Главная Случайная страница


Полезное:

Как сделать разговор полезным и приятным Как сделать объемную звезду своими руками Как сделать то, что делать не хочется? Как сделать погремушку Как сделать так чтобы женщины сами знакомились с вами Как сделать идею коммерческой Как сделать хорошую растяжку ног? Как сделать наш разум здоровым? Как сделать, чтобы люди обманывали меньше Вопрос 4. Как сделать так, чтобы вас уважали и ценили? Как сделать лучше себе и другим людям Как сделать свидание интересным?


Категории:

АрхитектураАстрономияБиологияГеографияГеологияИнформатикаИскусствоИсторияКулинарияКультураМаркетингМатематикаМедицинаМенеджментОхрана трудаПравоПроизводствоПсихологияРелигияСоциологияСпортТехникаФизикаФилософияХимияЭкологияЭкономикаЭлектроника






Цель брендинга





 

Цель брендинга – создание четкого образа бренда и четкое формирование направления коммуникаций. Брендинг включает в себя работы по исследованию рынка, позиционированию продукта, созданию имени (brand name), дескриптора, слоган, системы визуальной и вербальной идентификации (товарный знак, фирменный стиль, упаковка, специальные звуки и т.д.), использованию идентификационных и коммуникационных носителей, отражающих и транслирующих идею бренда.

В процессе брендинга может происходить растяжение и расширение бренда. Растяжение происходит в том случае когда, при появлении нового товара под тем же именем остаются неизменными товарная категория, назначение, целевая аудитория, идентичность бренда, и изменяется лишь выгода для потребителя.

 

Вопрос 40

Упаковка - комплекс, состоящий из тары, упаковочного материала, укупорочных средств и других вспомогательных средств, определяющих потребительские и технологические свойства упаковываемого продукта

Упаковка - процесс упаковывания, т. е. подготовка продукции к транспортированию, хранению, реализации, потреблению

Упаковка - средство или комплекс средств, обеспечивающих защиту продукции от влияния окружающей среды, от повреждений и потерь, и облегчающих процесс обращения (транспортирования, хранения, реализации)

Основные функции упаковки заключаются в следующем:

— предохранять товары от порчи и повреждений;

— обеспечивать создание рациональных единиц груза для транспортировки, погрузки и выгрузки товаров;

— обеспечивать создание рациональных единиц для их складирования;

— обеспечивать создание оптимальных (по весу и объему) единиц для продажи товара;

— быть важным носителем рекламы.

Как видно из перечисленных функций, упаковка играет многоплановую роль, которая становится все более значимой для мирового рынка. Росту значения упаковки способствуют самые разные факторы, в том числе:

1) самообслуживание в торговле - с увеличением числа магазинов самообслуживания упаковка начинает выполнять функции продавца: она должна привлечь внимание к товару, описать его свойства, внушить потребителю уверенность в этом товаре и произвести благоприятное впечатление о товаре в целом;

2) рост доходов населения — увеличение доходов населения означает, что потребители готовы заплатить за удобство, внешний вид, надежность и престижность улучшенной упаковки;

3) образ фирмы и образ марки — товары высокого качества в оригинальной упаковке фирмы создают приверженность потребителей именно к этой фирме, к этой марке;

4) возможность для новаторства — новаторство в упаковке может принести большие выгоды. Например, германская фирма «Бишоф

и Кляйн» разработала специальную бумагу с покрытием для медицинских инструментов одноразового использования, которое обеспечивает 100% стерильность и надежность. Высоким спросом пользуется также термоусадочная пленка бельгийской фирмы «Хиши пластик», позволяющая очень быстро покрыть флакон с ЛC. Повреждение пленки будет означать вскрытие, т. е. нарушение целостности упаковки ЛС.

Вместе с тем стоит обратить внимание и на некоторые негативные стороны упаковки:

1) совершенствование упаковки приводит к росту цен на товары, встречаются случаи, когда упаковка стоит больше, чем товар;

2) на упаковку расходуются дефицитные ресурсы, в частности бумага, алюминий, стекло, что также приводит к увеличению стоимости товара;

3) загрязнение окружающей среды, т.е. экологические аспекты упаковки. Так, например, около 40% всех твердых отходов в США приходится на долю

 

Вопрос 41

Различают количественные и качественные методы тестирований товара. Количественные проводятся путем опросов: анкет, телефонных опросов, личных интервью. Это методы, позволяющие получить однотипную информацию от потребителей, главным здесь является установка некой закономерности во мнениях покупателей товара. Качественные тестирования — это группоовые дискуссии в фокус-группах, глубинные интервью и другие методы, предполагающие более глубокий анализ, выявляющий мотивы, побуждающие людей покупать тот или иной товар.

Тестирование проводятся разными способами: на это различие влияют такие факторы, как сам предмет тестирования, место, где проводится тестирование, среди какой целевой аудитории проводится тестирование, а также какое количество продуктов подвергается оценке.

По характеру целевой аудитории тестирования делятся на тестирования, проводимые среди пользователей определенных марок продукции, среди людей, которые совершают покупки в каком-то определенном секторе: в гипермаркетах, на рынке, в дорогих магазинах и тому подобное, а также среди людей, которым принадлежит право на принятие решений о покупках в семье.


По предмету тестирования различают: тестирование цены на продукцию, тестирование самой продукции, тестирование концепции продукции и рекламной политики, тестирование название продукции и ее упаковки.

Место проведения тестирования также существенно влияет на результаты исследования, поэтому к выбору места маркетологи подходят очень тщательно. Наиболее распространенным здесь является тестирование в домашних условиях, так как именно в этом случае респонденты чувствуют себя наиболее комфортно. Однако проводятся тестирования и на торговых площадках, и в студиях маркетинговых исследований.

В зависимости от количества продуктов, подвергающихся тестированию, различают: последовательное тестирование и круговой вид тестирования.

Вопрос 42

Ассортимент — это подбор (набор) товаров разных видов и разновидностей, объединенных по какому-либо признаку и предназначенных для наиболее полного удовлетворения спроса.

Многообразие ассортимента потребительских товаров упорядо­чивается с помощью его классификации, включающей деление на группы — по местонахождению, на подгруппы — по широте охвата товаров, на виды — по степени удовлетворения потребностей, на разновидности — по характеру потребностей.

По местонахождению товаров различают ассортимент промыш­ленный и торговый.

Промышленный (производственный) ассортимент — набор това­ров, выпускаемых изготовителем с учетом его производственных возможностей. Торговый ассортимент — набор товаров, формируе­мый организацией торговли или общественного питания с учетом ее специализации, потребительского спроса и материально-технической базы.

 

В отличие от промышленного, торговый ассортимент включает, как правило, товары разных изготовителей, стратегия которых ос­новывается на сбыте товаров только конкретной организации. На­пример, в торговый ассортимент любого кондитерского магазина входят товары, изготавливаемые многими кондитерскими предпри­ятиями, хлебозаводами, предприятиями общественного питания. В торговый ассортимент магазина электро- электронно- и радиотех­нической аппаратуры могут входить изделия, выпускаемые фирма­ми «Филипс», «Панасоник», «Сони», «LG», «Горизонт» и др.

