Главная Случайная страница


Полезное:

Как сделать разговор полезным и приятным Как сделать объемную звезду своими руками Как сделать то, что делать не хочется? Как сделать погремушку Как сделать так чтобы женщины сами знакомились с вами Как сделать идею коммерческой Как сделать хорошую растяжку ног? Как сделать наш разум здоровым? Как сделать, чтобы люди обманывали меньше Вопрос 4. Как сделать так, чтобы вас уважали и ценили? Как сделать лучше себе и другим людям Как сделать свидание интересным?


Категории:

АрхитектураАстрономияБиологияГеографияГеологияИнформатикаИскусствоИсторияКулинарияКультураМаркетингМатематикаМедицинаМенеджментОхрана трудаПравоПроизводствоПсихологияРелигияСоциологияСпортТехникаФизикаФилософияХимияЭкологияЭкономикаЭлектроника






Изучение технологического процесса





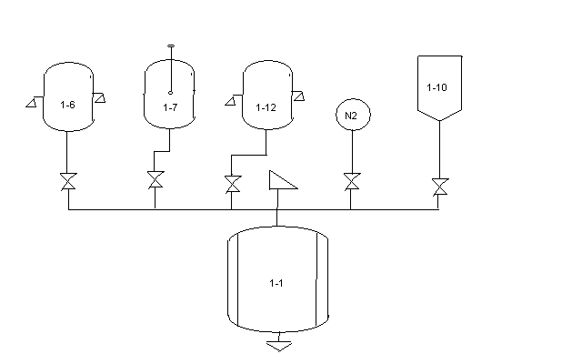
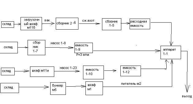
Диметилфосфит поступает в цех со склада сырья в нержавеющих бочках.

Если качественные показатели диметилфосфита не соответствуют требованиям ТУ, то он направляется на дистилляцию. Если концентрация диметилфосфита выше 94%, то бочки с диметилфосфитом устанавливаются в загрузочный шкаф поз.М 11 б и диметилфосфит с помощью вакуума загружаются в сборник 2-6, из которого с помощью сжатого азота (давлением не более 3 атм.) передавливается в сборник 1-5. Из сборника 1-5 диметилфосфит загружается в расходную емкость 1-6, из которой расходуется в производство.

Метанол – яд поступает со склада сырья по трубопроводу в сборник 1-7, из которого насосом 1-8 через счетчик расходуется в производство (при прохождении через счетчик заданного количества метанола-яда, насос автоматически отключается).

Для промывки расходной емкости метилата натрия 1-12 (после его загрузки в аппарат), метанол-яд с помощью насоса 1-8 закачивается в емкость 1-9, находящуюся под давлением азота не более 3 атмосфер.

Метилат натрия поступает в цех со склада сырья в нержавеющих бочках. Бочки устанавливаются в загрузочном шкафу М11 и с помощью переносного насоса 1-23 метилат натрия закачивается в сборник 1-10.

Акриламид поступает в цех со склада сырья в полиэтиленовых мешках или в барабанах. Растаривание мешков и загрузка акриламида в бункер производится в загрузочном шкафу М1, для создания взрывобезопасной среды бункер М5, перед загрузкой акриламида в реакционный аппарат, продувается азотом до содержания кислорода не более 4%. Содержание кислорода анализируется с помощью переходного газового анализатора типа «Охусоп-25 Д».

Процесс конденсации диметилфосфита с акриламидом производится в аппарате из нержавеющей стали 1-1, объем 1000 л, снабженном двухскоростной мешалкой с числом оборотов 56 и 28 об/мин, системой для обогрева и охлаждения, прибором для измерения и записи температуры, донным спусковым клапаном с пневматическим приводом, холодильником 1-2 и системой охлаждения торцевого уплотнения.

Перед началом работы реакционный аппарат продувается азотом. Для этого в аппарат подается азот до создания в аппарате избыточного давления 0,1 атм. После создания требуемого давления азота автоматически прекращается. Перед началом загрузок избыточное давление сбрасывается в атмосферу.

