Главная Случайная страница


Полезное:

Как сделать разговор полезным и приятным Как сделать объемную звезду своими руками Как сделать то, что делать не хочется? Как сделать погремушку Как сделать так чтобы женщины сами знакомились с вами Как сделать идею коммерческой Как сделать хорошую растяжку ног? Как сделать наш разум здоровым? Как сделать, чтобы люди обманывали меньше Вопрос 4. Как сделать так, чтобы вас уважали и ценили? Как сделать лучше себе и другим людям Как сделать свидание интересным?


Категории:

АрхитектураАстрономияБиологияГеографияГеологияИнформатикаИскусствоИсторияКулинарияКультураМаркетингМатематикаМедицинаМенеджментОхрана трудаПравоПроизводствоПсихологияРелигияСоциологияСпортТехникаФизикаФилософияХимияЭкологияЭкономикаЭлектроника






Распространение света в среде

1. После прохождения белого света через красное стекло свет становится красным. Это происходит из-за того, что световые волны других цветов в основном

 

1) отражаются 3) поглощаются

2) рассеиваются 4) преломляются

 

2. При попадании солнечного света на капли дождя образуется радуга. Это объясняется тем, что белый свет состоит из электромагнитных волн с разной длиной волны, которые каплями воды по-разному

 

1) поглощаются 3) поляризуются

2) отражаются 4) преломляются

 

3. Изменяется ли частота и длина волны света при его переходе из воды в вакуум?

 

1) длина волны уменьшается, частота увеличивается

2) длина волны увеличивается, частота уменьшается

3) длина волны уменьшается, частота не изменяется

4) длина волны увеличивается, частота не изменятся

 

4. Сложение в пространстве когерентных волн, при котором образуется постоянное во времени пространственное распределение амплитуд результирующих колебаний, называется

 

1) интерференцией 3) дисперсией

2) поляризацией 4) преломление

 

5. Для видимого света угол преломления световых лучей на некоторой границе раздела двух сред увеличивается с увеличением частоты излучения. Ход лучей для трех цветов при падении белого света из воздуха на границу раздела показан на рисунке. Цифрам соответствуют цвета

 

1) 1 — синий, 2 — зелёный, 3 — красный

2) 1 — синий, 2 — красный, 3 — зелёный

3) 1 — красный, 2 — зелёный, 3 — синий

4) 1 — красный, 2 — синий, 3 — зелёный

 

6. Для определенных длин волн угол преломления световых лучей на границе воздух-стекло увеличивается с увеличением длины волны излучения. Ход лучей для трех цветов при падении белого света из воздуха на границу раздела показан на рисунке. Цифрам соответствуют цвета

 

1) 1 — синий, 2 — зелёный, 3 — красный

2) 1 — синий, 2 — красный, 3 — зелёный

3) 1 — красный, 2 — зелёный, 3 — синий

4) 1 — красный, 2 — синий, 3 — зелёный

 

7. Для видимого света угол преломления световых лучей на некоторой границе раздела двух сред увеличивается с увеличением частоты излучения. Ход лучей для трех цветов при падении белого света из воздуха на границу раздела показан на рисунке. Цифрам соответствуют цвета

 

1) 1 — красный, 2 — фиолетовый, 3 — желтый

2) 1 — красный, 2 — желтый, 3 — фиолетовый

3) 1 — фиолетовый, 2 — желтый, 3 — красный

4) 1 — желтый, 2 — красный, 3 — фиолетовый

 

8. Для видимого света угол преломления световых лучей на некоторой границе раздела двух сред уменьшается с увеличением длины волны излучения. Ход лучей для трех цветов при падении белого света из воздуха на границу раздела показан на рисунке. Цифрам соответствуют цвета

 

1) 1 — красный, 2 — фиолетовый, 3 — желтый

2) 1 — красный, 2 — желтый, 3 — фиолетовый

3) 1 — фиолетовый, 2 — желтый, 3 — красный

4) 1 — желтый, 2 — красный, 3 — фиолетовый

 

9. Для определенных длин волн угол преломления световых лучей на границе воздух-стекло увеличивается с увеличением длины волны излучения. Ход лучей для трех цветов при падении белого света из воздуха на границу раздела показан на рисунке. Цифрам соответствуют цвета

 

