Главная Случайная страница


Полезное:

Как сделать разговор полезным и приятным Как сделать объемную звезду своими руками Как сделать то, что делать не хочется? Как сделать погремушку Как сделать так чтобы женщины сами знакомились с вами Как сделать идею коммерческой Как сделать хорошую растяжку ног? Как сделать наш разум здоровым? Как сделать, чтобы люди обманывали меньше Вопрос 4. Как сделать так, чтобы вас уважали и ценили? Как сделать лучше себе и другим людям Как сделать свидание интересным?


Категории:

АрхитектураАстрономияБиологияГеографияГеологияИнформатикаИскусствоИсторияКулинарияКультураМаркетингМатематикаМедицинаМенеджментОхрана трудаПравоПроизводствоПсихологияРелигияСоциологияСпортТехникаФизикаФилософияХимияЭкологияЭкономикаЭлектроника






Расчет вала по эквивалентному моменту





 

Рассчитаем окружное усилие по следующей формуле:

где dд – делительный диаметр звездочки.

где z – число зубьев звездочки;

t – шаг зубьев звездочки.

Тогда:

Построим эпюры действующей на исполнительный механизм сил и моментов (рисунок 5).

 

 

Находим силы, действующие на узел звездочки

На основании опыта конструирования

 

Рисунок 6 – Силы действующие на узел звездочки

Изгибающий момент:

.

Эквивалентный момент:

Напряжение изгиба в опасном сечении(под ступицей звездочки):

(13)

где WХ – момент сопротивления изгибу.

,

где d7 =28 – диаметр выходного конца редуктора в среднем сечении.

Тогда:

.

Напряжение кручения в опасном сечении:

(14)

где WР – полярный момент сопротивления кручения.

.

Следовательно:

.

Эквивалентное напряжение:

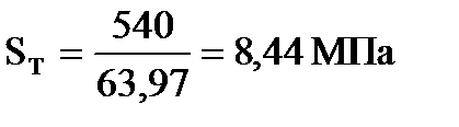
.

Материал вала Сталь 45 по ГОСТ 1050-88. Термообработка – улучшенная (закалка с высоким отпуском). Твердость HB=240…280. Для него σТ=540 МПа. Тогда:

.

Запас прочности по пределу текучести обеспечен.

Минимальный запас прочности по пределу текучести, при кратковременных перегрузках:

где КП – коэффициент перегрузки.

Принимаем КП = 1,3, следовательно:

.

Условие выполняется.

 

 

2.4 Подбор подшипников качения

Для опор вала исполнительного органа применим шариковые радиальные сферические двухрядные подшипники (ГОСТ 28428 - 90), из-за возможных перекосов опор подшипников. Назначаем подшипники легкой серии № 1207.

dП = 35мм;

D = 72 мм;

B = 17 мм;

r= 2 мм;

С=15,9кН

Ресурс подшипника выражают в миллионах оборотах L или в часах до появления признаков усталости материала колец и тел качения, которые связаны между собой соотношением

=

Где n- частота вращения кольца подшипника, .

Базовый расчетный ресурс в миллионах оборотов, соответствующий 90 % надежности (вероятность отказа 10 %), определяют для подшипников, выполненных из обычных материалов, по обычной технологии и работающих в обычных условиях, по формуле

=(

Где С – базовая динамическая грузоподъемность подшипника, С=16кН

по табл;

P- эквивалентная динамическая нагрузка, которая учитывает условия нагружения и конструкцию подшипника, Н;

k- показатель степени: k = 3 для шарикоподшипников и k = 10/3 для роликоподшипников.

Эквивалентная динамическая нагрузка в зависимости от типа подшипника вычисляется по формуле:

Для радиальных и радиально-упорных подшипников

P= =(ХV + Y )

 

- радиальная нагрузка на подшипники =0,5

- осевая сила (=0)

V–коэффициент вращения внутреннего кольца с валом; V = 1

XиY – коэффициенты радиальной и осевой динамической нагрузки, Н; Х, Y = 1

Kб – коэффициент безопасности, для цепных конвейеров Kб=1,3…1,5. Примем Kб = 1,4

КТ – температурный коэффициент, при t<100°С КТ=1;

КЕ – коэффициент режима нагружения, для тяжелого режима КЕ = 0,8.

Тогда:

Отсюда:

Рассчитаем срок службы в часах:

Lh ≥ L;

Где Lh – долговечность подшипника

L – Срок службы подшипника, указанный в техническом задании.

Lh= ;

Где n – частота вращения вала; n = 112,5 мин-1

α – коэффициент; α = 3

P – эквивалентная нагрузка.

Lh = =18087часа.

Срок службы подшипника удовлетворяет данным условиям.

 







Date: 2015-07-24; view: 524; Нарушение авторских прав



mydocx.ru - 2015-2026 year. (2.956 sec.) Все материалы представленные на сайте исключительно с целью ознакомления читателями и не преследуют коммерческих целей или нарушение авторских прав - Пожаловаться на публикацию