Главная Случайная страница


Полезное:

Как сделать разговор полезным и приятным Как сделать объемную звезду своими руками Как сделать то, что делать не хочется? Как сделать погремушку Как сделать так чтобы женщины сами знакомились с вами Как сделать идею коммерческой Как сделать хорошую растяжку ног? Как сделать наш разум здоровым? Как сделать, чтобы люди обманывали меньше Вопрос 4. Как сделать так, чтобы вас уважали и ценили? Как сделать лучше себе и другим людям Как сделать свидание интересным?


Категории:

АрхитектураАстрономияБиологияГеографияГеологияИнформатикаИскусствоИсторияКулинарияКультураМаркетингМатематикаМедицинаМенеджментОхрана трудаПравоПроизводствоПсихологияРелигияСоциологияСпортТехникаФизикаФилософияХимияЭкологияЭкономикаЭлектроника






Проверка несущей способности по грунту свайного фундамента как условно массивного





Рис. 6.4. Схема условно массивного фундамента.

Размеры lc и bc определяются из геометрических соотношений. Для этого находим средневзвешенное значение угла внутреннего трения грунтов , пройденных сваями:

,

 

где - расчетные значения углов внутреннего трения отдельных пройденных сваями слоев грунта; Нi – толщины этих слоев. Расчет выполняется вдоль и поперек моста в сочетаниях №№ 1, 2, 4 и 5.

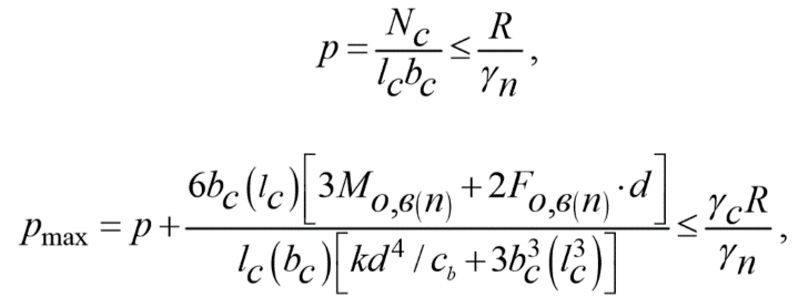
Расчет выполняется вдоль и поперек моста в сочетаниях №№ 1, 2, 4 и 5. Проверка напряжений по подошве условного фундамента производится по формулам:

 

где Nc - нормальная составляющая давления условного фундамента на грунт основания, определяемая с учетом веса грунтового массива 1-2-3-4 вместе с заключенными в нем ростверком и сваями; Nc=Po+Gm +Gp; Gm - расчетный вес грунтового массива (с коэффициентом надежности по нагрузке 1,4); Fo; Mo - соответственно горизонтальная составляющая внешней нагрузки, и ее момент относительно главной оси горизонтального сечения условного фундамента в уровне расчетной поверхности грунта; d - глубина заложения условного фундамента по отношению к расчетной поверхности; lc, bc - размеры в плане условного фундамента в направлении, параллельном плоскости действия нагрузки и перпендикулярном ей; k - коэффициент пропорциональности, определяющий нарастание с глубиной коэффициента постели грунта,

расположенного выше подошвы фундамента и принимаемый по [1]; cb - коэффициент постели грунта в уровне подошвы условного фундамента, определяемый по формулам: при d 10 м cb = 10k; при d > 10 м cb = kd;;Yn=1,4 - коэффициент надежности по назначению; Yс =1,0 (в сочетаниях №№ 1 и 2), Yс=1,2 (в сочетаниях №№ 4 и 5) - коэффициент условий работы; R - расчетное сопротивление грунта в уровне подошвы условного массивного фундамента,причем при определении R все характеристики принимаются для грунта, являющегося опорным пластом основания условного фундамента шириной bс и глубиной заложения d. В формуле Pmax вдоль моста используются размеры и индексы без круглых скобок, поперек - в скобках.

Gm=(9,08-0,735)*18,8+(200,33-10,29)*20+(176,52-5,586)*19,7+(264,42-6,3798)*20=12485,88*1,4=17480.2

Вдоль моста сочетание №1.

Условие выполняется.

Вдоль моста сочетание №2.

Условие выполняется.

Поперек моста сочетание №4.

Условие выполняется.

Поперек моста сочетание №5.

Условие выполняется.

 







Date: 2015-07-24; view: 1010; Нарушение авторских прав



mydocx.ru - 2015-2026 year. (0.471 sec.) Все материалы представленные на сайте исключительно с целью ознакомления читателями и не преследуют коммерческих целей или нарушение авторских прав - Пожаловаться на публикацию