1) 1 — красный, 2 — фиолетовый, 3 — желтый

2) 1 — красный, 2 — желтый, 3 — фиолетовый

3) 1 — фиолетовый, 2 — желтый, 3 — красный

4) 1 — желтый, 2 — красный, 3 — фиолетовый

 

10. Для видимого света угол преломления световых лучей на некоторой границе раздела двух сред увеличивается с увеличением частоты излучения. Ход лучей для трех цветов при падении белого света из воздуха на границу раздела показан на рисунке. Цифрам соответствуют цвета

 

1) 1 — синий, 2 — зелёный, 3 — красный

2) 1 — синий, 2 — красный, 3 — зелёный

3) 1 — красный, 2 — зелёный, 3 — синий

4) 1 — красный, 2 — синий, 3 — зелёный

 

11. Для определенных длин волн угол преломления световых лучей на границе воздух-стекло увеличивается с увеличением длины волны излучения. Ход лучей для трех цветов при падении белого света из воздуха на границу раздела показан на рисунке. Цифрам соответствуют цвета

 

1) 1 — синий, 2 — зелёный, 3 — красный

2) 1 — синий, 2 — красный, 3 — зелёный

3) 1 — красный, 2 — зелёный, 3 — синий

4) 1 — красный, 2 — синий, 3 — зелёный

 

12. Для определенных частот угол преломления световых лучей на границе воздух-стекло уменьшается с увеличением частоты излучения. Ход лучей для трех цветов при падении белого света из воздуха на границу раздела показан на рисунке. Цифрам соответствуют цвета


1) 1 — красный, 2 — фиолетовый, 3 — желтый

2) 1 — красный, 2 — желтый, 3 — фиолетовый

3) 1 — фиолетовый, 2 — желтый, 3 — красный

4) 1 — желтый, 2 — красный, 3 — фиолетовый

 

13. Изменяются ли частота и длина волны света при его переходе из вакуума в воду? Выберите верное утверждение

 

1) длина волны уменьшается, частота увеличивается

2) длина волны увеличивается, частота уменьшается

3) длина волны уменьшается, частота не изменяется

4) длина волны увеличивается, частота не изменяется

 

14. Как изменяются частота и длина волны света при переходе из вакуума в среду с абсолютным показателем преломления n? Выберите верное утверждение

 

1) длина волны уменьшается в n раз, частота увеличивается в n раз

2) длина волны увеличивается в n раз, частота уменьшается в n раз

3) длина волны уменьшается в n раз, частота не изменяется

4) длина волны увеличивается в n раз, частота не изменяется

 

15. Как изменяются частота и длина волны света при переходе из воды с показателем преломления 1,33 в вакуум? Выберите верное утверждение

 

1) длина волны уменьшается в 1,33 раза, частота увеличивается в 1,33 раза

2) длина волны увеличивается в 1,33 раза, частота уменьшается в 1,33 раза

3) длина волны уменьшается в 1,33 раза, частота не изменяется

4) длина волны увеличивается в 1,33 раза, частота не изменяется

 

16. Изменяются ли частота и длина волны света при его переходе из воды в вакуум?

 

1) длина волны уменьшается, частота увеличивается

2) длина волны увеличивается, частота уменьшается

3) длина волны уменьшается, частота не изменяется

4) длина волны увеличивается, частота не изменяется

 

17. Скорость света в вакууме в инерциальной системе отсчета:

 

1) Зависит только от скорости источника света.

2) Не зависит ни от скорости приёмника света, ни от скорости источника света.

3) Зависит только от скорости приёмника света.

4) Зависит и от скорости приёмника света, и от скорости источника света.

 

18. Синус предельного угла полного внутреннего отражения на границе стекло-воздух равен. Абсолютный показатель преломления стекла приблизительно равен

 

1) 1,63 3) 1,25

2) 1,5 4) 0,62

 

19. Свет в прозрачной среде с абсолютным показателем преломления n имеет длину волны λ. Какова длина волны λ1 этого света в вакууме?

 

1) λ1 = λ

2) λ1 = nλ

3) λ1 =

4) λ1 = n2λ

 

20. Какое(-ие) из утверждений правильно(-ы)?

Второй закон Ньютона применим

А. в инерциальных системах отсчета.

Б. при движении со скоростями, много меньшими скорости света в вакууме.

В. при движении со скоростями, близкими к скорости света в вакууме.

