Главная Случайная страница


Полезное:

Как сделать разговор полезным и приятным Как сделать объемную звезду своими руками Как сделать то, что делать не хочется? Как сделать погремушку Как сделать так чтобы женщины сами знакомились с вами Как сделать идею коммерческой Как сделать хорошую растяжку ног? Как сделать наш разум здоровым? Как сделать, чтобы люди обманывали меньше Вопрос 4. Как сделать так, чтобы вас уважали и ценили? Как сделать лучше себе и другим людям Как сделать свидание интересным?


Категории:

АрхитектураАстрономияБиологияГеографияГеологияИнформатикаИскусствоИсторияКулинарияКультураМаркетингМатематикаМедицинаМенеджментОхрана трудаПравоПроизводствоПсихологияРелигияСоциологияСпортТехникаФизикаФилософияХимияЭкологияЭкономикаЭлектроника






Расчет показателей экономической эффективности инвестиций по методике экспресс-оценки





1. Определение чистой прибыли от реализации проекта.

Стоимостная оценка результатов проекта ТП, условно относимая на данный цех, определяется по формуле

, (3.1)

где - рентабельность, %.

Суммарные эксплуатационные издержки (ежегодные постоянные издержки) определены в п. 2

, млн руб.; (3.2)

Балансовая прибыль, условно относимая на ТП, определяется по формуле:

Пб = Ор – И, млн руб. (3.3)

Величина чистой прибыли Пч численно равна балансовой прибыли Пб за вычетом выплачиваемых налогов на прибыль.

Чистая прибыль рассчитывается исходя из ставки налога на прибыль

aн = 20 % (0,2)

Пч = Пб (1- aн), млн руб. (3.4)

2. Определение показателей эффективности инвестиций в проект

В данном разделе приведены общие формулы для расчёта показателей эффективности инвестиций, то есть представлена кратко теория, и формулы, которые используются в расчёте по методике экспресс-оценки.

Для оценки эффективности капитальных вложений используются простые и интегральные критерии оценки экономической эффективности

Простые методы оценки экономической эффективности инвестицийне учитывают всю продолжительность срока жизни проекта и неравнозначность денежных потоков. Эти методы достаточно широко распространены и применяются в основном для экспресс-оценки проектов на предварительных стадиях разработки. К таким критериям относятся:

· простая норма прибыли или простая норма рентабельности (ПНП);

· простой срок окупаемости капитальных вложений.

Простая норма прибыли определяется как отношение чистой прибыли Пч к суммарным инвестициям К:

(3.5)

Расчетная величина ПНП сравнивается с минимальным или средним уровнем доходности (процентной ставки по кредитам, ценным бумагам, депозитным вкладам).

Простой срок окупаемости капитальных вложений (Ток.п) представляет собой период времени, в течение которого сумма чистых доходов покрывает инвестиции.

Определение срока окупаемости капитальных вложений производится последовательным суммированием величины чистого дохода в стабильных ценах (без учета инфляции) по годам расчетного периода до того момента, пока полученная сумма не сравняется с величиной суммарных капитальных вложений, т.е.

где t с и t п – соответственно срок завершения инвестиций (окончания строительства) и момент начала производства;

К t величина инвестиций в год t;

И 't суммарные эксплуатационные издержки без амортизационных отчислений;

- амортизационные отчисления на реновацию.

При использовании методики экспресс-оценки (при равномерном поступлении чистого дохода) срок окупаемости можно определить по формуле:

(3.6)

По данной формуле определён простой или статический срок окупаемости от начала эксплуатации. От начала инвестирования – величина увеличивается на период строительства (при расчёте по методике экспресс-оценки принимается 1 год).

Интегральные (динамические) критерии экономической эффективности инвестиций оперируют с показателями работы проектируемых объектов по годам расчетного периода с учетом фактора времени. В интегральных критериях также могут быть учтены прогнозируемые темпы инфляции. В интегральных критериях расходы и доходы, разнесенные по времени, приводятся к одному (базовому) моменту времени. Базовым моментом времени обычно является дата начала реализации проекта или дата начала производственной деятельности.

Используется ряд показателей:

· чистый доход (ЧД);

· чистый дисконтированный доход (ЧДД);

· индекс доходности (ИД);

· внутренняя норма доходности (ВНД);

· дисконтированный срок окупаемости капитальных вложений (Ток.д).

Чистый доход - это разность между притоками и оттоками денежных средств за срок жизни проекта:

,

где Т р - расчетный период (срок жизни проекта), лет;

Клик t - ликвидационная стоимость объекта.

Для каждого года расчетного периода чистый доход, таким образом, представляет собой номинальный денежный поток НДП, то есть разность между притоком и оттоком денежных средств.