В зависимости от широты охвата товаров различают следующие виды ассортимента: простой, сложный, групповой, развернутый, сопутствующий, смешанный.

Простой ассортимент — набор товаров, представленный не­большим количеством групп, видов и наименований, которые удов­летворяют ограниченное число потребностей, например, хлебобу­лочные и молочные магазины в рабочих районах, сельских местно­стях.

Сложный ассортимент — набор товаров, представленный значи­тельным количеством групп, видов, разновидностей и наименова­ний товаров, которые удовлетворяют разнообразные потребности в товарах. Такой ассортимент присущ оптовым базам, розничным торговым организациям типа универсамов или универмагов, ориен­тирующимся на покупателей с разным спросом.

Групповой ассортимент — выбор однородных товаров, объеди­ненных общностью признаков и удовлетворяющих аналогичные потребности. Наиболее часто в качестве общего признака выступает функциональное или социальное назначение. Например, хлебобулочные, плодовоовощные, молочные, обувные и другие группы товаров объединены по признаку функционального назначения, а товары для детей, молодежи, для отдыха — социального.


Видовой ассортимент — набор товаров различных видов и на­именований, удовлетворяющих аналогичные потребности. Он явля­ется составной частью группового ассортимента.

Марочный ассортимент — набор товаров одного вида, марочных наименований или относящихся к группе марочных. Такие товары наряду с удовлетворением физиологических потребностей в значи­тельной степени нацелены на удовлетворение социальных и психо­логических потребностей. Эти потребности удовлетворяются пре­стижными марками автомобилей, моделями одежды, обуви, совре­менной косметикой, коллекцией марочных вин и др.

Развернутый ассортимент — набор товаров, который включает значительное количество подгрупп, видов, разновидностей, наиме­нований, в том числе марочных, относящихся к группе однород­ных, но отличающихся однородными признаками. Такой ассорти­мент, как правило, встречается в специализированных магазинах, причем количество групп однородных товаров может быть сравни­тельно небольшим. Так, в торговый ассортимент магазинов, спе­циализирующихся на продаже аудио- и видеотехники, входят три-четыре группы однородных товаров (телевизоры, магнитофоны, видеомагнитофоны), но зато эти группы представлены большим количеством товаров разных классов сложности и торговых марок.

Сопутствующий ассортимент — набор товаров, которые вы­полняют вспомогательные функции и не относятся к основным для данной организации. Товары сопутствующего ассортимента, на­пример, в обувном магазине — это предметы ухода за обувью, в продовольственном магазине — мыло, спички, хозяйственные товары.

Смешанный ассортимент — набор товаров разных групп, видов, наименований, отличающихся большим разнообразием функцио­нального назначения. Смешанный ассортимент характерен для магазинов, торгующих непродовольственными и продовольственными товарами.

По степени удовлетворения потребностей различают рациональ­ный и оптимальный ассортимент.

Рациональный ассортимент — набор товаров, наиболее полно удовлетворяющий реально обоснованные потребности, которые обеспечивают максимальное качество жизни при определенном уровне развития науки, техники и технологии. Формирование ра­ционального ассортимента требует большого учета факторов и показателей, многие из которых довольно изменчивы. К таким факторам относятся реальные потребности, которые зависят от уровня жизни населения, достижений научно-технического прогресса и особенностей внешней среды.

В свою очередь, многие из этих факторов непосредственно влияют на изменение рационального ассор­тимента. Оптимальный ассортимент — набор товаров, удовлетворяющих реальные потребности с максимально полезным эффектом при ог­раниченных затратах для потребителя либо при минимальных за­тратах на их проектирование, производство и доведение до потре­бителя при требуемом (приемлемом) эффекте (результате) для по­требителя.


В зависимости от характера потребностей ассортимент может быть реальным, прогнозируемым и учебным.

Управление ассортиментом — деятельность, направленная на достижение требований рациональности ассортимента и его развитие в соответствии с конъюнктурой рынка и стратегическими целя­ми организации.

Формирование ассортимента — деятельность по составлению набора товаров, позволяющая удовлетворить реальные или прогнозируемые потребности, а также достигнуть целей, определенных руководством организации. При формировании ассортимента учитываются практически все виды активности организации, направленные на отбор продукции для производства и последующей их реализации, а также приведение характеристики продукции в соответствии с требованиями и возможностями потребителей. Развитие ассортимента осуществляется не на основе его расширения (сужения), а углубления и прореживания отдельных продуктовых линий.

Формирование ассортимента не может абстрагироваться от кон­кретной организации и должно базироваться на заранее выбранных целях и задачах, обусловливающих направления развития ассорти­мента. Это определяет ассортиментную политику организации.

Ассортиментная политика — это цели, задачи и основные направ­ления формирования ассортимента, определяемые руководством организации.

Цель организации в области ассортимента — форми­рование реального и/или прогнозируемого ассортимента, макси­мально приближающегося к рациональному, для удовлетворения разнообразных потребностей и получения запланированной прибы­ли. Для этого должны быть решены следующие основные задачи:

§ установлены реальные и предполагаемые потребности в опре­деленных товарах;

§ определены основные показатели ассортимента и проведен анализ его рациональности;

§ выявлены источники товарных ресурсов, необходимые для формирования рационального ассортимента;

§ оценены материальные возможности организации для выпус­ка, распределения и/ или реализации отдельных товаров;

§ определены основные направления формирования ассорти­мента.

Основные направления в области формирования ассортимента: сокращение, расширение, стабилизация, обновление, совершенст­вование, гармонизация. Это направления, краткая характеристика которых приведена в табл.2.

Выбор того или иного направления формирования ассортимен­та требует знания влияющих на него факторов. При этом различают общие и специфичные факторы формирования ассортимента. Общими факторами, влияющими на формирование промышлен­ного и торгового ассортимента, являются спрос и рентабельность. Спрос как потребность, подкрепленная платежеспособностью потребителей, - определяющий фактор формирования ассортимента, в свою очередь зависит от сегмента рынка потребителей (их дохо­дов, национальных, демографических и других особенностей). Рентабельность производства и реализации определяется затра­тами производства и обращения, на величину которых значительное влияние оказывают внешние (государственные меры по под­держке отечественных предприятий, налоговая политика и др.) и внутренние факторы (уровень технологических процессов, эконо­мия ресурсов и др.).

Специфичными факторами формирования промышленного ас­сортимента являются сырьевая и материально-техническая база производства, достижения научно-технического прогресса, а торго­вого ассортимента — производственные возможности изготовите­лей, специализация (класс и тип) торговой организации, каналы распределения, методы стимулирования сбыта и формирования спроса (ФОССТИС), материально-техническая база торговой орга­низации.

