Главная Случайная страница


Полезное:

Как сделать разговор полезным и приятным Как сделать объемную звезду своими руками Как сделать то, что делать не хочется? Как сделать погремушку Как сделать так чтобы женщины сами знакомились с вами Как сделать идею коммерческой Как сделать хорошую растяжку ног? Как сделать наш разум здоровым? Как сделать, чтобы люди обманывали меньше Вопрос 4. Как сделать так, чтобы вас уважали и ценили? Как сделать лучше себе и другим людям Как сделать свидание интересным?


Категории:

АрхитектураАстрономияБиологияГеографияГеологияИнформатикаИскусствоИсторияКулинарияКультураМаркетингМатематикаМедицинаМенеджментОхрана трудаПравоПроизводствоПсихологияРелигияСоциологияСпортТехникаФизикаФилософияХимияЭкологияЭкономикаЭлектроника






Параметры рабочего тела в начале сжатия





 

Изм.
Лист
№ докум.
Подпись
Дата
Лист
 
 
Параметры рабочего тела в конце процесса выпуска (в ВМТ): давление (давление остаточных газов) и температуру (температура остаточных газов), а также давления газов в начале процесса сжатия определяют по эмпирическим соотношениям. Принимаем давление в начале сжатия:

Температуру в начале сжатия определяют как температуру смеси в киломолях свежего заряда и остаточных газов , количество которых характеризуют коэффициенты наполнения и остаточных газов .

Выполним необходимые вычисления.

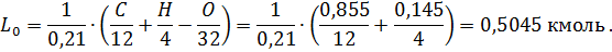
Теоритически необходимое количество воздуха в киломолях для сгорания 1 кг бензина среднего состава ( и в 1 кг) определяется по формуле:

До начала сгорания горючая смесь в цилиндре карбюраторного двигателя состоит из воздуха и испарившегося бензина.

Тогда количество горючей смеси на 1 кг топлива составит:

где – молекулярная масса паров топлива.

Коэффициент наполнения определяется по формуле:

где – степень сжатия;

– подогрев свежего заряда от стенок;

– давление остаточных газов:

Отсюда имеем:

Коэффициент остаточных газов определяется по формуле:

где – температура остаточных газов (принимается по опытным данным).

Изм.
Лист
№ докум.
Подпись
Дата
Лист
 
 
Температура рабочего тела (рабочей смеси) в цилиндре двигателя в начале сжатия определяется по формуле:

 







Date: 2015-07-22; view: 778; Нарушение авторских прав



mydocx.ru - 2015-2026 year. (0.773 sec.) Все материалы представленные на сайте исключительно с целью ознакомления читателями и не преследуют коммерческих целей или нарушение авторских прав - Пожаловаться на публикацию