В чистый, сухой, продутый азотом аппарат 1-1 из расходной емкости 1-6 загружается расчетное количество диметилфосфита. Количество загружаемого диметилфосфита пересчитывается в соответствии с его концентрацией. Количество диметилфосфита, необходимое на загрузку, задается со щита управления в операторной цеха. По окончании загрузки диметилфосфита в аппарат 1-1 из сборника 1-7 с помощью насоса 1-8 через счетчик загружается 145 л метанол-яда. После прохождения через счетчик заданного количества метанол-яда насос автоматически отключается. Масса перемешивается в течение 20 минут и затем отбирается проба на анализ для определения кислотности смеси, которая не должна превышать 0,135 эквН/кг (если содержание кислых примесей в диметилфосфите больше 5%, то кислотность не должна превышать 0,36 эквН/кг). Реакционная масса в аппарате охлаждается до температуры 15ºС. Затем аппарат 1-1 продувается азотом, включается в работу холодильник (как обратный) и в аппарат 1-1 из бункера М5 с помощью шлюзового питателя М2 загружается 290 кг акриламина. Во время загрузки акриламина производится продувка питателя М2 и точки М3 азотом.

У бункера акриламида М5 предусмотрена система для улавливания пыли акриламида водой (из расчета 74,5 л воды на 1т готового продукта). Система состоит из скруббера, насоса и вентилятора. После передавливания 3-4 операций получения пироватекса ЦП вода из системы улавливания пыли акриламида направляется в канализацию промотоков. Бункер М5 оборудован флуидирующими бобышками для подачи азота и пневмолотком для встряхивания залежавшегося акриламида. После окончания загрузки в аппарат 1-1, реакционная масса нагревается до температуры 60-62ºС и перемешивается при этой температуре в течении 30 минут. Затем в аппарат 1-1 из расходной емкости загружается 72 кг 30%-ного метилата натрия. Загрузка метилата натрия программируется и осуществляется со щита управления в операторной.

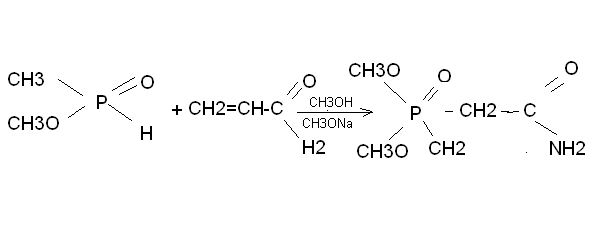
Процесс конденсации диметилфосфита с акриламидом протекает по реакции:

Реакция конденсации диметилфосфита с акриламидом экзотермическая и температура в аппарате 1-1 самопроизвольно поднимается до 92-93ºС, но не должна превышать 98 ºС. Если температура продолжает расти, то при 95 ºС автоматически прекращается загрузка метилата натрия. После загрузки метилата натрия температура реакционной массы в аппарате 1-1 самопроизвольно снижается до 83-85ºС. После чего отбирается проба определения рН, который должен быть 9,0 и содержание свободного диметилфосфита. Расход 1н раствора а ОН при анализе не должен превышать 0,3 мл. в случае, если рН меньше 9,0 производится дозагрузка метилата натрия из расчета 0,5 кг на каждое 0,1 значение рН нормы.

При продолжительном результате анализа расходная емкость 1-12 промывается 10 л метанол-яда из емкости метанол-яда 1-9. Промывной раствор из расходной емкости 1-12 сливается также в аппарат 1-1. В это же время реакционная масса охлаждается до температуры 50ºС и процесс конденсации диметилфосфита с акриламином считается законченным.

Выход с операции-942 кг. [13]

Рис. 1 Принципиальная схема технологического производства

Рис. 2 Аппаратурная схема технологического процесса







Date: 2015-07-27; view: 764; Нарушение авторских прав



mydocx.ru - 2015-2026 year. (0.438 sec.) Все материалы представленные на сайте исключительно с целью ознакомления читателями и не преследуют коммерческих целей или нарушение авторских прав - Пожаловаться на публикацию