Табл. 2

Характеристика основных направлений в области формирования ассортимента

Направление формирования ассортимента Характеристика направления Причины и факторы
     
Сокращение ассортимента Количественные и качественные изменения состояния набора товаров за счёт уменьшения его широты и полноты Падение спроса, недостаточность предложений, убыточность или низкая прибыльность при производстве и реализации отдельных товаров
Расширение ассортимента Количественные и качественные изменения набора товаров за счёт увеличения показателей широты, полноты и новизны Увеличение спроса и предложения, высокая рентабельность производства и реализации товаров, появление новых товаров или изготовителей
Стабилизация ассортимента Состояние набора товаров, характеризующееся высокой устойчивостью и низкой степенью обновления Стабильность потребления пищевых продуктов повседневного спроса
Обновление ассортимента Количественные и качественные изменения состояния набора товаров, характеризующиеся увеличением показателей новизны Появление новых потребностей, необходимость повышения качества и конкурентоспособности, стимулирование спроса
Совершенствование ассортимента Количественные и качественные изменения состояния набора товаров для повышения его рациональности Комплекс причин и факторов
Гармонизация ассортимента Количественные и качественные изменения состояния набора товаров, отражающие степень близости реального ассортимента к оптимальному или лучшим зарубежным и отечественным аналогам, наиболее полно соответствующим целям организации Стремление ряда «элитных» магазинов формировать ассортимент по образцу известных зарубежных фирм, при наличии дочерних предприятий в разных регионах

Важную роль в управлении ассортиментом и формировании ас­сортиментной политики предприятия играют нормативные и техно­логические документы, регламентирующие базовую широту и пол­ноту ассортимента. Перечень видов и наименований ассортимент­ных групп однородных товаров, составляющих базовую широту и полноту ассортимента, устанавливается в стандартах на продукцию разных категорий (ГОСТ, ГОСТ Р, ОСТ, СТО) и ТУ. В этих нормативных документах первый раздел называется «Классифика­ция и ассортимент», или «Ассортимент», или «Виды». Кроме того, в ряде нормативных документов приводится краткая характеристика видов и разновидностей товаров.

Наряду со стандартами различного уровня ассортимент товаров приводится в каталогах, прейскурантах и прайс-листах, которые составляют предприятия-изготовители или торговые организации. Эти документы выполняют двойную функцию, информируя потре­бителей об ассортиментных, качественных и стоимостных характе­ристиках товаров.

За рубежом широко распространены каталоги, которые разраба­тываются на государственном и фирменном уровнях. В нашей стране также проводится работа по созданию Единого государст­венного каталога, после выпуска которого появится технологиче­ский документ, содержащий полный ассортимент российских това­ров, который может быть в качестве базового показателя широты. В настоящее время в России уже выпущен ряд изданий, содержащих перечни отечественных товаров по различным отраслям народного хозяйства.

Вопрос 43

Вопрос 44

Вопрос 45

Ценовая политика в контексте системы управления представляет собой свод правил и ограничений, связанных с выработкой системы целей, которых предприятие собирается достичь с помощью цен на свою продукцию и альтернативных вариантов стратегий достижения этих целей на основе использования методов ценообразования. Политика цен не требует действий, она формируется для того, чтобы управляющие руководствовались ею, рассматривая возможные последствия своих решений до того, как эти решения приняты.

 

В соответствии с методическими рекомендациями Министерства экономики РФ (Приказ от 01.10.97г. № 118) под политикой цен понимают общие цели, которые предприятие собирается достичь с помощью цен на свою продукцию.

Данное определение при формировании ценовой политики ориентирует фирму прежде всего на цели, которые она достигнет посредством продажи конкретного товара или услуги. Менеджерам фирмы необходимо помнить, что хотя глобальной целью любого предприятия является максимизация прибыли, однако на разных этапах деятельности фирмы могут быть выдвинуты такие цели, как защита своих интересов, подавление конкурентов, завоевание новых рынков, быстрое возмещение затрат, стабилизация доходов.

Формирование ценовой политики предполагает обоснование цели ценовой политики, выбор стратегии ценообразования и методов ценообразования. Цель ценовой политики напрямую связана с финансовой стратегией организации.

Для реализации политики предприятия разрабатывается стратегия – план достижения конкретных долгосрочных целей. В свою очередь, стратегия предприятия формируется в рамках основных направлений деятельности предприятия:

- инновационная стратегия;

- стратегия производства;

- финансовая стратегия;

- маркетинговая стратегия.

В рамках исследуемой темы нас интересует стратегия маркетинга: выбор целевых рынков и потребителей; внедрение маркетингового комплекса (продукт, цена, продвижение, позиционирование). Ценовая политика – составная часть маркетингового комплекса.

Таким образом, ценовая политика предусматривает координацию действий и разработку стратегии, направленной на достижение общих целей предприятия в сфере маркетинга.

Для успешной разработки ценовой политики необходимо ее планировать на этапе бизнес планирования фирмы и затем реализовывать в рамках маркетинговой службы.

Основные практические вопросы, решаемые посредством ценовой политики

1. в каких случаях и на каких рынках необходимо активно использовать ценовую политику

2. когда необходимо отреагировать с помощью цены на рыночную политику конкурента

3. какими мерами ценовой политики должно сопровождаться выведение на рынок нового продукта

4. на какие товары ассортиментного ряда следует изменить цены

5. как распределить во времени отдельные ценовые изменения

6. какими ценовыми изменениями можно усилить эффективность других мероприятий сбытовой политики.

Вопрос 46

 

 

Как уже отмечалось, этап жизненного цикла товара является важным фактором, влияющим на выбор ценовой стратегии. Каждый из рассмотренных нами базовых элементов (затраты, ценовая чувствительность покупателей, конкурентная среда) достаточно предсказуемо меняется по мере того, как товар проходит через известные четыре фазы жизненного цикла: становление, рост, зрелость, упадок. Соответственно, это не может не сказываться на ценовых решениях.

Так, на стадии становления, т.е. разработки и вступлении товара на рынок, с одной стороны, производитель хочет компенсировать издержки на исследования и разработку этого товара, организацию его производства. Кроме того, потребители могут воспринимать цену как показатель определенного качества. Все это свидетельствует в пользу высокой цены продукта на данной стадии. С другой стороны, если продукт имеет аналоги, то с целью завоевания потребительского спроса цена может быть занижена. Конкуренция заметно усиливается на стадии роста. Это увеличивает чувствительность потребителей к цене. При этом цена должна точно соответствовать тому качеству потребительской ценности, которого ждет покупатель.

Стадия зрелости продукта означает, что на рынке появляется наиболее чувствительная к цене группа покупателей. На этой стадии происходит расширение рынка как за счет ранее не охваченных потенциальных потребителей, так и за счет географического расширения рынка. Рынок насыщается продуктом. Одновременно часть фирм покидает его, не выдержав конкуренции, еще одна часть переходит на создание нового продукта. Уровень цены на стадии зрелости невысокий. Для фирмы особенно важной становится ее доля на рынке, снижение которой приведет к неспособности фирмы окупить расходы. Именно на этой стадии появляется некая общая «рыночная» цена, к которой в большей или меньшей степени тяготеют производители. На стадии же падения товар заканчивает свое существование в условиях недогрузки производственных мощностей. Прибыль и цена могут резко падать, но могут и стабилизироваться на низком уровне.

Выбрав грамотно ценовую стратегию, компания может в значительной степени «облегчить» товару прохождение наиболее трудных фаз (становление, спад) и извлечь как можно большую выгоду во время растущего или стабильно высокого спроса на товар.

