Главная Случайная страница


Полезное:

Как сделать разговор полезным и приятным Как сделать объемную звезду своими руками Как сделать то, что делать не хочется? Как сделать погремушку Как сделать так чтобы женщины сами знакомились с вами Как сделать идею коммерческой Как сделать хорошую растяжку ног? Как сделать наш разум здоровым? Как сделать, чтобы люди обманывали меньше Вопрос 4. Как сделать так, чтобы вас уважали и ценили? Как сделать лучше себе и другим людям Как сделать свидание интересным?


Категории:

АрхитектураАстрономияБиологияГеографияГеологияИнформатикаИскусствоИсторияКулинарияКультураМаркетингМатематикаМедицинаМенеджментОхрана трудаПравоПроизводствоПсихологияРелигияСоциологияСпортТехникаФизикаФилософияХимияЭкологияЭкономикаЭлектроника






Задача53





Задача51

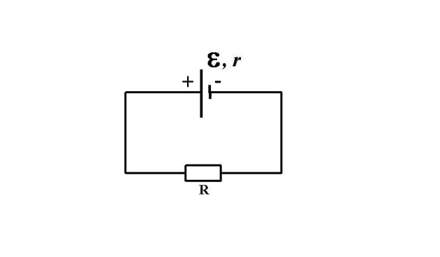
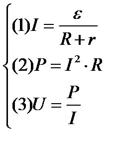
ЭДС батареи , внутреннее сопротивление . Внешняя цепь потребляет мощность . Определите силу тока в цепи, напряжение , под которым находится внешняя цепь, и ее сопротивление .

1*. Дано: Решение:

2*.

 

4*. Составим полную систему уравнений для нахождения искомых величин

Система трех уравнений (1)-(3) замкнута, так как содержит три неизвестные величины

9*. Ответ:

Задача52

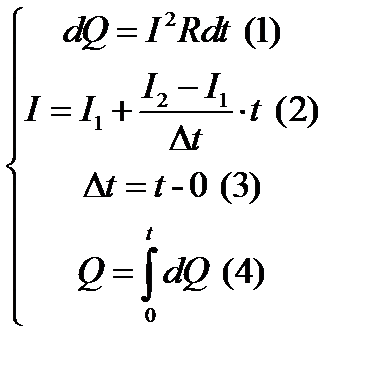
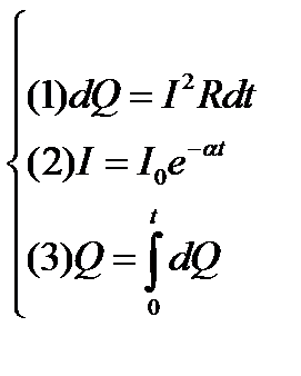
Сила тока в проводнике изменяется со временем по закону , где , . Определить количество теплоты , выделившееся в проводнике сопротивлением , за время .

1*. Дано: Решение:

4*. Составим полную систему уравнений для нахождения искомой величины :

Решение системы (1)-(3) получается подстановкой (2) в (1), (1) в (3), что приводит к нахождению

9*. Ответ:

 

Задача53

Сила тока в проводнике сопротивлением за время равномерно нарастает от до . Определить количество теплоты , выделившееся за это время в проводнике.

1*. Дано: Решение:

2*

 

4*. Составим полную систему уравнений для нахождения искомой величины :

Решение системы (1)-(4) получается подстановкой (2) в (3), (2) в (1), далее (1) в (4), что и приводит к нахождению .

9*. Ответ: .







Date: 2015-07-27; view: 374; Нарушение авторских прав



mydocx.ru - 2015-2026 year. (1.091 sec.) Все материалы представленные на сайте исключительно с целью ознакомления читателями и не преследуют коммерческих целей или нарушение авторских прав - Пожаловаться на публикацию