Главная Случайная страница


Полезное:

Как сделать разговор полезным и приятным Как сделать объемную звезду своими руками Как сделать то, что делать не хочется? Как сделать погремушку Как сделать так чтобы женщины сами знакомились с вами Как сделать идею коммерческой Как сделать хорошую растяжку ног? Как сделать наш разум здоровым? Как сделать, чтобы люди обманывали меньше Вопрос 4. Как сделать так, чтобы вас уважали и ценили? Как сделать лучше себе и другим людям Как сделать свидание интересным?


Категории:

АрхитектураАстрономияБиологияГеографияГеологияИнформатикаИскусствоИсторияКулинарияКультураМаркетингМатематикаМедицинаМенеджментОхрана трудаПравоПроизводствоПсихологияРелигияСоциологияСпортТехникаФизикаФилософияХимияЭкологияЭкономикаЭлектроника






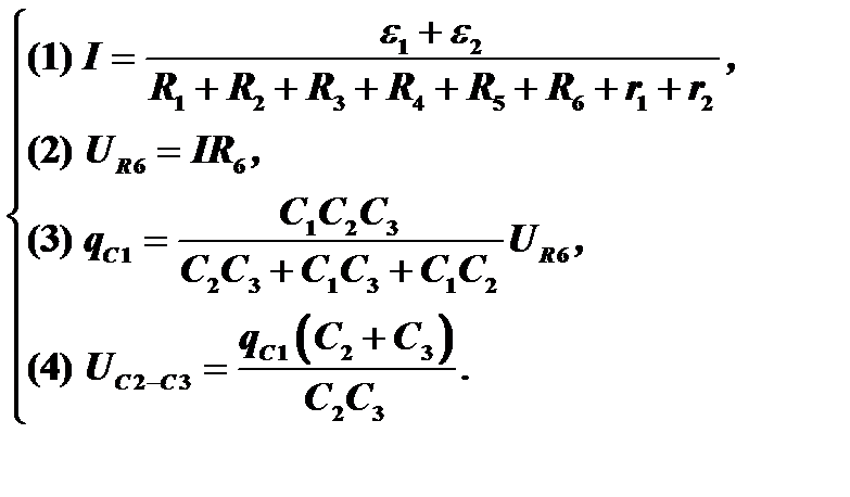
Задача 90





В схеме, изображенной на рисунке . Найдите напряжение на батарее, состоящей из последовательно соединенных конденсаторов и .

1 ⃰. Дано:Решение:

2 ⃰.

4 ⃰. Составим полную систему уравнений для

нахождения искомой величины :

 


 


Система четырех уравнений (1) – (4) замкнута, так как содержит четыре неизвестные величины .

9 ⃰. Ответ: .

 

 

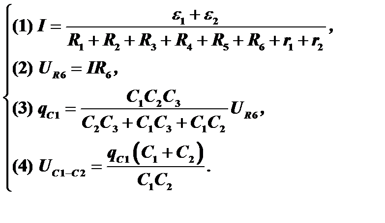
Задача 91

В схеме, изображенной на рисунке . Найдите напряжение на батарее, состоящей из последовательно соединенных конденсаторов и .

1 ⃰. Дано:Решение:

2 ⃰.

4 ⃰. Составим полную систему уравнений для

нахождения искомой величины :

 


 


Система четырех уравнений (1) – (4) замкнута, так как содержит четыре неизвестные величины .

9 ⃰. Ответ: .

 

 







Date: 2015-07-27; view: 350; Нарушение авторских прав



mydocx.ru - 2015-2026 year. (0.267 sec.) Все материалы представленные на сайте исключительно с целью ознакомления читателями и не преследуют коммерческих целей или нарушение авторских прав - Пожаловаться на публикацию