 

1) только А 3) только В

2) только Б 4) А и Б

 

21. Чему равен синус предельного угла полного внутреннего отражения при переходе света из вещества с n = 1,5 в вещество с n = 1,2

 

1) 0,8 3) 0,33

2) 1,25 4) полное отражение не возникает

 

22. Чему равен синус предельного угла полного внутреннего отражения при переходе


света из вещества с n = 1,2 в вещество с n = 1,5

1) 0,8 3) 0,4

2) 1,25 4) полное отражение не возникает

 

23. Чему равен синус угла полного внутреннего отражения при переходе света из вещества, где скорость света равна 0,7с, в вещество, где скорость света равна 0,5с? (с — скорость света в вакууме)

 

1) 1,4 3) 0,5

2) 0,714 4) полное отражение не возникает

 

24. Чему равен синус угла полного внутреннего отражения при переходе света из вещества, где скорость света равна 0,5с, в вещество, где скорость света равна 0,8с? (с — скорость света в вакууме)

 

1) 1,6 3) 0,5

2) 0,625 4) полное отражение не возникает

 

25. Свет идет из вещества, где скорость света 2,5·108 м/с, в вещество, где скорость света 2,7·108 м/с. Чему равен синус полного внутреннего отражения? Ответ выразите с точностью до тысячных.

 

1) 0,926 3) 0,524

2) 0,725 4) полное внутреннее отражение не возникает

 

26. Полное внутренне отражение происходит, когда свет идет из среды с показателем преломления n1 в среду с показателем n2 и падает на границу раздела под углом α, если...

 

1) n1 > n2, sin α<

2) n1 > n2 , sin α >

3) n2 > n1, sin α<

4) n2 > n1, sin α>

27. Свет идет из вещества с показателем преломления n в вакуум. Предельный угол полного внутреннего отражения равен 300. Чему равен n?

 

1) 1,2 3) 2

2) 1,8 4) 2,5

 

28. Свет идет из вещества с показателем преломления n в вакуум. Предельный угол полного внутреннего отражения равен 600. Чему равен n? Ответ дайте с точностью до сотых.

 

1) 1,15 3) 1,25

2) 1,21 4) 1,31

 

29. На границу раздела воздух — прозрачное вещество падает луч света (из вещества) под углом падения α (cos α = 0,8). При каких примерно значениях показателя преломления вещества будет наблюдаться полное внутреннее отражение?

 

1) меньше 1,67 3) меньше 1,25

2) больше 1,67 4) больше 1,25

 

30. На поверхность тонкой прозрачной плёнки нормально падает пучок белого света. В отражённом свете плёнка окрашена в зелёный цвет. При использовании плёнки такой же толщины, но с чуть бόльшим показателем преломления её окраска будет (дисперсией пренебречь)

 

1) полностью зелёной

2) ближе к красной области спектра

3) ближе к синей области спектра

4) полностью чёрной

 

31. Монохроматический луч света падает по нормали на находящуюся в вакууме стеклянную призму с показателем преломления n = 1,51. С какой скоростью распространяется свет по выходе из призмы? Скорость света от неподвижного источника в вакууме равна c.

 

1) c 3)

2) nc 4) c(n – 1)

 

32. Пучок света падает на собирающую линзу параллельно её главной оптической оси на расстоянии h от этой оси. Линза находится в вакууме, её фокусное расстояние равно F. С какой скоростью распространяется свет за линзой? Скорость света от неподвижного источника в вакууме равна с.


 

1) c 3)

2) c 4)

 

33. На зеркало, движущееся в вакууме относительно инерциальной системы отсчёта (ИСО) со скоростью V, направленной вниз (см. рисунок), падает луч синего света. Какова скорость света в этой ИСО после отражения от зеркала, если угол падения равен 60°? Скорость света от неподвижного источника в вакууме равна с.

1) c

2) c + 2V

3)

4) c – 2V

 

34. Для описания любых физических процессов

А. Все системы отсчета являются равноправными.

Б. Все инерциальные системы отсчета являются равноправными.

Какое из этих утверждений справедливо согласно специальной теории относительности?

 

1) только А 3) А и Б

2) только Б 4) ни А, ни Б

 

35. Какие из следующих утверждений являются постулатами специальной теории относительности?

А. Все инерциальные системы отсчета равноправны при описании любого физического процесса.

Б. Скорость света в вакууме не зависит от скорости источника и приемника света.

В. Энергия покоя любого тела равна произведению его массы на квадрат скорости света в вакууме.