При равномерном поступлении денежных потоков в период эксплуатации Тэкспл чистый доход по методике экспресс-оценки определён по формуле:

, млн руб. (3.7)

Время эксплуатации – см. исходные данные для расчёта.

Чистый дисконтированный доход определяется дисконтированием чистого дохода. Дисконтирование разновременных затрат и результатов осуществляется с помощью коэффициента приведения

,

где Е − норматив дисконтирования (ставка доходности);

Т пр − год приведения.


Чистый дисконтированный доход определяется:

· в общем случае

· при выделении денежных потоков в период эксплуатации и в период строительства формула примет вид

· при неизменности денежных потоков по годам ЧДД определяется через сумму коэффициентов дисконтирования по формуле

. (3.8)

При этом определяется по специальным таблицам (прил. III)[8].

Критерием финансовой эффективности инвестиций в сооружение объекта является условие ЧДД > 0.

Чистый дисконтированный доход определяется при двух ставках доходности:

Ø 10 % – минимальная в отрасли величина;

Ø более высокая стоимость капитала (13÷16 %) – при использовании в качестве источника финансирования проекта полностью или частично заёмных средств

Таким образом, чистый дисконтированный доход рассчитывается по формуле 3.8.

Сумма коэффициентов дисконтирования Ds определяется по прил. III [8] при принятой ставке доходности и заданному времени эксплуатации на пересечении соответствующего столбца и строки.

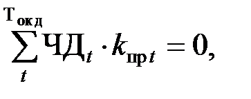
Дисконтированный (динамический) срок окупаемости затрат характеризует период, в течение которого полностью возмещаются дисконтированные капитальные вложения за счет чистого дохода, получаемого при эксплуатации объекта

Определяется при условии, что ЧДД равен нулю, из выражения

где Т ок.д − последний год периода, после которого величина чистого дохода, определяемая с фиксированной нормой дисконта Е, приобретает положительное значение − искомая величина.

При приведении доходов и расходов к моменту начала вложения инвестиций срок окупаемости будет включать в себя и срок строительства.

Критерием экономической эффективности инвестиций в сооружение объекта служит выражение: Ток < Тприемл, где Тприемл − приемлемый срок окупаемости.

Дисконтированный срок окупаемости определяется из формулы 3.8 следующим образом:

Ø сначала определяется Ds, при котором ЧДД равен 0

(3.9)

Ø по прил. III при принятой ставке доходности и рассчитанном определяется Т ок пр, для чего используется интерполяция.

При таком подходе определён дисконтированный срок окупаемости от начала эксплуатации.

Ø аналогично определяется динамический срок окупаемости при большей ставке доходности Е =13÷16 %.

Индекс доходности инвестиций определяется отношением дисконтированных положительных денежных потоков за расчетный период к дисконтированной величине инвестиций:

Это относительный показатель, он может использоваться при сравнении вариантов с разной величиной инвестиций, при ранжировании проектов.

При экспресс-оценке индекс доходности рассчитывается по формуле

(3.10)

Определение чистой прибыли от реализации проекта.

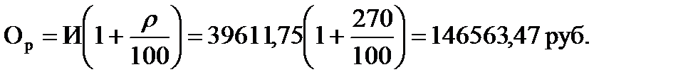
Стоимостная оценка результатов проекта ТП:

Суммарные эксплуатационные издержки:

Балансовая прибыль, условно относимая на ТП:

Пб = Ор – И = 146563,475 – 39611,75=106951,72 руб.

Чистая прибыль рассчитывается:

Пч = Пб · (1- aн) = 106951,725 · (1-0,2)= 85561,38 руб.

Определение показателей эффективности инвестиций в проект.

Простая норма прибыли:

Срок окупаемости:

Ток.п.=5,08 лет – от начала расчетного периода.

Чистый доход по методике экспресс-оценки определён по формуле:

ЧД=(Пч+Иа)∙Тэкспл-К=(85561,38+18741,043)∙28-425932,8=2494535,04 руб.


Чистый дисконтированный доход определяется:

При Е = 10%:

ЧДД=(Пч+Иа)∙Ds-К=(85561,38+18741,043)∙9,307-425932,8=518488,11

При Е= 16%:

ЧДД=(Пч+Иа)∙Ds-К=(85561,38+18741,043)∙6,152-425932,8=215735,71руб.

 

Определяется Ds, при котором ЧДД равен 0:

При Е=10%

= 3,791 – 5 лет;

=4,355 – 6 лет.

Интерполяцией находим дисконтированный срок окупаемости от начала эксплуатации

лет;

лет - от начала расчетного периода.

При Е=16%

=4,039 - 7 лет;

=4,344 - 8 лет.

Интерполяцией находим дисконтированный срок окупаемости от начала эксплуатации

лет;

- от начала расчетного периода.