 

Для формулирования ценовой стратегии наиболее ответственным временем является первая стадия жизненного цикла товара. Причем это важно как для принципиально новой продукции, не имеющей аналогов, так и для новых моделей на уже сложившемся рынке.

Продукт, реализующий новую концепцию, является инновационным и, следовательно, требует обучения покупателей, прежде всего, через распространение информации о товаре. В этой связи важно учесть следующие моменты:

– важным способом распространения информации о товаре является передача информации от потребителя к потребителю. Как доказывают исследования, долгосрочный рост спроса на инновационный продукт зависит от количества новаторов, т.е. потребителей продукта на этапе его появления на рынке. При этом рост спроса не наблюдается до тех пор, пока с продуктом не ознакомятся 2-5% потенциальных покупателей[28];

– поведение новаторов отличается от поведения основной массы покупателей. Их чувствительность к цене на инновационный продукт, как правило, существенно ниже, чем долговременная эластичность спроса, поскольку они склонны считать цену мерилом качества товара. Поэтому цена на инновационный продукт должна устанавливаться на уровне, соответствующем ценности продукта.

Поскольку новаторы не пугаются высоких цен, то выпускать на рынок новинку по цене проникновения было бы ошибкой. Низкая цена будет восприниматься новаторами как показатель низкого качества продукта, а остальную массу потребителей вряд ли удастся привлечь, пока с продуктом не ознакомились новаторы. Поэтому использование стратегии «снятия сливок» является более уместным. При этом вступление инновационного продукта на рынок следует сопровождать продуманными методами знакомства с ним покупателей. Если предельные затраты низки и преимущества продукта становятся очевидными сразу после первой покупки, то эффективным способом ознакомления с ним покупателей будет предоставление возможности бесплатно попробовать продукт, как это часто делают продавцы программных продуктов. В других случаях более эффективны прямые продажи или создание специальных каналов распределения, где смогут узнать и удовлетворить требования потенциальных покупателей, объяснить им преимущества товара и научить им пользоваться, гарантировать послепродажное обслуживание и т.д. Продавцы могут использовать эти способы обучения покупателей для получения обратной информации и корректировки цен в соответствии со спросом.

Если предлагаемый продукт не является принципиально новым, а просто расширяет уже существующий товарный ряд изделий, то фирма может выбрать как стратегию снятия сливок, так и стратегию проникновения. Преимущества стратегии снятия сливок заключаются в следующем:

– получение в начале большой предельной прибыли, достаточной для покрытия затрат на исследования и опытные разработки и другие поглощенные затраты, а также большие расходы на рекламу и продвижение нового товара;

– позволяет фирме снять сливки с той части покупателей, которая готова приобретать продукцию по самой высокой цене до того, как возникнет широкий потенциальный рынок, возможный при более низкой цене на продукт;

– предоставляет возможности в последующем гибко снижать цены в целях расширения рынка и борьбы с возможной конкуренцией;

– позволяет осуществлять апробацию цены товара, постепенное приближение ее к приемлемому для покупателя уровню, поскольку покупатели значительно легче воспринимают последующее понижение цены, чем повышение ранее заниженной цены.

Эффективность стратегии «снятия сливок» в сравнении со стратегией проникновения прямо пропорциональна степени новизны продукта, особенно в случае высоких расходов на разработку, освоение и продвижение продукта, а также в случае ограниченных производственных возможностей.

Известны две разновидности стратегии проникновения, которые могут успешно использоваться на стадии становления неинновационного продукта на рынке – проникновение с ориентацией на спрос и на конкуренцию. Проникновение, ориентированное на спрос, используется в случае высокой ожидаемой ценовой эластичности потенциального спроса, а также когда требуется большой объем спроса для оправдания инвестиций или достижения эффекта масштаба. Преимущество данной стратегии заключается в потенциальной возможности завоевания твердых позиций на рынке или в получении репутации лидера до появления на рынке конкуренции.

Разновидностью стратегии проникновения с ориентацией на спрос выступает стратегия стимулирования комплексных продаж («бритвы и бритвенных лезвий») [29]. При этом на основной продукт (например, бритву или копировальную машину) устанавливается низкая цена, обеспечивающая максимальное проникновение и завоевание рынка. Одновременно на сопутствующие изделия при повторных продажах (бритвенные лезвия или сменные картриджи для копировальных машин) устанавливаются более высокие цены. Если технологией предусмотрено использование сопутствующих изделий только данной торговой марки, то стратегия проникновения для основного изделия может успешно применяться вместе со стратегией «снятия сливок» для сопутствующих продуктов.

Стратегия проникновения, ориентированная на конкуренцию, может быть реактивной и активной. При реактивной стратегии новая вступающая на рынок компания воздействует на сложившуюся на этом рынке ситуацию. Новая компания может пытаться занять свое место на рынке, предлагая цены, более низкие, чем у лидеров рынка. Также новая фирма может попытаться максимально возможно копировать продукт лидера рынка либо предложить упрощенный (но сохраняющий важнейшие для потребителя характеристики) вариант данного продукта. Активная стратегия проникновения предполагает использование низких цен для сдерживания потенциальной конкуренции (стратегия недопущения). Низкие прибыли при этом не позволяют потенциальным конкурентам обеспечить необходимое возмещение затрат на разработку, освоение и продвижение своих продуктов.

Стратегия проникновения с ориентацией на конкуренцию может предусматривать последующее постепенное повышение или резкий скачок первоначально низких цен. Это возможно в случае, когда новый продукт выпускается на рынок, занятый конкурирующими аналогами. Расчет при этом делается на то, что низкая цена привлечет покупателей, которые смогут убедиться в преимуществах данного продукта и потом будут согласны платить за него дороже. Данная стратегия может быть и более агрессивной, когда низкая цена просто выталкивает другие фирмы с традиционного рынка (стратегия вытеснения), после чего цена повышается.

В некоторых случаях фирма, не уверенная в длительном коммерческом успехе своего нового товара, выбирает стратегию быстрого возмещения затрат и устанавливает относительно невысокие «доступные» цены. Такая стратегия рассчитана на продажу больших объемов продукции и быстрое возмещение затрат, связанных с созданием товара, его производством и сбытом.

Стратегия целевых цен (удовлетворительного возмещения затрат) предусматривает установление цен, которые в течение 1-2 лет при оптимальной загрузке производственных мощностей обеспечивают возмещение затрат и расчетную прибыль на вложенный капитал. Эта стратегия обычно применяется крупными машиностроительными и другими фирмами, производящими массовую или крупносерийную продукцию, реализуемую на множестве рынков.

Через определенное время после входа фирмы на рынок перед ней встает необходимость принятия решения о дальнейшем сохранении или пересмотре стратегии цен. То, как скоро и какие образом будет должна быть пересмотрена ценовая стратегия, зависит от многих факторов, в первую очередь, от степени конкуренции и ценовой эластичности спроса. Например, снижение высоких цен оправдано, если развивается конкуренция. Особенно выгодным снижение высоких цен будет, если при этом резко возрастает объем продаж и реализуется эффект масштаба, ведущий к снижению себестоимости единицы продукта при больших объемах производства.