 

1) А и Б 3) Б и В

2) А и В 4) А, Б и В

 

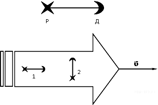
36. В установке искровой разряд создает вспышку света и звуковой импульс, регистрируемые датчиком, расположенным на расстоянии 1 м от разрядника. Схематически взаимное расположение разрядника Р и датчика Д изображено стрелкой. Время распространения света от разрядника к датчику равно Т, а звука — τ.

Проводя эксперименты с двумя установками 1 и 2, расположенными в космическом корабле, летящем со скоростью V = относительно Земли, как показано на рисунке, космонавты обнаружили, что

 

1) T1 = T2, τ1 < τ2

2) T1 = T2, τ1 = τ2

3) T1 > T2, τ1 < τ2

4) T1 < T21 > τ2

 

37. Один ученый проверяет закономерности колебания пружинного маятника в лаборатории на Земле, а другой — в лаборатории на космическом корабле, летящем вдали от звезд и планет с выключенным двигателем. Если маятники одинаковые, то в обеих лабораториях эти закономерности будут

 

1) одинаковыми при любой скорости корабля

2) разными, так как на корабле время течет медленнее

3) одинаковыми, если скорость корабля мала

4) одинаковыми или разными в зависимости от модуля и направления скорости корабля

 

38. Луч лазера в неподвижной ракете попадает в приемник, расположенный в точке 0 (см. рисунок). В какой из приемников может попасть этот луч в ракете, движущейся вправо с постоянной скоростью?

 

1) 1, независимо от скорости ракеты

2) 0, независимо от скорости ракеты

3) 2, независимо от скорости ракеты

4) 0 или 1, в зависимости от скорости ракеты

 

39. Свет от неподвижного источника падает перпендикулярно поверхности зеркала, которое удаляется от источника света со скоростью V. Какова скорость отраженного света в инерциальной системе отсчета, связанной с зеркалом?

 

1) c – 2V 3) c

2) c + V 4) c - V

 

40. В инерциальной системе отсчета свет от неподвижного источника распространяется со скоростью с. Пусть источник света движется в некоторой инерциальной системе со скоростью V, а зеркало — со скоростью u в противоположную сторону.

С какой скоростью распространяется в этой системе отсчета свет, отраженный от зеркала?

 

1) c – V 3) c + V

2) c + V + u 4)c

 

41. Какие из приведенных ниже утверждений являются постулатами специальной теории относительности?

А. Принцип относительности — равноправность всех инерциальных систем отсчета.

Б. Инвариантность скорости света в вакууме — неизменность ее величины при переходе из одной инерциальной системы отсчета в другую.

 

1) только А 3) и А, и Б

2) только Б 4) ни А, ни Б

 

42. Два автомобиля движутся в одном и том же направлении со скоростями V1 и V2 относительно поверхности Земли. Скорость света c от фар первого автомобиля в системе отсчета, связанной с другим автомобилем, равна

 

1) c - (V1 + V2) 3) c + (V1 - V2)

2) c + (V1 + V2) 4) c

 

43. На зеркало, движущееся в вакууме относительно инерциальной системы отсчёта (ИСО) со скоростью, направленной вправо (см. рисунок), падает луч синего света. Какова скорость света в этой ИСО после отражения от зеркала, если угол падения равен 60°? Скорость света от неподвижного источника в вакууме равна с.

1) 1) c

2) c + 2V

3)

4) c – 2V

 

44. При освещении дифракционной решетки монохроматическим светом на экране, установленном за ней, возникает дифракционная картина, состоящая из темных и светлых вертикальных полос. В первом опыте расстояние между светлыми полосами оказалось больше, чем во втором, а во втором больше, чем в третьем. В каком из ответов правильно указана последовательность цветов монохроматического света, которым освещалась решетка?

