Главная Случайная страница


Полезное:

Как сделать разговор полезным и приятным Как сделать объемную звезду своими руками Как сделать то, что делать не хочется? Как сделать погремушку Как сделать так чтобы женщины сами знакомились с вами Как сделать идею коммерческой Как сделать хорошую растяжку ног? Как сделать наш разум здоровым? Как сделать, чтобы люди обманывали меньше Вопрос 4. Как сделать так, чтобы вас уважали и ценили? Как сделать лучше себе и другим людям Как сделать свидание интересным?


Категории:

АрхитектураАстрономияБиологияГеографияГеологияИнформатикаИскусствоИсторияКулинарияКультураМаркетингМатематикаМедицинаМенеджментОхрана трудаПравоПроизводствоПсихологияРелигияСоциологияСпортТехникаФизикаФилософияХимияЭкологияЭкономикаЭлектроника






Проверка внутренней поверхности ограждения на выпадение росы. 5.1 Температура на внутренней поверхности ограждения:





5.1 Температура на внутренней поверхности ограждения:

15,49˚С > tр=8,0˚С

Вывод: роса не будет выпадать на стене.

5.2 Термическое сопротивление конструкции:

м2*К/Вт

5.3 Температура в углу стыковки наружных стен:

˚С

5.4 Вывод: τу=10,9˚С > tр=8,0˚С, поэтому в углу роса не будет выпадать.

Проверка выпадения росы в толще ограждения

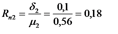
6.1 Сопротивление паропроницанию слоев:

м2*ч*Па/мг

м2*ч*Па/мг

м2*ч*Па/мг

м2*ч*Па/мг

конструкции в целом:

Rn=Rn1+Rn2+Rn3+Rn4=0,16+0,18+2,53+0,18=3,05 м2*ч*Па/мг

6.2 При средней январской температуре на улице tнI=-21,2˚С на внутренней поверхности будет температура:


˚С,

6.3 Которой будет соответствовать упругость насыщенных водяных паров

Вывод: линия упругостей е и Е пересекаются (признак выпадения росы), необходимо определить границы зоны конденсации и проверить влажностный режим конструкции.







Date: 2015-07-24; view: 655; Нарушение авторских прав



mydocx.ru - 2015-2026 year. (0.259 sec.) Все материалы представленные на сайте исключительно с целью ознакомления читателями и не преследуют коммерческих целей или нарушение авторских прав - Пожаловаться на публикацию