Фирма, использующая стратегию проникновения, имеет меньше возможностей для маневра ценами в условиях растущей конкуренции. Для того чтобы сохранять стратегическую линию, фирма должна иметь четкое представление о развитии спроса, его чувствительности к изменениям цен и к неценовым колебаниям.

Какой бы ни была первоначальная стратегия, для многих продуктов с течением времени ценовые решения постепенно переходят из стратегических в тактические в результате перехода к стадии насыщения, усиления конкуренции и по мере того, как все труднее становится поддерживать индивидуализацию продукта. Однако и в таком случае фирме следует осознать, что при обдуманном изменении ценовой стратегии имеются дополнительные возможности улучшения положения фирмы на рынке и увеличения доходов.

Кроме рассмотренных выше существует множество стратегий цен, которые можно успешно применять на разных фазах жизненного цикла изделия и при разной степени конкуренции на рынке. Ниже представлены наиболее применимые и часто встречающиеся стратегии.

Стратегия средних цен (нейтрального ценообразования) применима для фирм, стремящихся к получению стабильной прибыли в течение длительного времени. Многие крупные фирмы за рубежом довольствуются 8-10% прибыли к акционерному капиталу[30]. Такая стратегия рассматривается как наиболее «справедливая», поскольку при этом фирмы, с одной стороны, не наживают сверхприбылей за счет покупателей и, с другой стороны, получают справедливую прибыль на вложенный капитал. При этом фирмы не проводят политику агрессивного вытеснения конкурентов с рынка. В то же время относительно невысокая рентабельность на инвестированный капитал не стимулирует входа на рынок новых фирм. Такая стратегия применима на всех фазах жизненного цикла товара, за исключением фазы упадка.

Стратегия следования за лидером предполагает учет политики цен лидера в отрасли или на рынке. Цены на продукцию фирмы, предпочитающей данную стратегию, могут отклоняться от цены фирмы-лидера, но в пределах, обоснованных качественным и техническим превосходством. Чем меньше отличий в новых изделиях фирмы по сравнению с большинством предлагаемых на рынке продуктов, тем ближе уровень цен на новые товары к ценам, устанавливаемым лидером в отрасли.

На разных этапах жизненного цикла товара может быть полезной стратегия льготных цен. Наиболее применима данная стратегия в конце жизненного цикла товара. Она проявляется в применении разного рода скидок с основной цены товара. Осторожно проводимая и внимательно контролируемая система скидок обеспечивает фирмам возможность гибкого маневрирования в условиях изменяющегося спроса и конкуренции, не прибегая к изменению каталогов и прейскурантов. Однако, чем выше гибкость и неформальность процедуры предоставления скидок и чем больше права работника фирмы, ведущего переговоры о цене, тем с большими трудностями будет сталкиваться фирма в попытке удержать процесс ценообразования в определенных рамках. Опасность, таким образом, заключается в возможности утраты контроля и возникновения ценовых несоответствий. Это, в свою очередь, может привести к утрате конкурентных позиций каких-то продуктов и потере прибыли.

Отдельно следует выделить географические ценовые стратегии[31]. Стратегия «отпускная цена предприятия по месту изготовления» предполагает, что производитель перекладывает на покупателя все издержки по доставке товара, т.е. используются условия поставки FOB.

При использовании стратегии единой цены продавец устанавливает для всех потребителей (независимо от их местоположения) единую цену, включающую усредненные издержки по доставке товара. При этом выигрывают удаленные потребители. Эта стратегия удобна чисто технически и позволяет широко распространять информацию о ценах через рекламу.

Стратегия зональных цен предусматривает разделение продавцом своего потенциального рынка на зоны, внутри каждой из которых все покупатели платят за товар одинаковую цену. В более отдаленных зонах цена выше. Недостатком является то, что на территории вблизи условных границ между зонами покупатели вынуждены приобретать товар по значительно отличающимся ценам. Кроме того, эффективное осуществление такой зональной дифференциации возможно далеко не всегда.

Стратегия цен фрахтового базиса предполагает, что продавец выбирает определенное место в качестве базисного пункта и начисляет всем покупателям, независимо от фактического места отправки товара, дополнительные фрахтовые издержки к отпускной цене из расчета от места фрахтового базиса до расположения покупателя.

Стратегия оплаты фрахтовых издержек (или их части) за счет производителя используется как метод конкурентной борьбы. Если фирма-производитель хочет завоевать новых клиентов или проникнуть в новый регион, она может взять на себя полностью или частично оплату доставки товара к месту назначения.

Вопрос 47

Методы ценообразования - методы используемые при формировании цен на продукцию и услуги. Выделяют несколько методов ценообразования: основанные на издержках, основанные на линии покупателей, основанный на ценах конкурентов и др.

Важной составной частью маркетинга является формирование ценовой политики по отношению к продвигаемым на рынок товарам и услугам.

Цена была и остается важнейшим критерием принятия потребительских решений. Для государства с невысоким уровнем жизни, для бедных слоев населения, а также применительно к товарам массового спроса это характерно. Но за последнее время получили широкое развитие иные, неценовые факторы конкуренции. Тем не менее цена сохраняет свои позиции как традиционный элемент конкурентной политики оказывает очень большое влияние на рыночное положение и прибыль предприятия.

Вместе с тем ценовая политика многих фирм, особенно в России, нередко оказывается недостаточно квалифицированной. Наиболее часто встречаются следующие ошибки: ценообразование чрезмерно ориентировано на издержки; цены слабо приспособлены к изменению рыночной ситуации; цена используется без связи с другими элементами маркетинга; цены недостаточно структурируются по различным вариантам товара и сегментам рынка. Данные недостатки во многом вызваны наследием плановой экономики, когда цены определялись директивно или только на основе издержек, недостаточностью знаний российских руководителей в области маркетинга.

Методы ценообразования в маркетинге:

1. Затратные методы ценообразования

o калькуляция на базе полных затрат;

o калькуляция на базе переменных затрат;

o ценообразование на основе обеспечения целевой прибыли;

o метод рентабельности инвестиций;

2. Методы ценообразования, ориентированные на спрос:

o определение цены на основании опроса представительной выборки потребителей;

o метод аукциона;

o метод пробных продаж (метод эксперимента);

o параметрический метод;

3. Методы ценообразования, ориентированные на конкурентов:

o метод мониторинга конкурентных цен;

o метод конкурса;

4. Производственные методы ценообразования (микс):

o агрегатный метод;

o обратная калькуляция;

o калькуляционное выравнивание

Вопрос 48

Установив исходную цену, фирма затем корректирует ее в зависимости от различных факторов, действующих на рынке. При этом она применяет следующие виды цен и методы их установления:

- установление цен на новый товар;

- ценообразование в рамках товарной номенклатуры;

- установление цен по географическому принципу;

- установление цен со скидками и зачетами;

- установление цен для стимулирования сбыта;

- установление дискриминационных цен. Установление цен на новый товар. Стратегический подход фирмы к проблеме формирования цены во многом зависит от этапа жизненного цикла товара. Особенно большие затруднения имеет этап выдвижения на рынок нового товара. Существует различие между определением цены на подлинно новый товар, защищенный патентом, и товар-имитатор, аналогичный уже имеющимся на рынке товарам. Установление цены на подлинную новинку. Фирма, выступающая на рынке с новинкой, защищенной патентом, устанавливает на нее либо цену "снятия сливок", либо цену внедрения на рынок

Вопрос 49

В условиях рыночных отношений цена выступает связующим звеном между производителем и потребителем, механизмом определения равновесия межу спросом и предложением, а, следовательно, цены и стоимости.

