Главная Случайная страница


Полезное:

Как сделать разговор полезным и приятным Как сделать объемную звезду своими руками Как сделать то, что делать не хочется? Как сделать погремушку Как сделать так чтобы женщины сами знакомились с вами Как сделать идею коммерческой Как сделать хорошую растяжку ног? Как сделать наш разум здоровым? Как сделать, чтобы люди обманывали меньше Вопрос 4. Как сделать так, чтобы вас уважали и ценили? Как сделать лучше себе и другим людям Как сделать свидание интересным?


Категории:

АрхитектураАстрономияБиологияГеографияГеологияИнформатикаИскусствоИсторияКулинарияКультураМаркетингМатематикаМедицинаМенеджментОхрана трудаПравоПроизводствоПсихологияРелигияСоциологияСпортТехникаФизикаФилософияХимияЭкологияЭкономикаЭлектроника






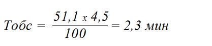
Время на обслуживание рабочего места





 

 

где Топ — оперативное время = 51,1 мин

аобс — коэффициент времени на обслуживание = 4,5

 

 

где То — основное время = 49 мин

Тв — вспомогательное время = 2,1 мин

 

 

Время перерывов на отдых и личные надобности

где аотд — коэффициент времени на отдых = 4

Топ — оперативное время = 51,1 мин

 

Определяем подготовительно-заключительное время

 

Подготовительно-заключительное время Тпз рассчитывают

с учетом группы станка по соответствующим

таблицам нормативов и включает время:

-на наладку станка, инструмента и приспособлений;

- на настройку станка для обработки колеса с косым зубом;

- на пробную обработку деталей;

-на получение инструмента и приспособлений до начала

и сдачу их после окончания обработки партии деталей.

 

Тпз = 20 + 8,5 + 4,5 + 7 = 40 мин

 

 







Date: 2015-07-24; view: 397; Нарушение авторских прав



mydocx.ru - 2015-2026 year. (1.643 sec.) Все материалы представленные на сайте исключительно с целью ознакомления читателями и не преследуют коммерческих целей или нарушение авторских прав - Пожаловаться на публикацию