Главная Случайная страница


Полезное:

Как сделать разговор полезным и приятным Как сделать объемную звезду своими руками Как сделать то, что делать не хочется? Как сделать погремушку Как сделать так чтобы женщины сами знакомились с вами Как сделать идею коммерческой Как сделать хорошую растяжку ног? Как сделать наш разум здоровым? Как сделать, чтобы люди обманывали меньше Вопрос 4. Как сделать так, чтобы вас уважали и ценили? Как сделать лучше себе и другим людям Как сделать свидание интересным?


Категории:

АрхитектураАстрономияБиологияГеографияГеологияИнформатикаИскусствоИсторияКулинарияКультураМаркетингМатематикаМедицинаМенеджментОхрана трудаПравоПроизводствоПсихологияРелигияСоциологияСпортТехникаФизикаФилософияХимияЭкологияЭкономикаЭлектроника






Камеральні роботи при обробці результатів вимірювань мережі тріангуляції





При камеральних роботах дотримуються наступної послідовності:

Рисунок. 2.1.

Як видно з рис. 2.1., в мережі виміряно 2 базиси: a i b та всі 3 кути в кожному трикутнику. Під час складання схеми мережі тріангуляції обов’язково нумерують трикутники і кути. 1-й трикутник починають з того трикутника, в якому заміряний базис, а далі - рахують по-порядку. Кути в трикутнику доцільно нумерувати за загальноприйнятою схемою. Всі сторони трикутника мають свою назву та сторони , , називають зв’язуючими сторонами, тому що вони є спільними для двох сусідніх трикутників.

Сторони , , , називають проміжними тому, що вони не є спільними з іншими трикутниками.

Нумерують кути в трикутника за наступним правилом:

1-й кут – проти виміряного базису а;

2-й – проти проміжної сторони;

3-й – проти зв’язуючої сторони ;

Переходять до нумерації кутів у другому трикутнику:

4-й кут – проти ;

5-й – проти проміжної сторони ;

6-й – проти зв’язуючої сторони ;

Аналогічно в третьому трикутнику:

7-й кут – проти ;

8-й – проти проміжної сторони ;

9-й – проти ;

В четвертому трикутнику:

кут 10 проти ;

11-й – проти проміжної сторони ;

12-й – проти базису b.

Така нумерація кутів дозволяє майже автоматично складати базисне рівняння, яке має наступний вигляд:

Складання базисного рівняння:

Із першого трикутника згідно теореми синусів:

;

 

В мережі тріангуляції виникає стільки умов фігур скільки є трикутників. Оскільки в трикутнику вимірюються всі кути, то нев’язка визначається за формулою:

Поправка в виміряні кути вводиться порівну:

Гранична похибка нев’язки в трикутнику:

де - СКП вимірювання горизонтального кута

Вільний член базисної умови обчислюється за формулою:

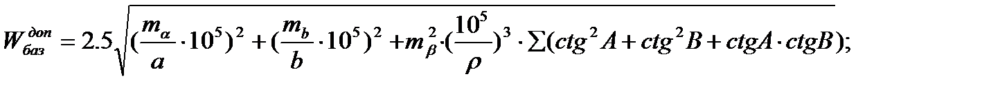
Допустимий вільний член базисного рівняння обчислюється за формулою:

де , - відносні СКП вимірювання базисів

Якщо величина вільного члена базисного рівняння менше або рівне допустимої величини, то обчислюють величину вторинної поправки за формулою:

Вторинну поправку додають тільки до зв’язуючих кутів, при чому до кутів, які знаходяться в чисельнику базисного рівняння додають вторинну поправку з тим знаком, який отримали за формулою, а кути, які знаходяться в знаменнику базисного рівняння її додають з оберненим знаком. Слід пам’ятати, що поправки заокруглюють до 0,1́. Вторинна поправка вводиться з метою, щоб знайти теоретичне місце точки в якій перетинаються промені трикутника і не порушується теоретична умова.

Після цього за урівняними кутами обчислюють довжини сторін трикутників. Контролем обчислень являються рівності вирахуваного і виміряного значення базиса b.

Маючи урівняні кути і довжини ліній, обчислюємо прямокутні координати точок за формулами Юнга (рис.2.2.) або методом теодолітних ходів.

Рисунок 2.2.

Контроль:

 

2.3. Виконати урівнювання мережі тріангуляції спрощеним методом

Вихідні дані:

1=64°33,3' 2=62°18,7'
3=53°07,9' 4=51°02,5'
5=83°34,0 6=45°23,5'
7=61°06,2' 8=53°55,3'
9=64°58,5' 10=48°30,1'
11=78°04,2' 12=53°25,7'
13=45°29,1' 14=82°07,7'
15=52°23,2' а =109,44 м
αМА=315°19,7'  
Xм=2000,00 Yм=3600,00

 

Рисунок.2.3.Схема мережі тріангуляції

 

mβ=1", а відстань базиса виміряна з точністю:

Таблиця 2.1 Рішення трикутників мережі тріангуляції

№ трик. № кута Виміряні кути Поправки Виправлені кути Синуси кутів Сторони
V' V''
    64°33,3'   +0,1` 64°33,4' 0,903010759 109,440
  62°18,7'     62°18,7' 0,885488259 107,316
  53°07,9' +0,1 -0,1` 53°07,9' 0,800016197 96,958
179˚59,9'     180˚00'    
W1 -0,1`          
    51°02,5'     51°02,5' 0,777603604 96,958
  83°34,0     83°34,0 0,993702901 123,903
  45°23,5'     45°23,5' 0,711923699 88,768
180°00`00``     180˚00'    
W2 0˚0'0          
    61°06,2'   +0.1` 61°06,3' 0,875492790 88,768
  53°55,3     53°55,3 0,808212633 81,946
  64°58,5'   -0,1` 64°58,4' 0,906123169 91,874
180˚0,0'     180˚0,0'    
W3 0˚0`          
    48°30,1'     48°30,1' 0,748975199 91,874
  78°04,2'     78°04,2' 0,978400883 120,017
  53°25,7'     53°25,7' 0,803112033 98,515
180˚0,0'     180˚00'    
W4 0˚0,0'          
    45°29,1'     45°29,1' 0,713067142 98,515
  82°07,7'     82°07,7' 0,990577310 136,854
  52°23,2'     52°23,2' 0,792147447 109,440
180˚00'     180˚00' 0,903010759 109,440
W5 0˚0,0'       0,885488259  







Date: 2015-07-22; view: 580; Нарушение авторских прав



mydocx.ru - 2015-2026 year. (0.411 sec.) Все материалы представленные на сайте исключительно с целью ознакомления читателями и не преследуют коммерческих целей или нарушение авторских прав - Пожаловаться на публикацию