
0,144
0,166
0,188
0,212
0,236
0,263
0,290
0,320
0,383
0,452
0,526
0,605
0,680
0,780
0,876
1,03
1,20
1,38
1,57
1,71
1,86
2,01
2,16
2,30
2,48
2,74
2,92
3,19
|
Продолжение табл. П.3.
| Номинальный диаметр
провода меди, мм
| Расчётное сечение, мм²
| Количест-
во витков в 1 см²
| Максимальный наружный диаметр, мм
| Сопротивление постоянному току, Ом/км
| Вес 1км провода, кг
| | 0,69
| 0,3739
|
| 0,74
| 46,9
| 3,38
| | 0,72
| 0,4072
|
| 0,77
| 43,0
| 3,67
| | 0,74
| 0,4301
|
| 0,80
| 40,7
| 3,90
| | 0,77
| 0,4657
|
| 0,83
| 37,6
| 4,22
| | 0,80
| 0,5027
|
| 0,86
| 34,8
| 4,55
| | 0.83
| 0,5411
|
| 0,89
| 32,4
| 4,89
| | 0,86
| 0,5809
|
| 0,92
| 30,1
| 5,25
| | 0,9
| 0,6362
|
| 0,96
| 27,5
| 5,75
| | 0,93
| 0,6793
|
| 0,99
| 25,8
| 5,13
| | 0,96
| 0,7238
|
| 1,02
| 24,2
| 6,53
| | 1,00
| 0,7854
|
| 1,08
| 22,4
| 7,12
| | 1,04
| 0,8495
|
| 1,12
| 20,6
| 7,70
| | 1,08
| 0,9161
|
| 1,16
| 19,1
| 8,29
| | 1,12
| 0,9852
|
| 1,20
| 17,8
| 8,92
| | 1,16
| 1,057
|
| 1,24
| 16,6
| 9,56
| | 1,20
| 1,131
|
| 1,28
| 15,5
| 10,3
| | 1,25
| 1,227
|
| 1,33
| 14,3
| 11,1
| | 1,30
| 1,327
|
| 1,38
| 13,2
| 12,0
| | 1,35
| 1,431
|
| 1,43
| 12,3
| 12,9
| | 1,40
| 1,539
|
| 1,48
| 11,3
| 13,9
| | 1,45
| 1,651
|
| 1,53
| 10,6
| 14,9
| | 1,50
| 1,767
|
| 1,58
| 9,93
| 15,9
| | 1,56
| 1,911
|
| 1,64
| 9,17
| 17,2
| | 1,62
| 2,061
|
| 1,70
| 8,50
| 18,5
| | 1,68
| 2,217
|
| 1,76
| 7,91
| 19,9
| | 1,74
| 2,378
|
| 1,82
| 7,37
| 21,3
| | 1,81
| 2,573
|
| 1,90
| 6,81
| 23,2
| | 1,88
| 2,776
|
| 1,97
| 6,31
| 25,1
| | 1,95
| 2,987
|
| 2,04
| 5,87
| 26,9
| | 2,02
| 3,205
|
| 2,11
| 5,47
| 28,8
| | 2,10
| 3,464
|
| 2,20
| 5,06
| 31,2
| | 2,26
| 4,012
|
| 2,36
| 4,37
| 36,1
| | 2,44
| 4,676
|
| 2,54
| 3,75
| 42,0
|
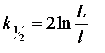
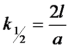
Таблица П.4. Коэффициент контуров электродинамических усилий (ЭДУ) [2]
| № п/п
| Эскиз расположения проводников
| Коэффициент контура ЭДУ
| Примечание
| |
|
|
| Проводники параллельные бесконечно длинные
| |
|
|
| Проводники параллельные конечной длины (расположе-ние любое)
| |
|
|
| Проводники расположены в одной плоскости под прямым углом. Проводник 2 бесконечной длины.
|
Date: 2015-07-27; view: 630; Нарушение авторских прав | Понравилась страница? Лайкни для друзей: |
|
|