Главная Случайная страница


Полезное:

Как сделать разговор полезным и приятным Как сделать объемную звезду своими руками Как сделать то, что делать не хочется? Как сделать погремушку Как сделать так чтобы женщины сами знакомились с вами Как сделать идею коммерческой Как сделать хорошую растяжку ног? Как сделать наш разум здоровым? Как сделать, чтобы люди обманывали меньше Вопрос 4. Как сделать так, чтобы вас уважали и ценили? Как сделать лучше себе и другим людям Как сделать свидание интересным?


Категории:

АрхитектураАстрономияБиологияГеографияГеологияИнформатикаИскусствоИсторияКулинарияКультураМаркетингМатематикаМедицинаМенеджментОхрана трудаПравоПроизводствоПсихологияРелигияСоциологияСпортТехникаФизикаФилософияХимияЭкологияЭкономикаЭлектроника






Добування сечової кислоти. Таутомерія сечової кислоти і її кислотно-основні властивості. Урати





В водных растворах мочевая кислота существует в двух формах: лактамной (7,9-дигидро-1H-пурин-2,6,8(3H)-трион) и лактимной (2,6,8-тригидроксипурин) с преобладанием лактамной:

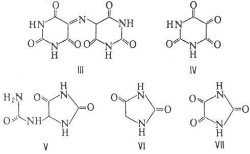
М. к.-двухосновная к-та (р К а 5,75 и 10,3), образует кислые и средние соли (ураты). Под действием едких щелочей и конц. к-т разлагается на НСl, NH3, CO2 и глицин. Легко алкилируется сначала по N-9, затем по N-3 и N-1. В гидроксиформе вступает в р-ции нуклеоф. замещения; напр., с РОСl3 образует 2,6,8-трихлорпурин. Состав продуктов окисления М. к. зависит от условий р-ции; под действием HNO3 образуются аллоксантин (III) и аллоксан (IV), при окислении нейтральным или щелочным р-ром КМnО 4, а также р-рами РbО 2 и Н 2 О 2- сначала аллантоин (V), затем гидантоин (VI) и парабановая к-та (VII). Аллоксантин с NH, дает мурексид, к-рый используют для идентификации М. к.

М. к.-продукт азотистого обмена в организме животных и человека. Содержится в тканях (мозг, печень, кровь) и поте млекопитающих. Нормальное содержание в 100 мл крови человека 2-6 мг. Мононатриевая соль-составная часть камней мочевого пузыря. Высохшие экскременты птиц (гуано) содержат до 25% М. к. и служат источником ее получения. Методы синтеза: 1) конденсация урамила (аминобарбиту-ровой к-ты) с изоцианатами, изотиоцианатами или ци-анатом К через образование псевдомочевой к-ты (VIII), напр.:

2) конденсация мочевины с цианоуксусным эфиром с послед. изомеризацией образующейся цианоацетилмочевины в ура-мил, из к-рого по первому способу получают М. к.

М. к.-исходное в-во для получения аллантоина, аллокса-на, парабановой к-ты, кофеина; компонент косметич. кремов; ингибитор коррозии; агент, способствующий равномерному прокрашиванию волокон и тканей.








Date: 2015-07-27; view: 1321; Нарушение авторских прав



mydocx.ru - 2015-2026 year. (0.937 sec.) Все материалы представленные на сайте исключительно с целью ознакомления читателями и не преследуют коммерческих целей или нарушение авторских прав - Пожаловаться на публикацию