1) 1 — красный, 2 — зеленый, 3 — синий

2) 1 — красный, 2 — синий, 3 — зеленый

3) 1 — зеленый, 2 — синий, 3 — красный

4) 1 — синий, 2 — зеленый, 3 — красный

 

45. Технология «просветления» объективов оптических систем основана на использовании явления

 

1) дифракция 3) дисперсия

2) интерференция 4) поляризация

 

46. Луч от лазера направляется перпендикулярно плоскости дифракционной решетки (см. рисунок) в первом случае с периодом d, а во втором — с периодом 2d. Длина волны света такая, что первые дифракционные максимуму отклоняются на малые углы. Расстояние между нулевым и первым дифракционным максимумами на удаленном экране

 

1) в обоих случаях одинаково

2) во втором случае приблизительно в 2 раза меньше

3) во втором случае приблизительно в 2 раза больше

4) во втором случае приблизительно в 4 раза больше

 

47. Лучи от двух лазеров, свет которых соответствует длинам волн и, поочередно направляются перпендикулярно плоскости дифракционной решетки (см. рисунок). Период дифракционной решетки такой, что первые дифракционные максимуму отклоняются на малые углы. Расстояние между первыми дифракционными максимумами на удаленном экране

 

1) в обоих случаях одинаково

2) во втором случае приблизительно в 1,5 раза больше

3) во втором случае приблизительно в 1,5 раза меньше

4) во втором случае приблизительно в 3 раза больше

 

48. На плоскую непрозрачную пластину с двумя узкими параллельными щелями падает по нормали плоская монохроматическая волна из зеленой части видимого спектра. За пластиной на параллельном ей экране наблюдается интерференционная картина, содержащая большое число полос. При переходе на монохроматический свет из фиолетовой части видимого спектра

 

1) расстояние между интерференционными полосами увеличится

2) расстояние между интерференционными полосами уменьшится

3) расстояние между интерференционными полосами не изменится

4) интерференционная картина станет невидимой для глаза

 

 
 

49. Два точечных источника света и находятся близко друг от друга и создают на удаленном экране устойчивую интерференционную картину (см. рисунок).

Это возможно, если и S1 и S2 — малые отверстия в непрозрачном экране, освещенные

 

1) каждое своим солнечным зайчиком от разных зеркал

2) одно — лампочкой накаливания, а второе — горящей свечой

3) одно синим светом, а другое красным светом

4) светом от одного и того же точечного источника монохроматического света

 

50. Два источника испускают электромагнитные волны частотой 5·1014 Гц c одинаковыми начальными фазами. Максимум интерференции будет наблюдаться в точке пространства, для которой разность хода волн от источников равна

 

1) 0,9 мкм 3) 0,3 мкм

2) 1,0 мкм 4) 1,2 мкм

 

 
 

51. В классическом опыте Юнга по дифракции пучок света прошедший через узкое отверстие А, освещает отверстия В и С, за которыми на экране возникает интерференционная картина (см. рисунок).

Если увеличить L вдвое, то

 

1) интерференционная картина останется на месте, сохранив свой вид

2) расстояние между интерференционными полосами увеличится

3) расстояние между интерференционными полосами уменьшится

4) интерференционная картина сместится по экрану, сохранив свой вид

 

52. Одна сторона толстой стеклянной пластины имеет ступенчатую поверхность, как показано на рисунке. На пластину перпендикулярно ее поверхности падает световой пучок. Который после отражения от пластины собирается линзой. Длина падающей световой волны. При каком из указанных значений высоты ступеньки d интенсивность света в фокусе линзы будет минимальной?

 

1) λ 3)

2) 4)

 

53. Свет от двух точечных когерентных монохроматических источников приходит в точку 1 экрана с разностью фаз Δ = λ, в точку 2 экрана с разностью фаз Δ = . Одинакова ли в этих точках освещенность и если не одинакова, то в какой точке больше? Расстояние от источников света до экрана значительно больше длины волны.

 

1) одинакова и отлична от нуля

2) одинакова и равна нулю

3) не одинакова, больше в точке 1

4) не одинакова, больше в точке 2

 

54. Свет от двух точечных когерентных монохроматических источников приходит в точку 1 экрана с разностью фаз Δ = λ, в точку 2 экрана с разностью фаз Δ = λ. Одинакова ли в этих точках освещенность и если не одинакова, то в какой точке она больше?

 

1) одинакова и отлична от нуля

2) одинакова и равна нулю

3) не одинакова, больше в точке 1

4) не одинакова, больше в точке 2

 

55. Какое явление служит доказательством поперечности световых волн?

