Главная Случайная страница


Полезное:

Как сделать разговор полезным и приятным Как сделать объемную звезду своими руками Как сделать то, что делать не хочется? Как сделать погремушку Как сделать так чтобы женщины сами знакомились с вами Как сделать идею коммерческой Как сделать хорошую растяжку ног? Как сделать наш разум здоровым? Как сделать, чтобы люди обманывали меньше Вопрос 4. Как сделать так, чтобы вас уважали и ценили? Как сделать лучше себе и другим людям Как сделать свидание интересным?


Категории:

АрхитектураАстрономияБиологияГеографияГеологияИнформатикаИскусствоИсторияКулинарияКультураМаркетингМатематикаМедицинаМенеджментОхрана трудаПравоПроизводствоПсихологияРелигияСоциологияСпортТехникаФизикаФилософияХимияЭкологияЭкономикаЭлектроника






Параллель





ПЕРПЕНДИКУЛЯР

ПАРАЛЛЕЛЬ ЕМЕС

4) СҮЙІР БҰРЫШ ЖАСАП ҚИЫЛЫСАДЫ

5) БЕТТЕСЕДІ

125. түзулерінің қиылысу нүктесі

1)

2)

3)

4)

5)

1) 3

2) 1

3) 2

4) 4

5) 5

126. түзуіне перпендикуляр түзудің бұрыштық коэфициенті

1)

2)

3)

4)

5)

 

1) 5

2) 1

3) 2

4) 3

5) 4

127. шекті тап

1)

2)

3) 2

4)

1) 4

2) 1

3) 2

4) 3

5) 5

128. шекті есепте

 

1) 4

2) 1

3) 2

4) 3

5) 5

129. Егер болса, онда қандай шама

1) ШЕКСІЗ ҮЛКЕН

2) ШЕКСІЗ АЗ

3) ТҰРАҚТЫ

4) МӨЛШЕРЛЕС

5) НӨЛГЕ ТЕҢ

130. функциясының анықталу облысын тап

1)

2) [0,1]

3)

4)

5)

1) 5

2) 1

3) 2

4) 3

5) 4

131. функциясының туындысын тап

1)

1)

2)

3)

4)

1) 1

2) 2

3) 3

4) 4

5) 5

132. функциясының туындысын тап

1)

2)

3)

4)

4)

1) 4

2) 1

3) 2

4) 3

5) 5

133. неге тең

1)

2)

3)

4)

5)

1) 2

2) 1

3) 3

4) 4

5) 5

134. интегралы неге тең

1)

2)

3)

4)

5) .

 

1) 2

2) 1

3) 3

4) 4

5) 5

135. анықтауышты бірінші жолдың элементтері арқылы жікте

1)

2)

3)

4)

5)

1) 1

2) 2

3) 3

4) 4

5) 5

136. Анықтауышты есепте

1) 4

2) 5

3) -4

4) 3

5) -3

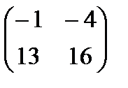
137. өлшемді В матрицасы квадраттық деп аталады, егер

1) n=1

2) m=1

3) m n

4) m=n

5) m n

1) 4

2) 1

3) 2

4) 3

5) 5

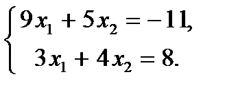
138. Жүйені шешіп тап

1) 1

2) -1

3) -9

4) 9

5) 20

139. Есепте

1)

2)

3)

5) 4)

4)

1) 4

2) 1

3) 2

4) 3

5) 5

140. векторының ұзындығы тең

1)

2)

3)

4)

5)

1) 3

2) 1

3) 2

4) 4

5) 5

141. Егер А (+3; +3); В (-1;-1) болса, кесіндісінің ортасын координатын тап

1)

2)

3)

4)

5) (+1;+1)

 

1) 5

2) 1

3) 2

4) 3

5) 4

142. векторлық көбейтіндісін тап

1)

2)

3)

4)

5)

1) 1

2) 2

3) 3

4) 4

5) 5

143. және екі нүкте арқылы өтетін түзудің теңдеуін жаз

1)

2)

3)

4)

5)

1) 3


2) 1

3) 2

4) 4

5) 5

144. Шекті тап

1) 1

2)

3)

4)

5)

1) 5

2) 1

3) 2

4) 3

5) 4

145. Екінші тамаша шек неге тең

1)

2)

3)

4)

5)

1) 4

2) 1

3) 2

4) 3

5) 5

146. Шекті тап

1)

2)

3)

4)

5)

1) 4

2) 1

3) 2

4) 3

5) 5

147. функцияның туындысын тап

1)

2)

3)

4)

5)

1) 4

2) 1

3) 2

4) 3

5) 5

148. функцияның туындысын тап

1)

2) х-1

3)

4) 12 x2 - 4x

5)

1) 4

2) 1

3) 2

4) 3

5) 5

149. функцияның минимумын тап

1)

2) 0.

