Главная Случайная страница


Полезное:

Как сделать разговор полезным и приятным Как сделать объемную звезду своими руками Как сделать то, что делать не хочется? Как сделать погремушку Как сделать так чтобы женщины сами знакомились с вами Как сделать идею коммерческой Как сделать хорошую растяжку ног? Как сделать наш разум здоровым? Как сделать, чтобы люди обманывали меньше Вопрос 4. Как сделать так, чтобы вас уважали и ценили? Как сделать лучше себе и другим людям Как сделать свидание интересным?


Категории:

АрхитектураАстрономияБиологияГеографияГеологияИнформатикаИскусствоИсторияКулинарияКультураМаркетингМатематикаМедицинаМенеджментОхрана трудаПравоПроизводствоПсихологияРелигияСоциологияСпортТехникаФизикаФилософияХимияЭкологияЭкономикаЭлектроника






Анализ возможности образования горючей среды при аварийном режиме работы





Взрывоопасная концентрация паров жидкости при аварийной ситуации может определяться расчетным путем [6,11].

1) Масса жидкости, испарившейся с поверхности разлива:

,

где т – масса жидкости, испарившейся с поверхности разлива, кг;

W – интенсивность испарения жидкости, кг/с∙м2;

Fи – площадь испарения, м2;

Т – время испарения, с.

F u = = ,

Т =3600с

m= 290,4*10-6*90*3600=94,09 кг

2) Интенсивность испарения рассчитывается по формуле:

,

где η – коэффициент, учитывающий влияние скорости и температуры воздушного потока на процесс испарения жидкости (принимается по таблице А.2 [7]).

кг/с∙м2

IgPн =7,3527-1660,454/(245,818+30)=1,33

Рн= 101,33= 21,38кПа

 

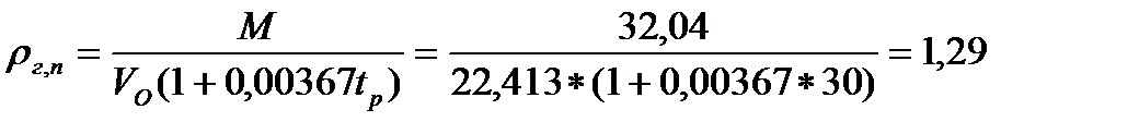
3) Плотность паров жидкости рассчитывается по формуле:

,

кг/м3

где ρ – плотность газа или пара при расчетной температуре tр, кг/м3;

V0 – мольный объем, равный 22,413 м/кмоль.

4) Средняя рабочая концентрация паров жидкости в помещении:

,

где Ср – концентрация паров жидкости в помещении при аварийной ситуации, % (об.);

Vсв – свободный объем помещения, м3.

5) Если Ср ≤0,5 СНПРП, то объем зоны взрывоопасных концентраций при аварийной ситуации будет занимать локальный объем помещения.

 

Результаты анализа необходимо свести в таблицу 4.

 

Таблица 6

 

Свойства горючей среды при аварии

 

№ п/п Наименование аварии, аппарат Обращающиеся вещества Пожароопасные свойства веществ Температура (концентрация) вещества при аварии Условие образования ВОС в помещении   Вывод о наличии ВОС  
НКПР ВКПР
               
  Аварийые работы Метанол       30≥6 Да
  Ремонтные работы Метанол       30≥6 Да

 

1/3600*3*18=0.015м/с-скорость воздушного потока.

=100*94,09/1,29*2592=2,81%

Vсв=

0,5 СНПРП = 0.5*5=2,5%

Ср ≤0,5 СНПРП => неравенство не выполняется, следовательно, объем зоны взрывоопасных концентраций будет занимать все помещение.

 

 

Таблица 7

Допустимые отклонения концентрации dпри заданном уровне значимости

 

Характер распределения концентраций d
Для горючих газов при отсутствии подвижности воздушной среды 0,100000 1,29
0,050000 1,38
0,010000 1,53
0,003000 1,63
0,001000 1,70
0,000001 2,04
Для горючих газов при подвижности воздушной среды 0,100000 1,29
0,050000 1,37
0,010000 1,52
0,003000 1,62
0,001000 1,70
0,000001 2,03
Для паров легковоспламеняющихся жидкостей при отсутствии подвижности воздушной среды 0,100000 1,19
0,050000 1,25
0,010000 1,35
0,003000 1,41
0,001000 1,46
0,000001 1,68
Для паров легковоспламеняющихся жидкостей при подвижности воздушной среды 0,100000 1,21
0,050000 1,27
0,010000 1,38
0,003000 1,45
0,001000 1,51
0,000001 1,75

 

Уровень значимости выбирают, исходя из особенностей технологического процесса. Допускается принимать равным 0,05.

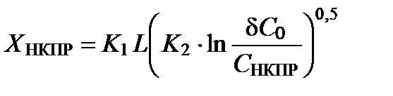
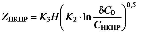
Расстояния Х НКПР, Y НКПР и Z НКПР рассчитывают по формулам:

,

,

,

где К 1 - коэффициент, принимаемый равным 1,1314 для горючих газов и 1,1958 для легковоспламеняющихся жидкостей;

К 2 - коэффициент, равный 1 для горючих газов;

- для легковоспламеняющихся жидкостей;

K 3 - коэффициент, принимаемый равным 0,0253 для горючих газов при отсутствии подвижности воздушной среды; 0,02828 для горючих газов при подвижности воздушной среды; 0,04714 для легковоспламеняющихся жидкостей при отсутствии подвижности воздушной среды и 0,3536 для легковоспламеняющихся жидкостей при подвижности воздушной среды;

h - высота помещения, м;

d - допустимые отклонения концентраций при задаваемом уровне значимости , приведенные в табл. 7;

l, b - длина и ширина помещения, соответственно, м;

При отрицательных значениях логарифмов расстояния Х НКПР, Y НКПР и Z НКПР принимаются равными 0.

3) Рассчитаем расстояния при подвижности воздушной среды:

 

 

б) Рассчитаем расстояния при неподвижности воздушной среды:

 







Date: 2015-07-27; view: 883; Нарушение авторских прав



mydocx.ru - 2015-2026 year. (0.645 sec.) Все материалы представленные на сайте исключительно с целью ознакомления читателями и не преследуют коммерческих целей или нарушение авторских прав - Пожаловаться на публикацию