Главная Случайная страница


Полезное:

Как сделать разговор полезным и приятным Как сделать объемную звезду своими руками Как сделать то, что делать не хочется? Как сделать погремушку Как сделать так чтобы женщины сами знакомились с вами Как сделать идею коммерческой Как сделать хорошую растяжку ног? Как сделать наш разум здоровым? Как сделать, чтобы люди обманывали меньше Вопрос 4. Как сделать так, чтобы вас уважали и ценили? Как сделать лучше себе и другим людям Как сделать свидание интересным?


Категории:

АрхитектураАстрономияБиологияГеографияГеологияИнформатикаИскусствоИсторияКулинарияКультураМаркетингМатематикаМедицинаМенеджментОхрана трудаПравоПроизводствоПсихологияРелигияСоциологияСпортТехникаФизикаФилософияХимияЭкологияЭкономикаЭлектроника






Анализ устойчивости форм колебаний





 
Анализ устойчивости форм колебаний проводится в упрощенной форме, с использованием приведения уравнения в вариациях к виду уравнения Матье. Поскольку траектория первой нормальной формы связанных колебаний близка к прямой, то, повернув систему координат, устойчивость этой формы будет определяться вариациями в ортогональном к данной траектории направлении (рис. 3.16). Используя поворот системы координат 0xθ на угол α, получаем систему уравнений в новых переменных x, θ:

(3.16)

 

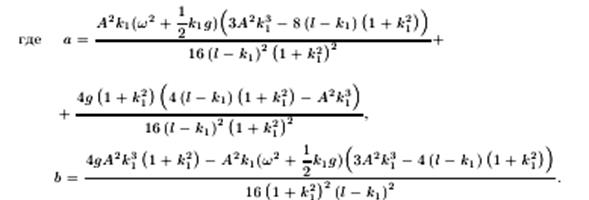
первой формы колебаний, имеет вид

(3.17)

где x и v – вариации переменных ˜ x и ˜ θ соответственно. Уравнение после некоторых алгебраических преобразований примет вид известного уравнения Матье:

(3.18)

(3.19)

Рисунок 3.3 - Преобразование систем координат

 

Границы областей устойчивости и неустойчивости уравнения Матье хорошо известны.

Рисунок 3.4 – Границы областей Рисунок 3.5 – Траектория

устойчивости / неустойчивости ответвляющего движения

 

На рис. 3.4 представлены границы областей устойчивости и неустойчивости, полученные с использованием уравнений Матье (светлая линия) и Хилла (темная линия). Можно заметить, что уравнение в вариациях в форме уравнения Матье пригодно только для довольно малых амплитуд колебаний. Во внутренней области наблюдаются неустойчивые движения. Потеря устойчивости первой формы влечет за собой переход к другим формам колебаний. При ветвлении появляется пара новых форм колебаний, которые также являются нелокальными. Траектории их в области неустойчивости первой формы колебаний – траектории ответвляющихся движений – изображены на рис. 3.5.







Date: 2015-07-27; view: 829; Нарушение авторских прав



mydocx.ru - 2015-2026 year. (0.459 sec.) Все материалы представленные на сайте исключительно с целью ознакомления читателями и не преследуют коммерческих целей или нарушение авторских прав - Пожаловаться на публикацию