Ценовая политика в значительной степени зависит от типа рынка. На рынке чистой конкуренции производители (продавцы) представлены большим числом и продают массовую продукцию с однородными свойствами. Наличие множества продавцов приводит к выравниванию цен, кроме того, товары являются практически одинаковыми. Никто из производителей в такой ситуации не в состоянии изменить цену в сторону роста, так как покупатели могут удовлетворить свои потребности по рыночным ценам. Таким образом, на рынке действует в основном рыночная цена.

Рынок монополистической конкуренции характеризуется множеством покупателей и продавцов, а также большим разбросом цен на аналогичные товары, который объясняется тем, что один и тот же товар может отличаться качеством, затратами на его эксплуатацию, внешним оформлением и т.д. Широко используется цена пробной продажи, в результате которой производитель может получить информацию, необходимую для модернизации тех или иных параметров товара и создания продукции, соответствующей требованиям рынка.

На олигополистическом рынке действует сравнительно небольшое количество продавцов, поскольку новому производителю сложно преодолеть конкуренцию товаропроизводителей, прочно закрепившихся на рынке и владеющих разными средствами, например, временное снижение цен для устранения с рынка появившихся конкурентов. На рынке существует вероятность того, что даже вопреки закону производители договорятся о единых ценах и квотах продаж.

Рынок монополии представлен одним производителем. Цена на товар устанавливается в зависимости от целей государственной или частной монополии. Этот рынок основывается на монопольной цене, которая предусматривает установлении более высоких цен для товаров собственного производства и пониженных цен на товары других производителей.

Спрос и предложение. Цена на рынке подвергается изменениям, прежде всего под воздействием спроса и предложения.

Спрос отражает наличие потребности людей в том или ином товаре, услуге, их желание его купить. Спрос – это количество товара, которое может быть куплено по определенной цене конкретной группой потребителей, за определенный отрезок времени в определенном географическом регионе. Чем выше цена, тем меньше товаров по этой цене будет куплено. И, как показывает практика, увеличение количества товара в продаже вызывает снижение цены на него.

 

Предложение – количество товаров с определенной ценой, которое продавцы могут и желают предложить покупателю в определенное время и определенной географическом регионе. Чем выше цена товара, тем больше будет его предложено на рынке.

Особенность свободного рынка в том, что при определенном количестве предложенной продукции он как бы сам по себе стремится к равновесию. Таким образом при соответствии спроса и предложения устанавливается рыночная равновесная цена. Однако состояние равновесия спроса и предложения никогда не бывает статичным из-за большого количества факторов, влияющих на него.

Если рыночная цена в определенный момент превышает равновесную цену, то она стимулирует превышение предложения над спросом и формируется избыток предложения. Если цена окажется ниже точки равновесия, то создается дефицит предложения по сравнению со спросом.

Ценовая эластичность спроса показывает реакцию рыночного спроса на изменение цены и определяет, на сколько процентов изменится спрос при изменении цены на 1%. Она показывает чувствительность покупателей к изменению цен, влияющую на количество товаров, которые они приобретают. Коэффициент эластичности оценивается по величине отношения изменения объема продаж в процентах к изменению цен в процентах. В зависимости от значения коэффициента ценовой эластичности различают:

· неэластичный спрос (коэффициент меньше 1);

· спрос единичной эластичности (коэффициент равен 1);

· эластичный спрос (коэффициент больше 1).

Если маркетинговая служба определила, что спрос на товары неэластичен, то можно дать руководству фирмы рекомендацию о повышении цены на товар, выручка при этом будет расти. При эластичном спросе цены на товары лучше не повышать, поскольку выручка от реализации будет снижаться. В данном случае целесообразнее рассмотреть вопрос о снижении цены, выручка будет расти в результате увеличения спроса на товары.

В своей деятельности предприниматель должен учитывать, что чувствительность потребителя к ценам и их реакция на ценовые изменения зависят от психологических и экономических факторов. Например, эластичность спроса будет ниже в случаях, если:

· товар не имеет аналогов;

· покупателю не известны или мало доступны товары-заменители;

· покупателю сложно сравнить качественные характеристики товаров-заменителей;

· затраты покупателей на товар составляют небольшую часть их бюджета;

· потребитель может часть затрат на приобретение товара разделить с кем-то;

· продукт используется в системе с ранее приобретенными базовыми товарами;

· товар относится к категории «предметов первой необходимости»;

· товар не подлежит длительному хранению;

· товару приписывают лучшее воздействие на здоровье потребителя, большую экологическую чистоту и престиж.

Сглаживает и временно устраняет противоречия между спросом и предложением ценовая и неценовая конкуренция. «Война цен» в любом случае – дело трудное и,в значительной степени, разорительное. На выигрыш может рассчитывать только та фирма, которая имеет более сильное положение на рынке, чем конкурент. Если экономическая мощь конкурентов примерно одинакова, оправдано «маневрирование ценами»: предоставление покупателям различного рода скидок, установление цен на товары разного качества в близком диапазоне и др. При неценовой конкуренции роль цены нисколько не уменьшается, но на первый план выступают уникальные свойства товара, его техническая надежность и качество. Именно это позволяет привлечь новых покупателей и повысить конкурентоспособность товара.

Государственное регулирование цен. Существуют прямые и косвенные меры воздействия государства на цены. Прямые меры осуществляются путем установления определенного порядка ценообразования, косвенные направлены на изменение конъюнктуры рынка, создание определенного положения в области финансов, валютных, налоговых операций, оплаты труда.

На решение по ценам влияют участники каналов распределения – от производителя до оптовой и розничной торговли. Все они стремятся увеличить объем реализации и прибыли и установить больший контроль над ценами.

Огромное воздействие на движение цен оказывает динамика цены производства товара. Рост производительности труда, снижение затрат орудий труда и сырья на единицу продукции вызывают снижение цены производства, и наоборот. Можно было бы ожидать, что с ускорением темпов научно-технического прогресса произойдет снижение рыночных цен. Однако практика показывает, что этого не происходит, поскольку политика монополий и инфляция могут оказать более сильное влияние на уровень цен.

Вопрос 50

В настоящее время в связи с изменением цен на сырье и материалы каждое предприятие периодически вынуждено изменять цены на выпускаемую продукцию. При этом возникает проблема, на какую величину изменять цену, чтобы её увеличение не привело к материальным потерям на предприятии в виде упущенной выгоды (в случае установления низкой цены) или к снижению объемов продаж (в случае установления высокой цены). Традиционно, при решении данного вопроса, делают сравнительный анализ цен конкурентов, которые могут влиять на рынок сбыта выпускаемой продукции, и, исходя из этого, определяют уровень конкурентоспособности цен [4].