3)

4)

5)

1) 2

2) 1

3) 3

4) 4

5) 5

150. интегралды есепте

1)

2) 1

3)

4)

5) 2

1) 3

2) 1

3) 2

4) 4

5) 5

151. интегралды тап

1)

2)

3)

4)

5)

 

 

1) 5

2) 1

3) 2

4) 3

5) 4

152. матрицаларының көбейтіндісін табыңыз.

1.

2.

3.

4.

5.

 

1) 1

2) 2

3) 3

4) 4

5) 5

153. функциясы берілген

неге тең?

1. -3

2. 1

3. -5

4. 5

5. 4

1) 1

2) 2

3) 3

4) 4

5) 5

154. Егер А=

берілген болса, матрицасын табыңыз.

1.

2.

3.

4.

5.

 

1) 1

2) 2

3) 3

4) 4

5) 5

155. және векторлары арасындағы бұрышты табыңыз

1.

2.

3.

4.

5.

1) 1

2) 2

3) 3

4) 5

5) 4

156. Егер векторлары компланар болса, төмендегі теңдіктердің қайсысы дұрыс?


1.

2.

3.

4.

5.

1) 1

2) 2

3) 3

4) 4

5) 5

157. және нүктелері арқылы өтетін түзудің теңдеуін тап

1. x-3y=7

2. x+3y=8

3. x+3y=10

4. x-5y=10

5. x-3y=10

1) 5

2) 1

3) 2

4) 3

5) 4

158. 7x-9y+z-5=0 жазықтығының нормаль векторын көрсет

1. (7,9.1)

2.

3.

4.

5.

1) 5

2) 1

3) 2

4) 3

5) 4

159. 9x2+25y2=225 қисығының түрін және параметрлерін анықта

1. эллипс а=5, в=3

2. гипербола а=5, в=3

3. парабола р=3

4. шеңбер R=13

5. түзу

1) 1

2) 2

3) 3

4) 4

5) 5

160. Шекті тап:

1. -1

2. 2

3. 1

4. 0

5. -2

1) 1

2) 2

3) 3

4) 4

5) 5

161. функциясы берілген

неге тең?

1. -3

2. 1

3. -5

4. 5

5. 4

1) 1

2) 2

3) 4

4) 3

5) 5

162. туындысын тап

1) 1

2)

3)

4)

5) 0

1) 2

2) 1

3) 3

4) 4

5) 5

 

163. функциясының туындысын табыңыз

1.

2.

3.

4.

5.

1) 1

2) 2

3) 3

4) 4

5) 5

164. интегралы неге тең?

1.

2.

3.

4.

5.

1) 5

2) 1

3) 2

4) 3

5) 4

165. туындысын тап

1) 1

2)

3)

4)

5) 0

1) 2

2) 1

3) 3


4) 4

5) 5

166. интегралы неге тең?

1.

2.

3.

4.

5.

1) 5

2) 1

3) 2

4) 4

5) 3

167. туындысын тап

1) 1

2)

3)

4)

5) 0

1) 2

2) 1

3) 3

4) 4

5) 5

168. интегралы неге тең?

1.

2.

3.

4.

5.

1) 5

2) 1

3) 2

4) 3

5) 4

 

169. функциясының туындысын табыңыз

1.

2.

3.

4.

5.

1) 1

2) 2

3) 3

4) 4

5) 5

170. Шекті тап:

1. -1

2. 2

3. 1

4. 0

5. -2

1) 1

2) 2

3) 3

4) 4

5) 5

171. 9x2+25y2=225 қисығының түрін және параметрлерін анықта

1. эллипс а=5, в=3

2. гипербола а=5, в=3

3. парабола р=3

4. шеңбер R=13

5. түзу

1) 1

2) 4

3) 2

4) 3

5) 5

172. Егер векторлары компланар болса, төмендегі теңдіктердің қайсысы дұрыс?