 

1) интерференция света

2) дифракция света

3) поляризация света

4) дисперсия света

 

56. Дифракционная решетка освещается монохроматическим светом. На экране, установленном за решеткой параллельно ей, возникает дифракционная картина, состоящая из темных и светлых вертикальных полос. В первом опыте решетка освещается желтым светом, во втором — зеленым, а в третьем — фиолетовым. Меняя решетки, добиваются того, что расстояние между полосами во всех опытах остается одинаковым. Значения постоянной решетки d1, d2, d3 в первом, во втором и в третьем опытах соответственно удовлетворяют условиям

 

1) d1 = d2 = d3

2) d1 > d2 > d3

3) d2 > d1 > d3

4) d1 < d2 < d3

 

57. На дифракционную решетку с периодом 0,004 мм падает по нормали плоская монохроматическая волна. Количество дифракционных максимумов, наблюдаемых с помощью этой решетки, равно 17. Какова длина волны света?

 

1) 500 нм 3) 440 нм

2) 680 нм 4) 790 нм

 

58. Явление дифракции света происходит

 

1) только на малых круглых отверстиях

2) только на больших отверстиях

3) только на узких щелях

4) на краях любых отверстий и экранов

 

59. При освещении мыльной пленки белым светом наблюдаются разноцветные полосы. Какое физическое явление обусловливает появление этих полос?

 

1) дифракция 3) дисперсия

2) интерференция 4) поляризация

 

60. Дифракционная решетка освещается монохроматическим зеленым светом. При освещении решетки монохроматическим красным светом картина дифракционного спектра

 

1) сузится 3) исчезнет

2) расширится 4) не изменится

 

61. В распоряжении экспериментатора имеются две дифракционные решетки — с периодом 1 мкм и с периодом 0,3 мкм. При помощи какой из этих решеток можно наблюдать дифракцию при нормальном падении света с длиной волны 400 нм?

 

1) только с помощью первой

2) только с помощью второй

3) с помощью первой и второй

4) с обеими решетками наблюдать дифракцию невозможно

 

62. В распоряжении экспериментатора имеются две дифракционные решетки — с периодом 0,4 мкм и с периодом 1,5 мкм. При помощи какой из этих решеток можно наблюдать дифракцию при нормальном падении света с длиной волны 500 нм?

 

1) только с помощью первой

2) только с помощью второй

3) с помощью первой и второй

4) с обеими решетками наблюдать дифракцию невозможно

 

63. На дифракционную решетку нормально падает плоская монохроматическая световая волна. На экране за решеткой третий дифракционный максимум наблюдается под углом к направлению падения волны. На каком из приведенных графиков правильно показана зависимость от длины волны падающего света?

 

1) 1 3) 3

2) 2 4) 4

 

64. На каком рисунке правильно показано взаимное расположение дифракционной решётки Р, линзы Л и экрана Э, при котором можно наблюдать дифракцию параллельного пучка света С?

 

1) 1

2) 2

3) 3

4) 4

 

 

65. Оптическая схема представляет собой дифракционную решётку и недалеко расположенный параллельно ей экран. На решётку нормально падает параллельный пучок видимого глазом белого света.

Выберите верное утверждение, если таковое имеется.

А. Данная оптическая схема позволяет наблюдать на экране набор радужных дифракционных полос.

Б. Для того чтобы получить на экране изображение дифракционных максимумов, необходимо установить на пути светового пучка собирающую линзу, в фокальной плоскости которой должна находиться дифракционная решётка.

 

1) только А 3) и А, и Б

2) только Б 4) ни А, ни Б

 

66. Источник излучает свет с длиной волны 600 нм. Какова частота света, излучаемого вторым источником, если свет от этих источников позволяет наблюдать устойчивую интерференционную картину?

 

1) 5 1013 Гц 3) 2 1014 Гц

2) 5 1017 Гц 4) 5 1014 Гц

 

67. Источник излучает свет с частотой 6 1014 Гц. Какова длина волны света, излучаемого вторым источником, если свет от этих источников позволяет наблюдать устойчивую интерференционную картину?

 

1) 5 мкм 3) 180 нм

2) 5000 нм 4) 500 нм

 

68. На рисунке изображены четыре дифракционные решётки. Максимальный период имеет дифракционная решётка под номером

 

1) 1

2) 2

3) 3

4) 4

 

69. На рисунке изображены четыре дифракционные решётки. Минимальный период имеет дифракционная решётка под номером

 

1) 1

2) 2

3) 3

4) 4

 

 
 

70. На плоскопараллельную стеклянную пластинку и стеклянную призму падает луч белого света (см. рисунок). Дисперсия света в виде радужных полос на экране

 

1) будет наблюдаться только в случае А

2) будет наблюдаться только в случае Б

3) будет наблюдаться и в случае А, и в случае Б

4) не будет наблюдаться ни в случае А, ни в случае Б

 

71. На плоскопараллельную стеклянную пластинку и стеклянную призму падает луч белого света (см. рисунок). Дисперсия света в виде радужных полос на экране

 

1) будет наблюдаться только в случае А

2) будет наблюдаться только в случае Б

3) будет наблюдаться и в случае А, и в случае Б

4) не будет наблюдаться ни в случае А, ни в случае Б

 

72. Дисперсией света объясняется

А. фиолетовый цвет обложки книги.

