Главная Случайная страница


Полезное:

Как сделать разговор полезным и приятным Как сделать объемную звезду своими руками Как сделать то, что делать не хочется? Как сделать погремушку Как сделать так чтобы женщины сами знакомились с вами Как сделать идею коммерческой Как сделать хорошую растяжку ног? Как сделать наш разум здоровым? Как сделать, чтобы люди обманывали меньше Вопрос 4. Как сделать так, чтобы вас уважали и ценили? Как сделать лучше себе и другим людям Как сделать свидание интересным?


Категории:

АрхитектураАстрономияБиологияГеографияГеологияИнформатикаИскусствоИсторияКулинарияКультураМаркетингМатематикаМедицинаМенеджментОхрана трудаПравоПроизводствоПсихологияРелигияСоциологияСпортТехникаФизикаФилософияХимияЭкологияЭкономикаЭлектроника






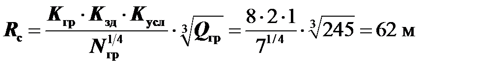
По сейсмическому действию для зданий и сооружений





5.2.1. Безопасное расстояние R с при неодновременным взрыванием N гр групп зарядов со временем замедления между взрывами каждой группы зарядов 20 мс:

,

где — масса зарядов ВВ, взрываемых в одной ступени замедления.

 

По действию ударной воздушной волны на застекление зданий и сооружений

5.3.1. В соответствии c ЕПБ-ВР проверяется условие, чтобы длина зарядов была больше 12 своих диаметров:

.

5.3.2. Эквивалентная масса Q э для зарядов, взрываемых одновременно:

,

где — суммарная масса ВВ поверхностной сети ДШ.

5.3.3. Безопасное расстояние по действию ударной воздушной волны на за-стекление при одновременном взрывании N ст групп зарядов при 2 ≤ Q э < 1000 кг:

5.3.4. Применительно к конкретным условиям ведения взрывных работ безопасное расстояние по действию ударной воздушной волны определяется по формуле:

.

 







Date: 2015-07-27; view: 644; Нарушение авторских прав



mydocx.ru - 2015-2026 year. (0.599 sec.) Все материалы представленные на сайте исключительно с целью ознакомления читателями и не преследуют коммерческих целей или нарушение авторских прав - Пожаловаться на публикацию