Главная Случайная страница


Полезное:

Как сделать разговор полезным и приятным Как сделать объемную звезду своими руками Как сделать то, что делать не хочется? Как сделать погремушку Как сделать так чтобы женщины сами знакомились с вами Как сделать идею коммерческой Как сделать хорошую растяжку ног? Как сделать наш разум здоровым? Как сделать, чтобы люди обманывали меньше Вопрос 4. Как сделать так, чтобы вас уважали и ценили? Как сделать лучше себе и другим людям Как сделать свидание интересным?


Категории:

АрхитектураАстрономияБиологияГеографияГеологияИнформатикаИскусствоИсторияКулинарияКультураМаркетингМатематикаМедицинаМенеджментОхрана трудаПравоПроизводствоПсихологияРелигияСоциологияСпортТехникаФизикаФилософияХимияЭкологияЭкономикаЭлектроника






Определяем глубину резания





t = 5

(где 5 — это слой материала, срезаемый за один проход)


 

 

Определяем подачу на зуб (величина перемещения)

Величину технологически допустимой подачи выбирают с уче-

том следующих факторов:

 

 

заданного качества поверхности и требуемой точности;

мощности станка;

размеров нарезаемого зуба;

количества зубьев колеса.

Sтабл = 0,12 - 0,18 мм/зуб

S = 0,15 мм/зуб (среднее значение подачи)

Sтабл.– табличное значение подачи, мм/об;

 

 

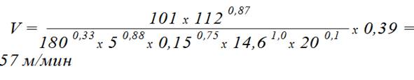
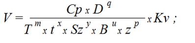
Расчитываем скорость резания по формуле

 

 


где:

Kv — поправочный коэффициент

D – диаметр инструмента = 112мм

T — стойкость инструмента = 180 мин (выбирается по справочнику Кассиловой

Ср = 101

показатели степени:

х = 0,88

y = 0,75

u = 1,0

р = 0,1

q = 0,87

m = 0,33

являются табличными значениями и находятся по справочнику Кассиловой.

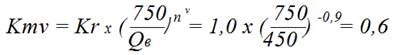
Kv = Kmv x Kпv х Kuv

 

где Kmv = 0,6 - коэффициент учитывающий обрабатываемый материал;

Kпv = 1,0 - коэффициент учитывающий инструментальный материал;

Kuv = 0,65 — коэффициент учитывающий условия обработки

 

где Qв — коэффициент текучести или вязкости обрабатываемого материала

Кr – (по таблице)

Kv = 0,6 X 1,0 x 0,65 = 0,39

 







Date: 2015-07-24; view: 369; Нарушение авторских прав



mydocx.ru - 2015-2026 year. (0.947 sec.) Все материалы представленные на сайте исключительно с целью ознакомления читателями и не преследуют коммерческих целей или нарушение авторских прав - Пожаловаться на публикацию