Б. фиолетовый цвет белого листа из тетради, если его рассматривать через цветное стекло.

Верно(-ы) утверждение(-я):

 

1) только А 3) и А, и Б

2) только Б 4) ни А, ни Б

 

73. Дисперсия проявляется в следующих явлениях:

А. изменение видимого цвета белой ткани при разглядывании её через цветное стекло.

Б. образование радуги при прохождении света через мелкие капли воды.

Верно(-ы) утверждение(-я):

 

1) только А 3) и А, и Б

2) только Б 4) ни А, ни Б

 

74. Дисперсией света объясняется

А. возникновение окраски подвесок люстры из бесцветного хрусталя в зависимости от точки наблюдения.

Б. цвет подвесок люстры, изготовленных из окрашенного стекла.

Верно(-ы) утверждение(-я):

 

1) только А 3) и А, и Б

2) только Б 4) ни А, ни Б

 

75. Дифракцией света объясняется спектральное разложение

А. солнечного света призмой.

Б. белого света, прошедшего сначала малое отверстие, а затем — два близко расположенных отверстия.

Верно(-ы) утверждение(-я):

 

1) только А 3) и А, и Б

2) только Б 4) ни А, ни Б

 

76. В классическом опыте Юнга по дифракции пучок света, прошедший через узкое отверстие А, освещает отверстия В и С, за которыми на экране возникает интерференционная картина (см. рисунок).

Если уменьшить расстояние d вдвое, то

 

1) интерференционная картина сместится по экрану вправо, сохранив свой вид

2) интерференционная картина не изменится

3) расстояние между интерференционными полосами увеличится

4) расстояние между интерференционными полосами уменьшится

 

77. В классическом опыте Юнга по дифракции пучок света, прошедший через узкое отверстие А, освещает отверстия В и С, за которыми на экране возникает интерференционная картина (см. рисунок).

Если увеличить расстояние d вдвое, то

 

1) расстояние между интерференционными полосами увеличится

2) расстояние между интерференционными полосами уменьшится

3) интерференционная картина не изменится

4) интерференционная картина сместится по экрану влево, сохранив свой вид

 

78. В классическом опыте Юнга по дифракции пучок света, прошедший через узкое отверстие А, освещает отверстия В и С, за которыми на экране возникает интерференционная картина (см. рисунок).

Если уменьшить расстояние ℓ вдвое, то

 

1) расстояние между интерференционными полосами уменьшится

2) расстояние между интерференционными полосами увеличится

3) интерференционная картина не изменится

4) интерференционная картина сместится по экрану вправо, сохранив свой вид

 

79. В классическом опыте Юнга по дифракции пучок света, прошедший через узкое отверстие А, освещает отверстия В и С, за которыми на экране возникает интерференционная картина (см. рисунок).

Если уменьшить L вдвое, то

 

1) интерференционная картина останется неизменной

2) расстояние между интерференционными полосами уменьшится

3) интерференционная картина сместится по экрану, сохранив свой вид

4) расстояние между интерференционными полосами увеличится

 

80. Дифракционная решётка с расстоянием между штрихами d освещается монохроматическим светом. На экране, установленном за решёткой параллельно ей, возникает дифракционная картина, состоящая из тёмных и светлых вертикальных полос. В первом опыте решётка освещается красным светом, во втором — жёлтым, а в третьем — синим. Используя решётки с различными d, добиваются того, чтобы расстояние между светлыми полосами во всех опытах стало одинаковым. Значения постоянной решётки d1, d2, d3 в первом, во втором и в третьем опытах соответственно удовлетворяют условиям

 

1) 1) d1 = d2 = d3 3) d1 < d2 < d3

2) d1 > d2 > d3 4) d2 > d1 > d3

 

