Главная Случайная страница


Полезное:

Как сделать разговор полезным и приятным Как сделать объемную звезду своими руками Как сделать то, что делать не хочется? Как сделать погремушку Как сделать так чтобы женщины сами знакомились с вами Как сделать идею коммерческой Как сделать хорошую растяжку ног? Как сделать наш разум здоровым? Как сделать, чтобы люди обманывали меньше Вопрос 4. Как сделать так, чтобы вас уважали и ценили? Как сделать лучше себе и другим людям Как сделать свидание интересным?


Категории:

АрхитектураАстрономияБиологияГеографияГеологияИнформатикаИскусствоИсторияКулинарияКультураМаркетингМатематикаМедицинаМенеджментОхрана трудаПравоПроизводствоПсихологияРелигияСоциологияСпортТехникаФизикаФилософияХимияЭкологияЭкономикаЭлектроника






Проверка максимальной нагрузки, приходящейся на сваю





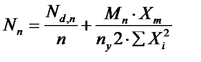
Обычно проверяют расчетную нагрузку на крайнюю сваю со стороны наибольшего сжимающего напряжения. При этом распределение вертикальных нагрузок между сваями фундаментов мостов определяют расчетом их как рамной конструкции. В курсовом проекте разрешается проверить усилие в свае с учетом действия силы вдоль (или поперек) моста в сочетаниях №1, 2, 4 и 5. Расчетную нагрузку на вертикальную сваю вдоль и поперек моста допускается определять по формуле:

; ;

; ;

где Ро,в(n); Мо,в(n); Fо,в(n) – нагрузки приведенные к обрезу, при расчете вдоль и поперек моста в сочетаниях №1,№2, (№4, №5); Gр = GНр * - расчетный собственный вес с учетом коэффициента надежности по назначению hр – Высота ростверка; n – принятое количество свай; Уi и Xi – расстояния в плане от центральных осей ростверка до каждой сваи; Уm и Xm – расстояния до наиболее удаленной, а значит и самой нагруженной сваи.

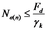
Найденное значение Nв(п) должно удовлетворять условию:

где Fd =1921,15 кН- расчетная несущая способность сваи по грунту; - коэффициент надежности.

 

Оптимальным считается такая конструкция, при котором:

где - коэффициент надежности, если несущая способность определена по результатам полевых испытаний грунтов эталонной сваей или сваей-зондом и статического зондирования, или по результатам динамических испытаний с учетом упругих деформаций грунта, =1,25;

 

Вдоль моста сочетание №1:

1)

2)

3)

Условие выполняется.

Вдоль моста сочетание №2:

Условие выполняется.

Поперек моста сочетание №4

Условие выполняется.

Поперек моста сочетание №5

Условие выполняется.

Рис.6.3. План свайного ростверка







Date: 2015-07-24; view: 717; Нарушение авторских прав



mydocx.ru - 2015-2026 year. (0.708 sec.) Все материалы представленные на сайте исключительно с целью ознакомления читателями и не преследуют коммерческих целей или нарушение авторских прав - Пожаловаться на публикацию