1.

2.

3.

4.

5.

1) 1

2) 2

3) 3

4) 4

5) 5

173. функцияның туындысын тап

1)

2) х+1

3)

4) 12 x2 - 4x

5)

1) 4

2) 1

3) 2

4) 3

5) 5

174. Матрицаның мүшесінің A алгебралық толықтауышын есепте:

1) 3

2) 1

3) 2

4) 4

5) 5

175. векторларының қосындысын тап:

1. 2. 3.

4. 5.

1) 4

2) 1

3) 2

4) 3

5) 5

176. Шектітап

1. 2. 3. 4. 5. 1

1) 1

2) 2

3) 3

4) 4

5) 5

177. Шекті тап

1. 2. 3. 4.1 5.

1) 5

2) 1

3) 3

4) 2

5) 4

178. функцияның туындысын тап:

1. 2. 3.

4. 5.

1) 4

2) 1

3) 2

4) 3

5) 5

179. Егер анықталмағандық немесе түрінде болса, онда

180. 1. 2. 3.

4. 5.

 

1) 4

2) 1

3) 2

4) 3

5) 5

181. функцияның туындысын тап:

1.

2. 4.

3. 5. 1.

1) 2

2) 1

3) 3

4) 4

5) 5

182. Егер , болса, матрицасын тап:

1. 2. 3.

4. 5.

1) 4

2) 1

3) 2

4) 3

5) 5

183. Анықтауышты есепте

1) 3

2) -1

3) 2

4) 10

5) -3

184. векторларының скаляр көбейтіндісін тап:

1) 0

2) 40

3) -40

4) 1

5) -2

185. Егер түзу OX осінен , OY осінен кесінділерін қиса, онда оның теңдеуі:

1. 2. 3.

4. 5.

1) 2

2) 1

3) 3

4) 4

5) 5

186. және екі нүктеден өтетін түзудің теңдеуі:

1.

2.

3.

4.

5.

 

1) 1

2) 2

3) 3

4) 4

5) 5

187. Егер функциясының берілген аралықтағы туындысы теріс болса, онда функция:

1) КЕМИДІ

2) НӨЛГЕ ТЕҢ

3) ТҰРАҚТЫ

4) ҮЗІЛІСТІ

5) ӨСЕДІ

188. функциясының туындысын тап:

1. 2. 3.

4. 5.

1) 5

2) 1

3) 2

4) 3

5) 4

189. шекті есепте:

1. 2. 3. 4. 5. 1

1) 3

2) 1

3) 2

4) 4

5) 5

190. векторларының қосындысын тап:

1. 2. 3.

4. 5.

1) 4

2) 2

3) 1

4) 3

5) 5

191. Егер , болса, матрицасын тап:

1. 2. 3.

4. 5.

1) 4

2) 1

3) 2

4) 3

5) 5

192. интегралды тап:

A) . B) . C) D) .

 

E) .

A

В

С

Д

Е

193. интегралды тап:

A) . B) . C) . D) .

E) .

 

A

В

С

Д

Е

194. интегралды тап:

A) . B) . C) . D)

E) .

 

D

А

В

С

Е

195. интегралды тап:

A) . B) C) .. D)

.E) .

 

A

В

С

Д

Е

196. интегралды есепте:

A) - . B) D) C). 3 E) 0.

 

A

В

С

Д

Е

197. интегралды есепте:

A) . B) - C) 0. D) E)

 

В

А

С

Д

Е

198. интегралды есепте:

A) - B) 0 C) D) E)

 

С

А

В

Д

Е

199. интегралы тең:

A) 2. B) -1 C) 0 D) 1 E) -2

 

1) 1

2) -1

3) 2

4) 0

5) -2

200. Интегралды тап

А. В. С. Д. E.x+1

A

В







Date: 2015-07-22; view: 570; Нарушение авторских прав



mydocx.ru - 2015-2026 year. (0.841 sec.) Все материалы представленные на сайте исключительно с целью ознакомления читателями и не преследуют коммерческих целей или нарушение авторских прав - Пожаловаться на публикацию