В случае, когда количество конкурентов ограничено (обычно это бывает, когда выпускается сложная в изготовлении продукция), этот метод, безусловно, более приемлем. Однако бывают случаи, когда продукция в изготовлении не сложная и имеет большое количество производителей. В этом случае определение уровня конкурентоспособности цен по вышеизложенному методу является весьма проблематичным, так как выявить всех конкурентов практически невозможно.

В связи с этим проблему предлагается решать, исходя из анализа цен продавцов, а не производителей.

Это решение включает в себя несколько этапов.

I. Сбор первичной информации от продавцов

Для решения этого вопроса составляется постоянная база данных по продавцам с разбивкой их по регионам. В приведенном ниже примере база данных состоит из 24 фирм, находящихся в 6 регионах — Северо-Западный, Центрально-Черноземный, Центральный, Поволжский, Уральский, Северо-Кавказский (таблица 1).

Информация от продавцов может получаться ежеквартально, путем телефонного опроса или другими способами.

II. Обработка данных

Определяется средний уровень цен на продукцию, выпускаемую предприятием как среднеарифметическое значение цен по каждому изделию (см. таблицу 1, стб. 28).

 

Чтобы получить более точные данные, делаются ограничения по максимальным отклонениям от средней величины. Для этого принимаем максимальную величину отклонения от полученной среднеарифметической величины, равной 30 % (величина отклонения устанавливается произвольно, чем больше отклонение, тем больше разброс данных). Получаем интервал отклонений (см. табл. 1, стб. 30, 31). Числа, не вошедшие в интервал, отбрасываются и снова делается расчет среднеарифметической величины рыночных цен, полученной уже из чисел, вошедших в наш интервал (см. табл. 1, стб. 32).

 

Определяется общий средний процент увеличения цен у фирм, торгующих продукцией нашего предприятия (табл. 2).

Для этого из общей базы данных выбираются продавцы, получающие продукцию только у нашего предприятия (2, 4, 5, 6, 7, 8, 22), т. к. только здесь мы знаем, от какой цены делается «накрутка».

Находится процент увеличения цены по каждому изделию, который суммируется по всем изделиям, и находится среднеарифметическое значение этих чисел. В нашем примере оно составило 49 % (см. табл. 2, стб. 16).

Предполагается, что полученная величина является минимальной «накруткой», позволяющей сохранить интерес торгующей организации при реализации нашей продукции, т. е. получить устраивающий её размер дохода.

Определяется приведенная цена (см. табл. 2, стб. 17), которая находится как произведение чисел в столбце 3 (отпускные цены предприятия) на 1,49, где 1,49 — коэффициент увеличения цены.

Приведенная цена — это минимальная цена продажи товара, которая устраивает продавца.

Определяется процент отклонения приведенной цены от среднерыночной (табл. 3, стб. 6).

III. Анализ данных

Если приведенная цена будет выше среднерыночной (см. табл. 3, стб. 4, 5), то это будет означать, что цена предприятия не конкурентоспособна, так как продавец не сможет продать продукцию с устраивающей его «накруткой», в связи с чем он будет искать другого производителя, цена которого будет его устраивать.

Так, из данных таблицы 3 столбца 6 видно, что цены неконкурентоспособны на изделия:

— № 6 (-3,26%),

— № 7 (-3,28%),

— № 8 (-10,35%).

Следовательно, повышение цен на эти изделия может привести к снижению продаж, в связи с чем необходимо изыскивать внутренние резервы на снижение стоимости изготовления этих товаров, что компенсирует рост затрат на сырье и материалы, который не зависит от деятельности предприятия.

Вопрос 51

Сбытовая политика представляет собой комплекс мероприятий, осуществляемый фирмой и направленный на планирование и реализацию мероприятий по продаже товаров или услуг.

При осуществлении сбытовой политики фирма преследует определенную цель: выбор оптимальных каналов сбыта для данного рынка с учетом планируемых объемов продаж. Особенности продукции, а также цели предприятия оказывают влияние на выбор каналов сбыта. Когда предприятие реализует свою продукцию на местном рынке, здесь существуют следующие потенциальные каналы сбыта:

- организация сетей фирменных магазинов;

- организация агентской сети, которая будет осуществлять поставки продукции в существующие розничные предприятия;

- организация сбыта путем использования независимых оптовых посредников.

При оценке канала сбыта учитывают следующие факторы:

- объем товаров, пропускаемый данным каналом (продажа и перепродажа);

- приемлемый уровень цен для конечного потребителя, где оценка производится с двух позиций: конкурентов и покупателей;

- вложения, требуемые для функционирования канала необходимой мощности.

Основные этапы сбытовой политики:

1) планирование мероприятий по продаже товаров или услуг (определение основных каналов распределения, посредников и т.п.);

2) обеспечение необходимого количества товаров;

3) реализация продукции через установленные каналы распределения;

4) осуществление контроля за проведением мероприятий по сбыту;

5) анализ слабых сторон и принятие мер по их устранению.

К методам сбыта относятся:

1) прямой — непосредственная продажа товара производителем потребителю;

2) косвенный — сбыт, осуществляемый через независимых посредников;

3) комбинированный — сбыт, осуществляемый через организацию-производителя и одновременно с помощью независимой фирмы.

К факторам оценки каналов сбыта относят следующие:

1) степень охвата целевого рынка;

2) профессионализм продавца;

3) эффективность демонстрации товара;

 

4) пути доступа к данному каналу.

Вопрос 52

Главной задачей в разработке сбытовой политики является выбор канала распределения товара.

Канал распределения – совокупность организаций и лиц, способствующих перемещению товара от производителя к потребителю. Канал распределения - это совокупность фирм или отдельных лиц, которые принимают на себя или помогают передать кому-то другому право собственности на товар или услугу на пути их движения от производителя к потребителю).

Каналы распределения характеризуются числом уровней канала.

Уровень канала распределения любой посредник, который выполняет ту или иную работу по приближению товара и права соб­ственности на него к конечному потребителю.

Различают простую и сложную системы сбыта.

Простая система представлена каналом нулевого уровня (канал прямого маркетинга). Этот канал состоит из производителя, напрямую реализующего продукцию потребителям (т.е. фактическое отсутствие специальных сбытовых организаций) (рис. 1). Этот канал целесообразен при малой рыночной доле

 

Рис. 1. Простая система сбыта

Выделяют следующие способы прямой продажи:

- торговля через фирменные магазины (через принадлежащие производителя магазины и торговые точки);

- посылочная торговля;

- торговля вразнос.

Сложные системы (непрямой (косвенный) канал сбыта) сбыт через посредников. Здесь выделяют:

- Одноуровневый канал (канал одного уровня) включает одного независимого посредника, На по­требительском рынке этим посредником бывает розничный торговец, а на рынках товаров промышленного назначения им нередко стано­вится агент по сбыту или брокер;

- двухуровневый канал включает посредников двух типов, На по­требительском рынке посредниками обычно становятся оптовый и роз­ничный торговцы. На рынках товаров промышленного назначения это могут быть промышленный дистрибьютор и дилеры

- Трехуровневый канал включает посредников трех типов, например крупного оптовика, оптовика и розничного торговца (рис. 2). Мел­кие оптовики покупают товары у крупных оптовых торговцев и пере­продают их небольшим предприятиям розничной торговли, которые крупные оптовики обычно не обслуживают.

