Главная Случайная страница


Полезное:

Как сделать разговор полезным и приятным Как сделать объемную звезду своими руками Как сделать то, что делать не хочется? Как сделать погремушку Как сделать так чтобы женщины сами знакомились с вами Как сделать идею коммерческой Как сделать хорошую растяжку ног? Как сделать наш разум здоровым? Как сделать, чтобы люди обманывали меньше Вопрос 4. Как сделать так, чтобы вас уважали и ценили? Как сделать лучше себе и другим людям Как сделать свидание интересным?


Категории:

АрхитектураАстрономияБиологияГеографияГеологияИнформатикаИскусствоИсторияКулинарияКультураМаркетингМатематикаМедицинаМенеджментОхрана трудаПравоПроизводствоПсихологияРелигияСоциологияСпортТехникаФизикаФилософияХимияЭкологияЭкономикаЭлектроника






К санына артады





4) К САНЫНА КЕМИДІ

5) ӨЗГЕРМЕЙДІ

82. матрицасының кері матрицасын тап

1)

2)

3)

4)

5)

1) 3

2) 1

3) 2

4) 4

5) 5

83. анықтауышының минорын тап

1) -5

2) -3

3) 5

4) 8

5) 16

84. векторларының аралас көбейтіндісін тап

1) 6

2) 0

3) -6

4) 2

5) 4

Векторлар коллинеар деп аталады, егер олар

1) БІР ТҮЗУДЕ НЕМЕСЕ ПАРАЛЛЕЛЬ ТҮЗУЛЕРДЕ ЖАТСА

2) БІР ЖАЗЫҚТЫҚТА ЖАТСА

3) БІР ЖАЗЫҚТЫҚТА ПАРАЛЛЕЛЬ БОЛСА

4) КИЫЛЫСАТЫН ТҮЗУЛЕРДЕ ЖАТСА

5) ҰЗЫНДЫҚТАРЫ ТЕҢ БОЛСА

86. Егер және жазықтықтары параллель болса, онда

1)

2)

3)

4) и

5)

1) 5

2) 1

3) 2

4) 4

5) 3

87. Шекті тап

1) 1

2) 0

3)

4)

5) .

1) 2

2) 1

3) 3

4) 4

5) 5

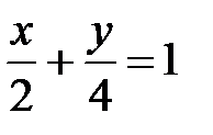
88. түзудің теңдеуін кесінділік түрде жаз

1)

2)

2)

3)

4)

1) 5

2) 1

3) 2

4) 3

5) 4

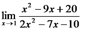
89. Шекті тап

1)

2) 0

3) 2

4)

5)

1) 3

2) 1

3) 2

4) 4

5) 5

90. туындысын тап

2)

3)

4)

1) 2

2) 1

3) 3

4) 4

5) 5

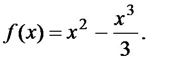
91. функциясының туындысы

1)

2)

3)

4)

5)

 

1) 4

2) 1

3) 2

4) 3

5) 5

92. функциясының туындысын тап

1)

2)

3)

2

3)

 

1) 3

2) 1

3) 2

4) 4

5) 5

93. функциясының туындысын тап

1)

2)

3)

4)

5)

1) 1

2) 2

3) 3

4) 4

5) 5

94. функцияның максимумын тап

1)

2)

3)

4) 0.

5)

1) 2

2) 1

3) 3

4) 4

5) 5

95. интегралы тең

1)

2)

3)

4)

5).

1) 2

2) 1

3) 3

4) 4

5) 5

96. интегралын есепте

1)

2)

3)

4)

1) 3

2) 1

3) 2

4) 4

5) 5

97. Егер анықтауыштың екі бағанының элементтері пропорционал болса, онда ол

1) НОЛЬГЕ ТЕҢ

2) НӨЛГЕ ТЕҢ ЕМЕС

3) ДИАГОНАЛЬДЫҚ ЭЛЕМЕНТТЕРДІҢ ҚОСЫНДЫСЫНА ТЕҢ

4) ОСЫ БАҒАНДАҒЫ ЭЛЕМЕНТТЕРІНІҢ ҚОСЫНДЫСЫНА ТЕҢ

5) ОСЫ БАҒАНДАҒЫ ЭЛЕМЕНТТЕРДІҢ КӨБЕЙТІНДІСІНЕ ТЕҢ

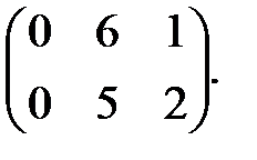
98. анықтауышты есепте

1)

2)

3)

4)

5)

1) 4

2) 1

3) 2

4) 3

5) 5

99. Анықтауышты есепте

1) 18

2) -18

3) 6

4) 5

5) 2

100. мөлшерлі А матрицасы, квадраттық деп аталады, егер


1) m=n

2) m>n

3) n=1

4) m=1

5) m<n

101. жүйені шешіп, тап

1) -1

2) 1

3) -6

4) 5

5) -5

102. Егер , болса, 2А - В тап

1)

2)

3)

4)

5)

 

1) 5

2) 1

3) 2

4) 3

5) 4

103. векторлардың аралас көбейтіндісін тап

1) -1

2) 0

3)

4)

5)1

1) 2

2) 1

3) 3

4) 4

5) 5

104. нүктелерінен өтетін түзудің теңдеуі

1)

1)

2)

3)

4)

1) 3

2) 1

3) 2

4) 4

5) 5

105. түзуіне параллель түзудің бұрыштық коэфициентін тап

1) 3

2) -2

3)

4) 2

5)

1) 3

2) 1

3) 2

4) 4

5) 5

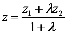
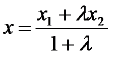
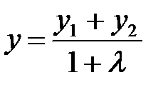
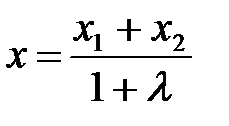
106. берілген. кесіндісінің ортасының координатын тап

1)

2)

3)

4)

5)

1) 2

2) 1

3) 3

4) 4

5) 5

107. (А(х , у , z ) және (В(х , у , z )) векторының координатын тап

1) ; ;

2) ; ;

3) ; ;

4) ; ;

(

 

1) 5

2) 1

3) 2

4) 3

5) 4

108. Шекті тап

1)

2)

3)

4)

5) 2

1) 1

2) 2

3) 3

4) 4

5) 5

109. тең

1)

2)

3)

4)

5)

1) 1

2) 2

3) 3

4) 4

5) 5

110. Шекті тап

1) 1

2)

3)

4) 2

5)

 

1) 3

2) 1

3) 2

4) 4

5) 5

111. функциясының туындысын тап

1)

2)

3)

3)

4)

1) 4

2) 1

3) 2

4) 3

5) 5

112. аталады







Date: 2015-07-22; view: 533; Нарушение авторских прав



mydocx.ru - 2015-2026 year. (0.702 sec.) Все материалы представленные на сайте исключительно с целью ознакомления читателями и не преследуют коммерческих целей или нарушение авторских прав - Пожаловаться на публикацию