81. Дифракционная решётка с расстоянием между штрихами d освещается монохроматическим светом. На экране, установленном за решёткой параллельно ей, возникает дифракционная картина, состоящая из тёмных и светлых вертикальных полос. В первом опыте решётка освещается красным светом, во втором — жёлтым, а в третьем — фиолетовым. Используя решётки с различными d, добиваются того, чтобы расстояние между светлыми полосами во всех опытах стало одинаковым. Значения постоянной решётки d1, d2, d3 в первом, во втором и в третьем опытах соответственно удовлетворяют условиям

 

1) d1 > d2 > d3 3) d1 = d2 = d3

2) d2 > d1 > d3 4) d1 < d2 < d3

 

82. Дифракционная решётка с расстоянием между штрихами d освещается монохроматическим светом. На экране, установленном за решёткой параллельно ей, возникает дифракционная картина, состоящая из тёмных и светлых вертикальных полос. В первом опыте решётка освещается зелёным светом, во втором — синим, а в третьем — фиолетовым. Меняя решётки, добиваются того, чтобы расстояние между светлыми полосами во всех опытах стало одинаковым. Значения постоянной решётки d1, d2, d3 в первом, во втором и в третьем опытах соответственно удовлетворяют условиям

 

1) d1 > d2 > d3 3) d2 > d1 > d3

2) d1 < d2 < d3 4) d1 = d2 = d3

 

83. На экран с двумя щелям и слева падает плоская монохроматическая световая волна (см. рисунок). Длина световой волны λ. Свет от щелей S1 и S2, которые можно считать когерентными синфазными источниками, достигает экрана Э. На нём наблюдается интерференционная картина. Светлая полоса в точке А наблюдается, если

 

1) S2A – S1A = 2k (k — любое целое число)

2) S2A – S1A = (2k + 1) (k — любое целое число)

3) S2A – S1A = (k — любое целое число)

4) S2A – S1A = (k — любое целое число)

 

84. Дифракционная решётка с расстоянием между штрихами d освещается монохроматическим светом. На экране, установленном за решёткой параллельно ей, возникает дифракционная картина, состоящая из тёмных и светлых вертикальных полос. В первом опыте решётка освещается жёлтым светом, во втором — зелёным, а в третьем — синим. Меняя решётки, добиваются того, чтобы расстояние между полосами во всех опытах становилось одинаковым. Значения постоянной решётки d1, d2, d3 в первом, во втором и в третьем опытах соответственно удовлетворяют условиям

 

1) 1) d1 > d2 > d3 3) d2 > d1 > d3

2) d1 < d2 < d3 4) d1 = d2 = d3

 

 

85 На две щели в экране слева падает плоская монохроматическая световая волна перпендикулярно экрану. Длина световой волны λ. Свет от щелей S1 и S2, которые можно считать когерентными синфазными источниками, достигает экрана Э. На нём наблюдается интерференционная

картина. Темная полоса в точке А наблюдается, если

 

1) S2A – S1A = (2k + 1) (k — любое целое число)

2) S2A – S1A = 2k (k — любое целое число)

3) S2A – S1A = (k — любое целое число)

4) S2A – S1A = (k — любое целое число)

 

86. На рисунке изображён фрагмент интерференционной картины, полученной от двух когерентных источников света. Какое(-ие) утверждение(-я) являе(-ю)тся правильным(-и)?

А. В точку 1 световые волны от источников приходят в одной фазе.

Б. Оптическая разность хода лучей от источников до точки 2 равна чётному числу половин длины волны.

 

1) верно только А 3) верно и А и Б

2) верно только Б 4) не верно ни А, ни Б

 

87. На рисунке изображён фрагмент интерференционной картины, полученной от двух когерентных источников света. Какое(-ие) утверждение(-я) являе(-ю)тся правильным(-и)?

А. Оптическая разность хода лучей от источников до точки 1 равна чётному числу половин длины волны.

Б. В точку 2 световые волны от источников приходят в одной фазе.

 

1) верно только А 3) верно и А и Б

2) верно только Б 4) не верно ни А, ни Б

 



<== предыдущая | следующая ==>
Распределение Максвелла | I. Рассказывание из опыта





Date: 2015-07-27; view: 4029; Нарушение авторских прав



mydocx.ru - 2015-2026 year. (1.882 sec.) Все материалы представленные на сайте исключительно с целью ознакомления читателями и не преследуют коммерческих целей или нарушение авторских прав - Пожаловаться на публикацию