 

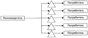
Рис. 2. Сложные системы сбыта: ∆ – розничный торговец; ™ – оптовый торговец; £ – крупный оптовик

 

По числу уровней определяется длина канала сбыта - короткий канал (один-два посредника); длинный канал (более двух посредников, последовательно перекупа­ющие товар друг у друга).

 

Ширина канала сбыта формируется числом посредников одного тип а (на одном уровне) (рис. 3).

 

 

Рис. 3. Ширина (5 единиц) сбытового канала одного уровня: ∆ – розничный торговец

 

Вопрос 53

Терминологическое (концептуальное) понятие «маркетинговая логистика» впервые, в отечественной теории предложено профессором Г.Л.Багиевым. Он определяет ее, исходя из следующих основных аспектов:

1. Раздел предпринимательской логистики, включающий методологию, теорию, методику и способы оптимизации потоков всех видов, которые сопровождают маркетинговую деятельность.

2. Совокупность методов, с помощью которых в системе маркетинга осуществляется анализ, синтез и оптимизация потоков всех видов, сопровождающих товар или услугу от производителя до конкретного покупателя, а также коммуникации субъектов маркетинговой системы в процессе их взаимодействия.»

Оба определения в двух аспектах исчерпывающе определяют существо содержания и понимания сферы соответствующего приложения логистической методологии и методического инструментария.

Иными словами, маркетинговая логистика может означать, что речь идет о таком объекте, как маркетинговая система какой-либо экономической, относительно независимой, структуры и к ней прилагается логистический подход как средство ее (системы) оптимизации. Поскольку под системой (с позиции общей теории систем) понимается совокупность функционально соотнесенных элементов, определяющих ее (совокупности) назначение, то очевидно, что маркетинговые логистические системы могут быть классифицированы по меньшей мере в три категории (группы):

· Логистическая система (оптимизирующая) управления маркетингом (как концепцией), понимаемая концептуально как широкий комплекс мер стратегического и тактического характера, направленный на эффективное осуществление рыночного поведения фирмы и достижения ее основной цели – обеспечения устойчивого и всестороннего успеха у потребителей товаров и услуг фирмы при нормальной доходности и прибыльности ее основной деятельности; структурными элементами – подсистемами этой «большой» системы могут являться функциональные блоки концептуальных действий; исследования маркетинга, ассортиментная политика, ценовая политика, сбыт, реклама, сервис;

· Логистическая система управления службами маркетинга, прямо ориентированного на конкретный товар (семейство товаров и услуг), обеспечивающая «основной» маркетинг; структурными элементами этой «сложной» системы могут являться функции управления маркетингом: целеполагание, организация, планирование, оперативно-регулирующие решения, диагностический контроль, анализ оценки – т.е. все, что характерно для логистической кибернетической системы;

· Логистическая система международного маркетинга, представляющая собой концептуально симбиозную системную структуру, аналогичную первым двум, но с учетом таможенной проблематики, валютно-финансовых различий, различий экономических и мотивационных субъектов международного права, интегрированных в общие структурно-экономические и маркетинговые системы.

Установив, таким образом, объект логистических изысканий и разработок, предметом (т.е., что исследуется, изучается), согласно определению Г.Л.Багиева, является оптимизация потоковых процессов в маркетинговых системах как единого целого.

Как и в системном целенаправленном объекте любой степени природы и формы, маркетинговая система, маркетинговая деятельность в ней изначально могут иметь в любой степени несовершенства и, следовательно, какие-то резервы, потенциал совершенствования. Поэтому одной из целей, параллельной с повседневными целями обеспечения функционирования системы, должны являться перманентные совершенствования, «доводка» складывающейся маркетинговой системы до возможно более высокого уровня. Достижение именно таких целей обеспечивает приложение логистической методологии в маркетинге. Это также является одним из направлений логистических постановок задач и исследовательской проблематики в современной эконо Се́рвис (от лат. servio — быть рабом (невольником), быть порабощённым, в рабстве; → лат. servus — 1) служилый, подневольный; находящийся в полном подчинении, зависимый, подвластный; рабский, невольничий; 2) обременённый повинностями); 3)-а, м. То же, что обслуживание[1],[2]:

· Услуга, сфера услуг, обслуживание (в ресторане)

· Службы Windows

· Веб-сервис — услуги, предоставляемые в интернете с помощью специальных программ

мике.

 

Вопрос 54

Приемлемая форма работы подразумевает возможность управления каналом сбыта, мотивацию посредника и осуществление должного контроля за функционированием канала.

Работа с агентом (агентством) подразумевает организацию сотрудничества туроператора с самостоятельным субъектом хозяйствования и осуществляется на основе двух видов агентских соглашений:

· простого агентского соглашения;

· эксклюзивного агентского соглашения.

В рамках простого агентского соглашения можно выделить три специфические формы сотрудничества туроператора и агента.

1. Агент продает продукт от имени и по поручению туроператора. При обслуживании клиентов агент заключает с ними договора от имени туроператора, выдает им туристские документы (путевки, ваучеры) туроператора и подтверждает ему продажу того или иного тура. Вся ответственность за оказание комплекса туристских услуг по туру лежит на туроператоре. Как правило, агент не ограничивается одним лишь туроператором.

2. Агент продает продукт по поручению туроператора, но от своего имени. При обслуживании клиентов в этом случае агент заключает с ними договора от своего имени, выдает собственные туристские документы. В случае возникновения претензий со стороны клиентов вся ответственность лежит на агенте, который имеет возможность обратить регрессный иск на туроператора.

3. Агент включает продукт туроператора составной частью собственного продукта. Несмотря на эти различия работа с таким каналом характеризуется достаточно высоким охватом целевого рынка, снижением затрат и издержек на поддержание функционирования канала. К недостаткам следует отнести ограниченные возможности воздействия и контроля (определяются договорными обязательствами).

Эксклюзивное агентское соглашение осуществляется на основании агентского соглашения с предоставлением определенных привилегий. Агент получает от туроператора определенные привилегии на продажу туристского продукта. Как правило, привилегии предоставляются в виде:

· более низкой цены турпродукта;

· закрепления определенной территории за агентом;

· более высокого комиссионного вознаграждения;

· предоставления определенной гарантированной квоты на турпродукт.

Вместе с тем туроператор получает определенные рычаги воздействия на агента, такие как:

 

· возможность фиксировать конечную цену продукта;

· установление стандартов и технологических требований туроператора;

· возможность контроля за сбытом турпродукта;

· ограничение турагента в сотрудничестве с другими туроператорами.

Данный канал характеризуется сегментированным охватом целевого рынка, снижением затрат и издержек на поддержание его функционирования, высокой степенью управляемости и возможностями контроля. Вместе с тем, в туризме пока не получил широкого распространения в силу высоких качественных критериев, предъявляемых к выбору агента.

 

Вопрос 55

Цель любого продавца







Date: 2015-07-27; view: 928; Нарушение авторских прав



mydocx.ru - 2015-2026 year. (0.869 sec.) Все материалы представленные на сайте исключительно с целью ознакомления читателями и не преследуют коммерческих целей или нарушение авторских прав - Пожаловаться на публикацию