При экспресс-оценке индекс доходности рассчитывается по формуле

Для Е=10%

Для Е=16%

Результаты расчета представлены в табл. 8.

 

Таблица 18.3.1 - Результаты расчёта эффективности инвестиций в проект.

Наименование показателей Величина показателя
при Е =10 % при Е =16 %
Простой (статический) срок окупаемости инвестиций от начала эксплуатации, лет 4,08
То же, от начала расчетного периода 5,08
Дисконтированный срок окупаемости от начала эксплуатации, лет 5,51 7,13
Чистый доход, руб. 2494535,04
Чистый дисконтированный доход, руб. 518488,11 215735,71
Индекс доходности, руб./руб. 2,22 1,51

Расчеты показали, что при принятых условиях инвестиции в проект ТП экономически целесообразны.

 

Вывод

При реализации мероприятий по снижению потерь электроэнергии и повышению энергетической эффективности будут достигнуты следующие результаты:

- В результате применения конденсаторной установки и последующего применения компенсации реактивной мощности, удалось снизить потери в трансформаторе с 4,21 кВт до 2,67 кВт;

- С применением электропроводящей смазки, снизится сопротивление между контактными поверхностями и стабилизируется контактное сопротивление на длительный срок, до 10 лет. (Предлагается использовать электропроводящие смазки моделей ЭПС 98 (ЭПС-90, ЭПС-150,), ЭПС-98ВТ (ЭПС-250));

- Установка ЭПРА позволит увеличить срок службы люминесцентных ламп и улучшить качество освещения (ведь качество производимой продукции напрямую зависит от комфортных условий труда и освещенности рабочего места или производственных площадей);

- Замена старых сварочных трансформаторов на новые инверторные сварочные установки, позволит повысить коэффициент полезного действия при их использовании и увеличить спектр проводимых работ;

- Замена старых электродвигателей в вентиляторах также позволит сократить затраты на потребляемую электроэнергию.

 

 

Список литературы

1.Общие требования и правила оформления текстовых документов в учебном процессе: Новочерк. гос. техн. ун-т. - Новочеркасск: НГТУ, 1998, 28 с.


2.Общие требования и правила выполнения электрических схем: Новочерк. гос. техн. ун-т. - Новочеркасск: НГТУ, 1998, 35 с.

3.Положение по организации и методике проведения курсового проектирования в Южно – Российском государственном техническом университете (Новочеркасском политехническом институте) / Юж. – Рос. гос. техн. ун – т Новочеркасск: ЮРГТУ (НПИ), 2000 - 12 с.

4.Организация учебного процесса в в Южно – Российском государственном техническом университете (Новочеркасском политехническом институте) / Юж. – Рос. гос. техн. ун – т Новочеркасск: ЮРГТУ (НПИ), 2000 - 204 с.

5.«Справочник по проектированию электроснабжения промышленных предприятий» /Под ред. Ю. Г.Барыбина, Л. Е. Федорова, М. Г. Зименкова и др. М.: Энергоатомиздат 1990 г. 576 с.

6.Мукосеев Ю.Л. Электроснабжение промышленных предприятий: Учебник для вузов. М.: Энергия, 1973. 584 с.

7.Ермилов А.А. Основы электроснабжения промышленных предприятий. М. – Л.: Госэнергоиздат, 1963. 344с.; М.: Энергия, 1976. 368 с.

8.Основы построения промышленных электрических сетей / Под общ. ред.. Г.М. Каялова. М.: Энергия, 1978. С. 156 – 257.

9.Федоров А.А., Каменева В.В. Основы электроснабжения промышленных предприятий: Учебник для вузов. М.: Энергия, 1979 г. 408 с.

10.Методические указания по основам построения промышленных электрических сетей/Сост.: А.Э. Каждан; Новочеркасск: НПИ, 1992. 28 с.

11.Справочник по проектированию электроснабжения, линий электропередачи сетей /Под ред. Я.М.Большама, В.И. Круповича, М.Д. Самовера. М.: Энергия, 1974. 1975. 696 с.

12.Справочник по проектированию электроснабжения / Под ред. В.И. Круповича, Ю.Г. Барыбина, М.Л. Самовера. М.: Энергия, 1980. 456 с.

13.Проектирование промышленных электрических сетей / В.И. Крупович, А.А. Ермилов, В.С. Иванов и др. М.: Энергия, 1979. 328 с.







Date: 2015-07-24; view: 779; Нарушение авторских прав



mydocx.ru - 2015-2026 year. (1.326 sec.) Все материалы представленные на сайте исключительно с целью ознакомления читателями и не преследуют коммерческих целей или нарушение авторских прав - Пожаловаться на публикацию